Top 4 Đề kiểm tra 1 tiết Toán 8 Chương 3 Đại Số có đáp án, cực hay
Top 4 Đề kiểm tra 1 tiết Toán 8 Chương 3 Đại Số có đáp án, cực hay
Để học tốt Toán lớp 8, phần dưới đây liệt kê Top 4 Đề kiểm tra 1 tiết Toán 8 Chương 3 Đại Số có đáp án, cực hay. Hi vọng bộ đề thi này sẽ giúp bạn ôn luyện & đạt điểm cao trong các bài thi Toán 8.
Đề kiểm tra 1 tiết Toán 8 Chương 3 Đại Số (Đề số 1)
Thời gian làm bài: 45 phút
Phần trắc nghiệm (3 điểm)
Câu 1: Phương trình nào sau đây là phương trình bậc nhất một ẩn?
A. (3/4) - 2x = 0 C. 0x + 3 = 0
B. 2x + 5y = 0 D. (2/3x) + 4 = 0
Câu 2: Số nghiệm của phương trình x2 - x = 0 là:
A. Một B. Hai C. Vô nghiệm D. Vô số nghiệm
Câu 3: Đúng ghi Đ, sai ghi S. Điền vào chỗ chấm:
a) Phương trình 2x + 5 = 11 và phương trình 7x - 2 = 19 là hai phương trình tương đương. ....
b) Phương trình 3x - 9 = 0 và x2 - 9 = 0 là hai phương trình tương đương. ....
c) Phương trình 0x + 2 = x + 2 - x có tập nghiệm là S = {2} ....
d) Phương trình (2x - 3)(3x + 1) = 0 có tập nghiệm là S = {3/2; -1/3} ....
Câu 4: Điều kiện xác định của phương trình
A. x ≠ ±1 B. x ≠ 1 C. x ≠ -1 D. x ∈ R
Câu 5: Tập nghiệm của phương trình:
Phần tự luận (7 điểm)
Bài 1: (4 điểm) Giải các phương trình sau:
a) 5 - 7x = 12 + 4x
Bài 2: (2 điểm) Một người đi xe máy từ tỉnh A đến tỉnh B với vận tốc 30 km/h. Cùng lúc đó, một người khác đi ô tô từ tỉnh B về tỉnh A với vận tốc 45 km/h. Hỏi sau mấy giờ hai người gặp nhau? Biết rằng quãng đường AB dài 110 km.
Bài 3: (1 điểm) Giải phương trình:
Đáp án và Hướng dẫn giải
Phần trắc nghiệm (3 điểm)
Câu 1: A
Câu 2: B
Câu 3:
a) Đ
b) S
c) S
d) Đ
Câu 4: C
Câu 5: D
Phần tự luận (7 điểm)
Bài 1:(4 điểm)
a) 5 - 7x = 12 + 4x
⇔ -7x - 4x = 12 - 5
⇔ -11x = 7
⇔ x = -7/11
Vậy: S = {-7/11}
b)
⇔ 18x - (4 + 3x) = 30x - 2
⇔ 15x = -2
⇔ x = (-2)/15
Vậy phương trình có nghiệm x=(-2)/15
⇒ 3(5 - 4x)(x + 1) = (6x + 5)(1 - 2x)
⇔15x + 15 - 12x2 - 12x = 6x - 12x2 + 5 - 10x
⇔7x = -10
⇔x = (-10)/7
Vậy phương trình có nghiệm x = (-10)/7
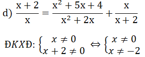
⇒ x2 + 4x + 4 = x2 + 5x + 4 + x2
⇔ x2 + x = 0
⇔x(x + 1) = 0
⇔x = 0 hoặc x = -1
Đối chiếu với ĐKXĐ, phương trình có nghiệm x = -1
Bài 2
Gọi thời gian hai người đi đến lúc gặp nhau là x ( giờ)
Quãng đường người đi xe máy đi được là 30x (km)
Quãng đường người đi ô tô đi được là 45x (km)
Theo bài ra, quãng đường AB dài 110 km nên ta có phương trình
30x + 45x = 110
⇔ 75x = 110
⇔ x = 22/15
Vậy sau 22/15 h thì 2 xe gặp nhau
Bài 3:(1 điểm)
x2 + 1/x2 = 2
ĐKXĐ x ≠ 0
⇔t2 = 4 ⇔ t = ±2
Với t = 2, ta có phương trình
x + 1/x = 2 ⇒ x2-2x + 1 = 0
⇔(x - 1)2 = 0 ⇔ x = 1
Với t = - 2, ta có phương trình
x + 1/x = -2 ⇒ x2 + 2x + 1 = 0
⇔(x + 1)2 = 0 ⇔ x = -1
Đối chiếu với ĐKXĐ thì 2 nghiệm trên đều thỏa mãn.
Vậy tập nghiệm của phương trình là: S = {1; -1}
Đề kiểm tra 1 tiết Toán 8 Chương 3 Đại Số (Đề số 2)
Thời gian làm bài: 45 phút
Phần trắc nghiệm (3 điểm)
Câu 1: Giá trị x = 2 là nghiệm của phương trình:
A. 2x + 1 = 3x - 9 C. 4 - x = 5 - 2x
B. 3x - 1 = 2x + 1 D. 7x - 3 = 4x - 6
Câu 2: Tập nghiệm của phương trình 1 - x = 6(x + 4) là:
Câu 3: Chọn câu có khẳng định đúng.
Các cặp phương trình sau đây, cặp nào tương đương với nhau.
A. 3(2x + 5) = 0 và 5(5x + 2) = 0
B. 5(2x - 3) = 0 và x(2x + 3) = 0
C. x2 + 1 = 0 và x2 - 1 = 0
D. 3(4x + 3) = 0 và 5(4x + 3) = 0
Câu 4: Điều kiện xác định của phương trình
Câu 5: Tập nghiệm của phương trình
Câu 6: Tập nghiệm của phương trình
Phần tự luận (7 điểm)
Bài 1: (1 điểm) Chứng tỏ hai phương trình sau tương đương:
3x - 5 = 2(x - 2) và 8 - x = 3x + 4
Bài 2: (3 điểm) Giải các phương trình sau:
Bài 3: (2 điểm) Một ca nô chạy xuôi dòng sông một quãng đường 9km, sau đó quay ngược trở lại đến một địa điểm cách nơi xuất phát 1km thì dừng lại. Biết thời gian đi xuôi dòng ít hơn thời gian ngược dòng là 15 phút và vận tốc của dòng nước là 2km/h. Tính vận tốc của ca nô khi nước đứng yên?
Bài 4: (1 điểm) Giải phương trình
Đáp án và Hướng dẫn giải
Phần trắc nghiệm (3 điểm)
Câu 1: B
Câu 2: B
Câu 3: D
Câu 4: C
Câu 5: A
Câu 6: B
Phần tự luận (7 điểm)
Bài 1: (1 điểm)
Ta có:
3x - 5 = 2(x - 2) ⇔ 3x - 5 = 2x - 4
⇔ 3x - 2x = -4 + 5
⇔ x = 1 (1)
8 - x = 3x + 4 ⇔ -x - 3x = 4 - 8
⇔ -4x = -4 ⇔ x = 1 (2)
Từ (1) và (2) suy ra hai phương trình đã cho có cùng tập nghiệm S = {1} nên chúng tương đương.
Bài 2: (3 điểm)
⇔ 4x - 10 = 2 - x
⇔ 4x + x = 2 + 10 ⇔ 5x = 12 ⇔ x = 12/5
Vậy: S = {12/5}
b) (3x + 1) = (3x + 1)2
⇔ (3x + 1)2 - (3x + 1) = 0
⇔ (3x + 1)[(3x + 1) - 1] = 0
ĐKXĐ:x ≠ 1
Quy đồng mẫu hai vế của phương trình ta được:
Khử mẫu hai vế, ta được:
(2x + 3)(x - 1) + 2(x2 + x + 1) = 4x2 - 1
⇔ 2x2 + x - 3 + 2x2 + 2x + 2 = 4x2 - 1
⇔ 3x - 1 = -1
⇔ 3x = 0 ⇔ x = 0 (thỏa mãn điều kiện)
Vậy: S = {0}
Bài 3 (2 điểm)
15 phút = (1/4)giờ
Gọi vận tốc của ca nô khi nước đứng yên là x (km/h). Điều kiện x > 2
Vận tốc ca nô khi xuôi dòng là x + 2 (km/h)
Vận tốc ca nô khi ngược dòng là x – 2 (km/h)
Thời gian ca nô khi xuôi dòng là:
Thời gian ca nô khi ngược dòng là:
Ta có phương trình:
Quy đồng mẫu hai vế:
Suy ra:
32x + 64 - 36x + 72 = x2 - 4
⇔ -4x + 136 = x2 - 4
⇔ x2 + 4x - 140 = 0
⇔ (x2 + 4x + 4) - 144 = 0
⇔ (x + 2)2 - 122 = 0
⇔ (x + 14)(x - 10) = 0
Giá trị x = -14 không thỏa mãn điều kiện
Giá trị x = 10 thỏa mãn điều kiện
Vậy vận tốc của ca nô khi nước yên lặng là 10km/h
Bài 4 (1 điểm)
Xem thêm các đề kiểm tra, Đề thi Toán 8 chọn lọc, có đáp án hay khác:
Top 4 Đề kiểm tra 15 phút Toán 8 Chương 3 Hình Học có đáp án
Top 2 Đề kiểm tra 15 phút Toán 8 Chương 4 Hình Học có đáp án
Tổng hợp Bộ đề thi Toán lớp 8 năm 2025 học kì 1 và học kì 2 có đáp án của chúng tôi được biên soạn và sưu tầm từ đề thi môn Toán của các trường THCS trên cả nước.
Nếu thấy hay, hãy động viên và chia sẻ nhé! Các bình luận không phù hợp với nội quy bình luận trang web sẽ bị cấm bình luận vĩnh viễn.
- Giải Tiếng Anh 8 Global Success
- Giải sgk Tiếng Anh 8 Smart World
- Giải sgk Tiếng Anh 8 Friends plus
- Lớp 8 - Kết nối tri thức
- Soạn văn 8 (hay nhất) - KNTT
- Soạn văn 8 (ngắn nhất) KNTT
- Giải sgk Toán 8 - KNTT
- Giải sgk Khoa học tự nhiên 8 - KNTT
- Giải sgk Lịch Sử 8 - KNTT
- Giải sgk Địa Lí 8 - KNTT
- Giải sgk Giáo dục công dân 8 - KNTT
- Giải sgk Tin học 8 - KNTT
- Giải sgk Công nghệ 8 - KNTT
- Giải sgk Hoạt động trải nghiệm 8 - KNTT
- Giải sgk Âm nhạc 8 - KNTT
- Lớp 8 - Chân trời sáng tạo
- Soạn văn 8 (hay nhất) - CTST
- Soạn văn 8 (ngắn nhất) - CTST
- Giải sgk Toán 8 - CTST
- Giải sgk Khoa học tự nhiên 8 - CTST
- Giải sgk Lịch Sử 8 - CTST
- Giải sgk Địa Lí 8 - CTST
- Giải sgk Giáo dục công dân 8 - CTST
- Giải sgk Tin học 8 - CTST
- Giải sgk Công nghệ 8 - CTST
- Giải sgk Hoạt động trải nghiệm 8 - CTST
- Giải sgk Âm nhạc 8 - CTST
- Lớp 8 - Cánh diều
- Soạn văn 8 Cánh diều (hay nhất)
- Soạn văn 8 Cánh diều (ngắn nhất)
- Giải sgk Toán 8 - Cánh diều
- Giải sgk Khoa học tự nhiên 8 - Cánh diều
- Giải sgk Lịch Sử 8 - Cánh diều
- Giải sgk Địa Lí 8 - Cánh diều
- Giải sgk Giáo dục công dân 8 - Cánh diều
- Giải sgk Tin học 8 - Cánh diều
- Giải sgk Công nghệ 8 - Cánh diều
- Giải sgk Hoạt động trải nghiệm 8 - Cánh diều
- Giải sgk Âm nhạc 8 - Cánh diều
Giải bài tập SGK & SBT
Tài liệu giáo viên
Sách
Khóa học
Thi online
Hỏi đáp



