Top 5 Đề kiểm tra 1 tiết Toán 8 Chương 4 Đại Số có đáp án, cực hay
Top 5 Đề kiểm tra 1 tiết Toán 8 Chương 4 Đại Số có đáp án, cực hay
Để học tốt Toán lớp 8, phần dưới đây liệt kê Top 5 Đề kiểm tra 1 tiết Toán 8 Chương 4 Đại Số có đáp án, cực hay. Hi vọng bộ đề thi này sẽ giúp bạn ôn luyện & đạt điểm cao trong các bài thi Toán 8.
Đề kiểm tra 1 tiết Toán 8 Chương 4 Đại Số (Đề số 1)
Thời gian làm bài: 45 phút
Phần trắc nghiệm (3 điểm)
Câu 1: Đúng ghi Đ, sai ghi S vào chỗ chấm trống. Cho a > b, ta có:
a) (2/5).a > (2/5).b ......
b) 5 - 2a < 5 - 2b ......
c) 4a - 5 < 4b - 5 ......
d) a2 > b2 ......
Câu 2: Cho bất đẳng thức -x2 - 1 < 0. Khẳng định nào sau đây đúng?
A. Bất đẳng thức chỉ đúng với giá trị x > 0
B. Bất đẳng thức chỉ đúng với giá trị x < 0
C. Bất đẳng thức đúng với mọi giá trị của x
D. Bất đẳng thức không đúng với bất kỳ giá trị nào của x.
Câu 3: Giá trị x = 5 không phải là nghiệm của bất phương trình:
A. 4x + 3 < 25
B. 10x - 20 > 10
C. (2/3).x - (1/3) < 0
D. (1/2).x - 1 > -5/2
Câu 4: Tập nghiệm của bất phương trình 3x + 4 < 7 là:
A. S = {x/x < 1}
B. S = {x/x > -1}
C. S = {x/x > 11/13}
D. S = {x/x < 1/2}
Câu 5: Tập nghiệm của phương trình |4 - 3x| = 0 là:
Phần tự luận (7 điểm)
Bài 1: (1 điểm) Chứng minh bất đẳng thức:
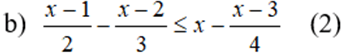
Bài 2: (3 điểm) Giải bất phương trình:
Bài 3: (2 điểm) Giải phương trình:
a) |x – 2| = |3x|
b) |x – 2| = 3x.
Bài 4: (1 điểm) Quãng đường AB dài 50km. Một ô tô đi từ A đến B và khởi hành lúc 7 giờ. Hỏi ô tô phải đi với vận tốc bao nhiêu để đến B trước 8 giờ?
Đáp án và Hướng dẫn giải
Phần trắc nghiệm (3 điểm)
Câu 1
a) Đ b) Đ c) S d) S
Câu 2: C
Câu 3: C
Câu 4: A
Câu 5: B
Phần tự luận (7 điểm)
Bài 1
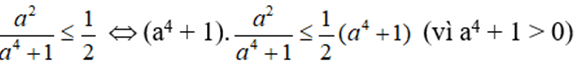
Ta có:
⇔ 2a2 ≤ a4 + 1 ⇔ a4 – 2a2 + 1 ≥ 0
⇔ (a2 – 1) ≥ 0 (luôn đúng).
Bài 2
a) (1) ⇔ 45x – 6 – 4x2 + 4 ≥ 2x – 4x2 + 6x – 18
⇔ 37x ≥ –16 ⇔ x ≥ -16/37
Tập nghiệm: S = {x|x ≥ -16/37}
b) (2) ⇔ x2 – 6x + 9 + 2x – 2 ≤ x2 + 3 ⇔ –4x ≤ –4 ⇔ x ≥ 1
Tập nghiệm: S = {x | x ≥ 1}.
Bài 3:
a) |x – 2| = |3x| ⇔ x – 2 = 3x hoặc x – 2 = –3x
⇔ 2x = –2 hoặc 4x = 2 ⇔ x = –1 hoặc x = 1/2
Tập nghiệm: S = {-1;1/2}
b) Điều kiện: 3x ≥ 0 ⇔ x ≥ 0. Khi đó:
|x – 2| = 3x
⇔ x – 2 = 3x hoặc x – 2 = –3x
⇔ 2x = –2 hoặc 4x = 2
⇔ x = –1 hoặc x = 1/2
Vì x ≥ 0, nên ta lấy x = 1/2. Tập nghiệm: S = 1/2.
Bài 4: (1 điểm)
Gọi vận tốc của ô tô là x (km/h).
Điều kiện x > 0. Thời gian ô tô đi từ A đến B là 50/x (giờ)
Vì ô tô khởi hành lúc 7 giờ và phải đến B trước 8 giờ nên ta có bất phương trình:
Vậy để đến B trước 8 giờ ô tô phải đi với vận tốc lớn hơn 50 km/h.
Đề kiểm tra 1 tiết Toán 8 Chương 4 Đại Số (Đề số 2)
Thời gian làm bài: 45 phút
Phần trắc nghiệm (3 điểm)
Câu 1: Đúng điền Đ, sai điền S vào các chỗ trống ở các khẳng định sau:
a) -3 + 4 ≥ 3 ....
b) x2 + 2 ≥ 2 ....
Câu 2: Nếu -5a > -5b thì:
A. a < b B. a > b C. a = b
Câu 3: Hình vẽ dưới biểu diễn tập nghiệm của bất phương trình nào?
A. S = {x/ -3 ≤ x ≤ 1}
B. S = {x/ x ≤ -3; x > 1}
C. S = {x/ -3 < x ≤ 1}
D. S = {x/ x ≤ -3; x ≥ 1}
Câu 4: Tập nghiệm của bất phương trình -5x + 7 ≤ -3 là:
A. S = {x/x ≤ 2}
B. S = {x/x ≤ -2}
C. S = {x/x ≥ 2}
D. S = {x/x ≤ -4/5}
Câu 5: Cho ΔABC . Khẳng định nào sau đây là đúng:
Câu 6: Tập nghiệm của phương trình |2x + 1| = 3 là:
A. S = {-1; 2} B. S = {2; 3} C. S = {1; -2} D.S = {0; 2}
Phần tự luận (7 điểm)
Bài 1: (1 điểm) Chứng minh rằng nếu x > 0 và y > 0 thì
Bài 2: (2 điểm) Giải bất phương trình:
a) (x + 2)2 + 3(x + 1) ≥ x2 – 4 (1)
Bài 3: (3 điểm) Giải phương trình:
a) |2 – x| = |x – 5|
b) |2 – x| = x
c) |x| + |x2 – x| = 2
Bài 4: (1 điểm) Cho a, b, c thỏa mãn: 0 < a < 1; 0 < b < 1; 0 < c < 1 và a + b + c = 2. Chứng minh: a2 + b2 + c2 < 2
Đáp án và Hướng dẫn giải
Phần trắc nghiệm (3 điểm)
Câu 1: a) S b) Đ
Câu 2: A
Câu 3: A
Câu 4: C
Câu 5: B
Câu 6: C
Phần tự luận (7 điểm)
Bài 1
Ta có:
⇔ x2 + y2 ≥ 2xy ⇔ x2 – 2xy + y2 ≥ 0
⇔ (x – y)2 ≥ 0 (luôn đúng).
Bài 2
a) (x + 2)2 + 3(x + 1) ≥ x2 – 4
⇔ x2 + 4x + 4 + 3x + 3 ≥ x2 – 4
⇔ 7x + 7 ≥ –4
⇔ 7x ≥ –11
⇔ x ≥ -11/7
Tập nghiệm: S = {x|x ≥ -11/7}
b)
⇔ 6(x – 1) – 4(x – 2) ≤ 12x – 3(x – 3)
⇔ 6x – 6 – 4x + 8 ≤ 12x – 3x + 9
⇔ 2x + 2 ≤ 9x + 9
⇔ –7x ≤ 7 ⇔ x ≥ –1
Tập nghiệm: S = {x|x ≥ -1}
Bài 3
a) |2 – x| = |x – 5| ⇔ 2 – x = x – 5 hoặc 2 – x = –(x – 5)
⇔ 2x = 7 hoặc 2 – x = –x + 5 (vô nghiệm)
⇔ x = 7/2
Tập nghiệm: S = {7/2}
b) Điều kiện: x ≥ 0.
Khi đó: |2 – x| = x ⇔ 2 – x = x hoặc 2 – x = –x
⇔ x = 1
Tập nghiệm: S = {1}.
c) Ta có: |x| + |2 – x| ≥ |x + 2 – x| = 2
Dấu “=” xảy ra khi x và 2 – x cùng dấu.
- Nếu x ≥ 0 và 2 – x ≥ 0 ⇔ 0 ≤ x ≤ 2.
- Nếu x ≤ 0 và 2 – x ≤ 0 ⇔ x ≤ 0 và x ≥ 2 (vô nghiệm).
Vậy: 0 ≤ x ≤ 2.
Tập nghiệm: S = {x| 0 ≤ x ≤ 2}
Bài 4
Ta có:
0 < a < 1 ⇒ a - 1 < 0 ⇒ a(a - 1) < 0 ⇒ a2 - a < 0 (1)
Tương tự:
0 < b < 1 ⇒ b2 - b < 0 (2)
0 < c < 1 ⇒ c2 - c < 0 (3)
Cộng (1); (2); (3) vế theo vế ta được:
a2 + b2 + c2 - a - b - c < 0
⇔ a2 + b2 + c2 < a + b + c
⇔ a2+ b2 + c2 < 2 (do a + b + c = 2)
Xem thêm các đề kiểm tra, Đề thi Toán 8 chọn lọc, có đáp án hay khác:
Top 4 Đề kiểm tra 15 phút Toán 8 Chương 3 Hình Học có đáp án
Top 2 Đề kiểm tra 15 phút Toán 8 Chương 4 Hình Học có đáp án
Tổng hợp Bộ đề thi Toán lớp 8 năm 2025 học kì 1 và học kì 2 có đáp án của chúng tôi được biên soạn và sưu tầm từ đề thi môn Toán của các trường THCS trên cả nước.
Nếu thấy hay, hãy động viên và chia sẻ nhé! Các bình luận không phù hợp với nội quy bình luận trang web sẽ bị cấm bình luận vĩnh viễn.
- Giải Tiếng Anh 8 Global Success
- Giải sgk Tiếng Anh 8 Smart World
- Giải sgk Tiếng Anh 8 Friends plus
- Lớp 8 - Kết nối tri thức
- Soạn văn 8 (hay nhất) - KNTT
- Soạn văn 8 (ngắn nhất) KNTT
- Giải sgk Toán 8 - KNTT
- Giải sgk Khoa học tự nhiên 8 - KNTT
- Giải sgk Lịch Sử 8 - KNTT
- Giải sgk Địa Lí 8 - KNTT
- Giải sgk Giáo dục công dân 8 - KNTT
- Giải sgk Tin học 8 - KNTT
- Giải sgk Công nghệ 8 - KNTT
- Giải sgk Hoạt động trải nghiệm 8 - KNTT
- Giải sgk Âm nhạc 8 - KNTT
- Lớp 8 - Chân trời sáng tạo
- Soạn văn 8 (hay nhất) - CTST
- Soạn văn 8 (ngắn nhất) - CTST
- Giải sgk Toán 8 - CTST
- Giải sgk Khoa học tự nhiên 8 - CTST
- Giải sgk Lịch Sử 8 - CTST
- Giải sgk Địa Lí 8 - CTST
- Giải sgk Giáo dục công dân 8 - CTST
- Giải sgk Tin học 8 - CTST
- Giải sgk Công nghệ 8 - CTST
- Giải sgk Hoạt động trải nghiệm 8 - CTST
- Giải sgk Âm nhạc 8 - CTST
- Lớp 8 - Cánh diều
- Soạn văn 8 Cánh diều (hay nhất)
- Soạn văn 8 Cánh diều (ngắn nhất)
- Giải sgk Toán 8 - Cánh diều
- Giải sgk Khoa học tự nhiên 8 - Cánh diều
- Giải sgk Lịch Sử 8 - Cánh diều
- Giải sgk Địa Lí 8 - Cánh diều
- Giải sgk Giáo dục công dân 8 - Cánh diều
- Giải sgk Tin học 8 - Cánh diều
- Giải sgk Công nghệ 8 - Cánh diều
- Giải sgk Hoạt động trải nghiệm 8 - Cánh diều
- Giải sgk Âm nhạc 8 - Cánh diều
Giải bài tập SGK & SBT
Tài liệu giáo viên
Sách
Khóa học
Thi online
Hỏi đáp



