Đề thi Học kì 2 Toán 8 năm 2023-2024 trường THCS Tân Tạo A -TPHCM
Với đề thi Học kì 2 Toán 8 năm 2023-2024 trường THCS Tân Tạo A -TPHCM có đáp án sẽ giúp học sinh lớp 8 ôn tập và đạt điểm cao trong bài thi Toán 8.
Đề thi Học kì 2 Toán 8 năm 2023-2024 trường THCS Tân Tạo A -TPHCM
Xem thử Đề thi CK2 Toán 8 KNTT Xem thử Đề thi CK2 Toán 8 CTST Xem thử Đề thi CK2 Toán 8 CD
Chỉ từ 150k mua trọn bộ đề thi Toán 8 Học kì 2 theo cấu trúc mới bản word có lời giải chi tiết, dễ dàng chỉnh sửa:
- B1: gửi phí vào tk:
1133836868- CT TNHH DAU TU VA DV GD VIETJACK - Ngân hàng MB (QR) - B2: Nhắn tin tới Zalo VietJack Official - nhấn vào đây để thông báo và nhận đề thi
Phòng Giáo dục và Đào tạo .....
Đề thi Học kì 1 trường THCS Tân Tạo A -TPHCM
Năm học 2023-2024
Môn: Toán 8
Thời gian làm bài: phút
(Đề 1)
I. PHẦN TRẮC NGHIỆM
Mỗi câu sau đây đều có 4 lựa chọn, chỉ có 1 phương án đúng. Hãy khoanh tròn phương án đúng trong mỗi câu dưới đây.
Câu 1. (0,25 điểm) Trong các hàm số sau hàm số nào biểu thị quãng đường đi được của một ô tô chuyển động với vận tốc 50km/h trong t giờ?
A.
B.
C.
D. t = 50s
Câu 2. (0,25 điểm) Đường thẳng y = 5x + 1 có hệ số b là:
A. 5
B. 1
C. - 1
D. - 5
Câu 3. (0,25 điểm) Phương trình nào sau đây là phương trình bậc nhất một ẩn?
A. 1 + 0x = 1
B.
C. x - 2 = 0
D.
Câu 4. (0,25 điểm) Nghiệm của phương trình 3x - 1= 2x + 5 là:
A. - 6
B. 6
C. 5
D. -5
Câu 5. (0,25 điểm) Đoạn thẳng nào là đường trung bình của tam giác ABC ?
A. MP
B. MN
C. MI
D. MQ
Câu 6. (0,25 điểm) Cho hình vẽ, biết MN // BC. Trong các khẳng định sau, khẳng định nào đúng ?
A.
B.
C.
D.
Câu 7. (0,25 điểm) Cho KFCᔕ MNP và KF = 5cm; MN = 8cm ; MP = 9cm.
Vậy KFC ᔕ MNP theo tỉ số đồng dạng k là:
A. k =
B. k =
C. k =
D. k =
Câu 8. (0,25 điểm) Cho hình vẽ. Độ dài cạnh EF là :
A. 8cm
B. 16cm
C. 4cm
D. 2cm
Câu 9. (0,25 điểm) Trong các khẳng định sau, khẳng định nào đúng?
A. Hai tam giác đồng dạng thì bằng nhau.
B. Hai tam giác bằng nhau thì đồng dạng.
C. Hai tam giác bằng nhau thì không đồng dạng.
D. Hai tam giác cân thì luôn đồng dạng.
Câu 10. (0,25 điểm) Cho ABC ᔕ DEF. Trong các khẳng định sau, khẳng định nào sai ?
A.
B.
C.
D.
Câu 11. (0,25 điểm) Cho các hình sau:
Hình 2 đồng dạng với hình…
A. 1
B. 3
C. 4
D. 6
Câu 12. (0,25 điểm) Trong hộp có một số bút xanh, một số bút vàng và một số bút đỏ. lấy ngẫu nhiên 1 bút từ hộp, xem màu gì rồi trả lại. Lặp lại hoạt động trên 40 lần ta được kết quả như sau:
|
Màu bút |
Bút xanh |
Bút vàng |
Bút đỏ |
|
Số lần |
14 |
10 |
16 |
Xác suất thực nghiệm của sự kiện không lấy được màu vàng là:
A. 0,25
B. 0,1
C. 0,75
D. 0,9
II. PHẦN TỰ LUẬN
Câu 1. (2,0 điểm) Cho hàm số y = 3x - 1 có đồ thị là đường thẳng (d)
a) Xác định hệ số góc của đường thẳng (d). Góc tạo bởi đường thẳng (d) và trục 0x là góc nhọn hay góc tù?
b) Cho đường thẳng (d’): y = ax + 2. Xác định giá trị của a để đường thẳng (d’) song song với (d)
c) Vẽ đồ thị hàm số y = 3x - 1(d)
Câu 2. (1,0 điểm): Giải các phương trình sau:
a) 5x + 10 = 3x - 4
b)
Câu 3. (1,0 điểm) Một người đi ô tô từ Thành phố Hồ Chí Minh đến Nha Trang. Lúc đi người ấy đi với vận tốc 50 km/h. Khi về người đó theo con đường khác ngắn hơn lúc đi 30km, vận tốc lúc về hơn lúc đi là 10km/h nên thời thời gian về ít hơn thời gian lúc đi là 1 giờ 45 phút. Tính quãng đường lúc đi.
Câu 4. (0,5 điểm) Tính chiều dài khúc sông AB trong hình sau (kết quả làm tròn đến chữ số thập phân thứ nhất).
Câu 5. (0,5 điểm) Gieo ngẫu nhiên một đồng tiền cân đối và đồng chất liên tiếp ba lần. Tính xác suất của biến cố sau: “Mặt sấp xuất hiện ít nhất một lần”.
Câu 6. (2,0 điểm) Cho ABC vuông tại A, có AH là đường cao. Qua C vẽ đường thẳng song song với AB và cắt AH tại D.
a) Chứng minh : ABC ᔕHBA và
b) Gọi I, K lần lượt là trung điểm của AB và CD. Chứng minh: I, H, K thẳng hàng.
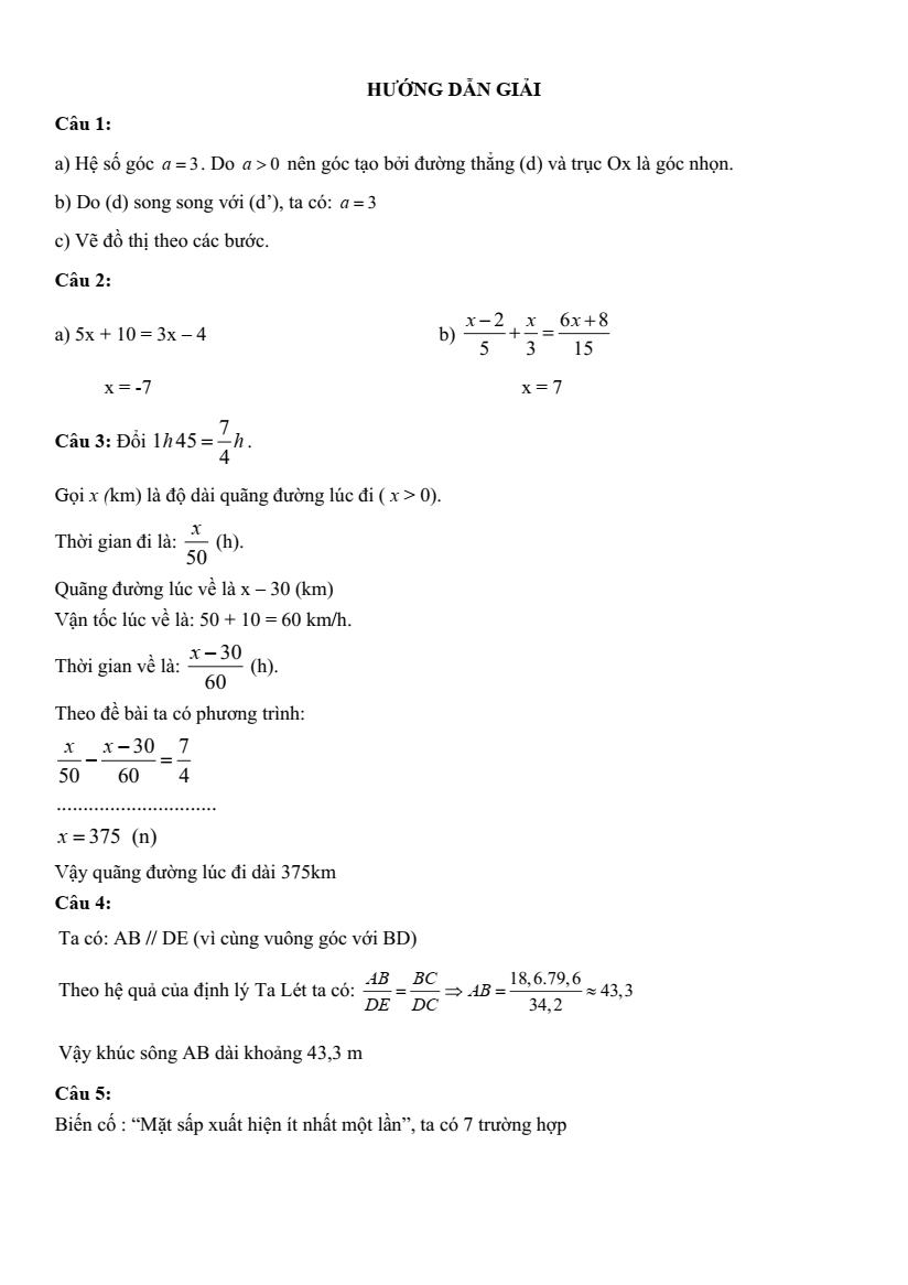
Đáp án Đề thi Học kì 2 trường THCS Tân Tạo A -TPHCM
Xem thử Đề thi CK2 Toán 8 KNTT Xem thử Đề thi CK2 Toán 8 CTST Xem thử Đề thi CK2 Toán 8 CD
Xem thêm đề thi Học kì 2 Toán 8 năm 2023-2024 phòng GD&ĐT Bình Tân (Tp. HCM) hay khác:
Tủ sách VIETJACK shopee lớp 6-8 (2025):
Đã có app VietJack trên điện thoại, giải bài tập SGK, SBT Soạn văn, Văn mẫu, Thi online, Bài giảng....miễn phí. Tải ngay ứng dụng trên Android và iOS.
Theo dõi chúng tôi miễn phí trên mạng xã hội facebook và youtube:Bộ đề thi các môn học lớp 8 năm 2025 Học kì 1, Học kì 2 của chúng tôi được biên soạn và sưu tầm từ đề thi khối lớp 8 của các trường THCS trên cả nước.
Nếu thấy hay, hãy động viên và chia sẻ nhé! Các bình luận không phù hợp với nội quy bình luận trang web sẽ bị cấm bình luận vĩnh viễn.
- Giải Tiếng Anh 8 Global Success
- Giải sgk Tiếng Anh 8 Smart World
- Giải sgk Tiếng Anh 8 Friends plus
- Lớp 8 - Kết nối tri thức
- Soạn văn 8 (hay nhất) - KNTT
- Soạn văn 8 (ngắn nhất) KNTT
- Giải sgk Toán 8 - KNTT
- Giải sgk Khoa học tự nhiên 8 - KNTT
- Giải sgk Lịch Sử 8 - KNTT
- Giải sgk Địa Lí 8 - KNTT
- Giải sgk Giáo dục công dân 8 - KNTT
- Giải sgk Tin học 8 - KNTT
- Giải sgk Công nghệ 8 - KNTT
- Giải sgk Hoạt động trải nghiệm 8 - KNTT
- Giải sgk Âm nhạc 8 - KNTT
- Lớp 8 - Chân trời sáng tạo
- Soạn văn 8 (hay nhất) - CTST
- Soạn văn 8 (ngắn nhất) - CTST
- Giải sgk Toán 8 - CTST
- Giải sgk Khoa học tự nhiên 8 - CTST
- Giải sgk Lịch Sử 8 - CTST
- Giải sgk Địa Lí 8 - CTST
- Giải sgk Giáo dục công dân 8 - CTST
- Giải sgk Tin học 8 - CTST
- Giải sgk Công nghệ 8 - CTST
- Giải sgk Hoạt động trải nghiệm 8 - CTST
- Giải sgk Âm nhạc 8 - CTST
- Lớp 8 - Cánh diều
- Soạn văn 8 Cánh diều (hay nhất)
- Soạn văn 8 Cánh diều (ngắn nhất)
- Giải sgk Toán 8 - Cánh diều
- Giải sgk Khoa học tự nhiên 8 - Cánh diều
- Giải sgk Lịch Sử 8 - Cánh diều
- Giải sgk Địa Lí 8 - Cánh diều
- Giải sgk Giáo dục công dân 8 - Cánh diều
- Giải sgk Tin học 8 - Cánh diều
- Giải sgk Công nghệ 8 - Cánh diều
- Giải sgk Hoạt động trải nghiệm 8 - Cánh diều
- Giải sgk Âm nhạc 8 - Cánh diều


Giải bài tập SGK & SBT
Tài liệu giáo viên
Sách
Khóa học
Thi online
Hỏi đáp

