Đề kiểm tra Toán 9 Chương 1 Đại số có đáp án (9 đề)
Đề kiểm tra Toán 9 Chương 1 Đại số có đáp án (9 đề)
Để học tốt Toán lớp 9, phần dưới đây liệt kê Đề kiểm tra Toán 9 Chương 1 Đại số có đáp án (9 đề), cực sát đề thi chính thức. Hi vọng bộ đề thi này sẽ giúp bạn ôn luyện & đạt điểm cao trong các bài thi, bài thi Toán lớp 9.
- Top 6 Đề kiểm tra 15 phút Toán 9 Chương 1 Đại Số có đáp án
- Top 3 Đề kiểm tra 1 tiết Toán 9 Chương 1 Đại Số có đáp án
Phòng Giáo dục và Đào tạo .....
Đề kiểm tra 15 phút chương 1 đại số Học kì 1
Môn: Toán 9
Thời gian làm bài: 15 phút
(Đề 1)
Đề bài
Bài 1: (2 điểm) Đưa các thừa số ra ngoài dấu căn
Bài 2: (2 điểm) Đưa thừa số vào trong dấu căn:
a) x√5 với x ≥ 0
Bài 3: (6 điểm) Rút gọn biểu thức:
a) √(9a) + √(25a) - √(49a) với a ≥ 0
b) √75 + √48 - √300
c) (2√3 + √5) √3 - √60
Hướng dẫn giải
Bài 1:
= 2|a-3|
= 2(3-a) (do a < 3)
Bài 2:
a) x√5 với x ≥ 0
= √(5x2)
Bài 3:
a) √(9a) + √(25a) - √(49a) với a ≥ 0
= 3√a + 5√a - 7√a
= √a
b) √75 + √48-√300
= √(25.3) + √(16.3) - √(100.3)
= 5√3 + 4√3 - 10√3
= -√3
c) (2√3 + √5) √3-√60
= 6 + √15 - 2√15
= 6 - √15
Phòng Giáo dục và Đào tạo .....
Đề kiểm tra 15 phút chương 1 đại số Học kì 1
Môn: Toán 9
Thời gian làm bài: 15 phút
(Đề 2)
Đề bài
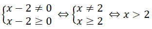
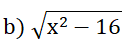
Bài 1: (4 điểm) Với giá trị nào của x thì các biểu thức sau có nghĩa:
Bài 2: (6 điểm) Thực hiện các phép tính sau:
a) √(160b) + 2 √(40b) - 3 √(90b) với b ≥ 0
Hướng dẫn giải
Bài 1: Với giá trị nào của x thì các biểu thức sau có nghĩa:
Biểu thức có nghĩa khi và chỉ khi:
4 - 2x ≥ 0 ⇔ 2x ≤ 4 ⇔ x ≤ 2
Biểu thức có nghĩa khi và chỉ khi:
x2 - 16 ≥ 0 ⇔ x2 ≥ 42 ⇔ |x| ≥ 4
Biểu thức có nghĩa khi và chỉ khi:
Biểu thức có nghĩa khi và chỉ khi:
Bài 2: (6 điểm) Thực hiện các phép tính sau:
a) √(160b) + 2 √(40b) - 3 √(90b) với b ≥ 0
= √(16.10b) + 2 √(4.10b) - 3. √(9.10b)
= 4 √(10b) + 4 √(10b) - 9 √(10b)
= -√(10b)
= |3 - 2 √2| + |3 + 2 √2|
= 3 - 2 √2 + 3 + 2 √2
= 6
= | √5 - √2| - | √5 + √2|
= √5 - √2 - (√5 + √2)
= √5 - √2 - √5 - √2
= -2 √2
Đề kiểm tra 15 phút (Trắc nghiệm - Tự luận)
Phòng Giáo dục và Đào tạo .....
Đề kiểm tra 15 phút chương 1 đại số Học kì 1
Môn: Toán 9
Thời gian làm bài: 15 phút
(Đề 3)
Đề bài
Phần trắc nghiệm (5 điểm)
Câu 1: Căn bậc hai số học của 16 là:
A. 4 B. –4 C. ±4 D. 256
Câu 2: Biểu thức xác định khi:
Câu 3: Biểu thức bằng:
A. x - 1 B. 1 - x C.|x - 1| D.(x-1)2
Câu 4: Kết quả của phép tính √8:√2 là:
A.4 B.2 C.2√2 D.√2
Câu 5: Biểu thức có giá trị là:
A.√2 - 3 B. -1 C.7 D.3-√2
Phần tự luận (5 điểm)
Bài 1: Thực hiện các phép tính sau:
Hướng dẫn giải
Phần trắc nghiệm (5 điểm)
| 1. A | 2.D | 3.C | 4.B | 5.D |
Phần tự luận (5 điểm)
Bài 1:
= 3 + |√5-1| - 3√5
= 3 + √5-1 - 3√5
= 2 - 2√5
Phòng Giáo dục và Đào tạo .....
Đề kiểm tra 15 phút chương 1 đại số Học kì 1
Môn: Toán 9
Thời gian làm bài: 15 phút
(Đề 4)
Phần trắc nghiệm (5 điểm)
Câu 1: Căn bậc hai số học của 9 là:
A. 3 B. – 3 C. ± 3 D. 81
Câu 2: Biểu thức xác định khi:
Câu 3: √(x2 ) = 5 thì x bằng:
A.5 B.±25 C.-5 D.±5
Câu 4: Phương trình √x = a vô nghiệm với:
A.a > 0 B.a = 0 C.a < 0 D. mọi a
Câu 5: Kết quả phép tính là:
A.3 - 2√5 B.√5 - 2 C.2-√5 D.Kết quả khác
Phần tự luận (5 điểm)
Bài 1:
Hướng dẫn giải
Phần trắc nghiệm (5 điểm)
| 1.A | 2.C | 3.D | 4.C | 5.B |
Phần tự luận (5 điểm)
Bài 1:
= 3|b - 2|
= 3(2 - b) (do b < 2)
e) (√28 - 2√14 + √7) √7 + 7√8
= (2√7 - 2√14 + √7) √7 + 14√2
= (3√7 - 2√7.√2) √7 + 14√2
= 21 - 14√2 + 14√2
= 21
Đề kiểm tra 15 phút (Trắc nghiệm)
Phòng Giáo dục và Đào tạo .....
Đề kiểm tra 15 phút chương 1 đại số Học kì 1
Môn: Toán 9
Thời gian làm bài: 15 phút
(Đề 5)
Đề bài
Câu 1: Căn bậc hai số học của 25 là:
A. 5 B. – 5 C. ±5 D. 225
Câu 2: So sánh 9 và √79, ta có kết luận sau:
A.9 < √79 B.9 = √79 C.9 > √79 D. Không so sánh được
Câu 3: Biểu thức xác định khi:
Câu 4: Giá trị của x để là:
A.13 B.14 C.1 D.4
Câu 5: Biểu thức bằng :
A.1 + x2 B.-(1 + x2 ) C.±(1 + x2 ) D. Kết quả khác
Câu 6: Biết √(x2 ) = 13 thì x bằng:
A.13 B.169 C.±169 D.±13
Câu 7: Biểu thức bằng:
A.√8 B.-√2 C.-2√2 D.-2
Câu 8: Giá trị của biểu thức bằng:
A.12√6 B.6 C.√30 D.3
Câu 9: Với a < 1 thì kết quả rút gọn biểu thức là:
A.-√a B.√a C.a D.a + 1
Câu 10: Nếu x thỏa mãn điều kiện thì x nhận giá trị là:
A.0 B.6 C.9 D.36
Hướng dẫn giải
| 1. A | 2.C | 3.B | 4.D | 5.A |
| 6.D | 7.C | 8. B | 9.A | 10.D |
Câu 2: Ta có 9 = √81
81 < 79 ⇒ √81 < √79 hay 9 > √79
Chọn đáp án C
Câu 3: Biểu thức √(5 - 2x) xác định khi:
5 - 2x ≥ 0 ⇔ 2x ≤ 5 ⇔ x ≤ 5/2
Chọn đáp án B
Câu 4: ⇔ 2x + 1 = 9 ⇔ 2x = 8 ⇔ x = 4
Chọn đáp án D
Câu 5: Do 1 + x2 > 1 ∀x nên = 1 + x2
Chọn đáp án A
Câu 6: √(x2 ) = 13 ⇔ |x| = 13 ⇔ x = ±13
Chọn đáp án D
Câu 7:
Chọn đáp án C
Câu 8:
= |3 - √6| + |3 + √6|
= 3 - √6 + 3 + √6
= 6
Chọn đáp án B
Câu 9: Với a > 1, ta có
Chọn đáp án A
Câu 10:
⇔ 3 + √x = 9 ⇔ √x = 6 ⇔ x = 36
Chọn đáp án D
Phòng Giáo dục và Đào tạo .....
Đề kiểm tra 15 phút chương 1 đại số Học kì 1
Môn: Toán 9
Thời gian làm bài: 15 phút
(Đề 6)
Đề bài
Câu 1:Biểu thức xác định khi và chỉ khi
A.x > 4 B.x < 4 C.x ≥ 4 D.x ≤ 4
Câu 2: So sánh 6 và √41, ta có kết luận sau:
A.6 < √41 B.6 = √41
C.6 > √41 D. Không so sánh được
Câu 3: Biểu thức bằng:
A.√7-3 B.3-√7 C.4 D.-4
Câu 4: bằng∶
A.3xy2 B.-3xy2 C.3|x|y2 D.3x2y4
Câu 5: Kết quả phép tính là:
A.√6 - 1 B.1 - √6 C. √6 - 2 D.2
Câu 6:Giá trị của biểu thức bằng:
A.4√7 B.√7 C.7 D.-√7
Câu 7: Nếu thì x bằng:
A.0 B.5 C.100 D.400
Câu 8: Nghiệm của phương trình x2 = 16 là:
A.x = 4 B.x = -4 C.x = ±4 D.x = 16
Câu 9: Với a > 0,b > 0 thì bằng:
Câu 10: Với giá trị nào của x thì biểu thức không có nghĩa:
A.x < 0 B.x > 0 C.x ≥ 0 D.x ≤ 0
Hướng dẫn giải
| 1. C | 2.A | 3.B | 4.C | 5.A |
| 6.D | 7.D | 8.C | 9.B | 10.A |
Câu 1:Biểu thức xác định khi và chỉ khi
x - 4 ≥ 0 ⇔ x ≥ 4
Chọn đáp án C
Câu 2: 6 = √36
Ta có: 36 < 41 ⇒ √36 < √41 hay 6 < √41
Chọn đáp án A
Câu 3:
Chọn đáp án B
Câu 4:
Chọn đáp án C
Câu 5:
Chọn đáp án A
Câu 6:
Chọn đáp án D
Câu 7: ⇔ 5 + √x = 25 ⇔ √x = 20 ⇔ x = 400
Chọn đáp án D
Câu 8: Chọn đáp án C
Câu 9: Với a > 0, b > 0 ta có:
Chọn đáp án B
Câu 10: Chọn đáp án A
Xem thêm các đề kiểm tra, Đề thi Toán 9 chọn lọc, có đáp án hay khác:
- Đề kiểm tra Toán 9 Chương 2 Đại số có đáp án (9 đề)
- Đề kiểm tra Toán 9 Chương 1 Hình học có đáp án (9 đề)
- Đề kiểm tra Toán 9 Chương 2 Hình học có đáp án (9 đề)
- Đề kiểm tra Toán 9 Chương 3 Đại số có đáp án (10 đề)
- Đề kiểm tra Toán 9 Chương 4 Đại số có đáp án (9 đề)
- Đề kiểm tra Toán 9 Chương 3 Hình học có đáp án (8 đề)
- Đề kiểm tra Toán 9 Chương 4 Hình học có đáp án (10 đề)
Loạt bài Đề thi Toán lớp 9 năm 2025 học kì 1 và học kì 2 được biên soạn bám sát cấu trúc ra đề thi mới Tự luận và Trắc nghiệm giúp bạn giành được điểm cao trong các bài thi Toán lớp 9.
Nếu thấy hay, hãy động viên và chia sẻ nhé! Các bình luận không phù hợp với nội quy bình luận trang web sẽ bị cấm bình luận vĩnh viễn.
- Giáo án lớp 9 (các môn học)
- Giáo án điện tử lớp 9 (các môn học)
- Giáo án Toán 9
- Giáo án Ngữ văn 9
- Giáo án Tiếng Anh 9
- Giáo án Khoa học tự nhiên 9
- Giáo án Vật Lí 9
- Giáo án Hóa học 9
- Giáo án Sinh học 9
- Giáo án Địa Lí 9
- Giáo án Lịch Sử 9
- Giáo án GDCD 9
- Giáo án Tin học 9
- Giáo án Công nghệ 9
- Đề thi lớp 9 (các môn học)
- Đề thi Ngữ Văn 9 (có đáp án)
- Đề thi Toán 9 (có đáp án)
- Đề thi Tiếng Anh 9 mới (có đáp án)
- Đề thi Tiếng Anh 9 (có đáp án)
- Đề thi Khoa học tự nhiên 9 (có đáp án)
- Đề thi Lịch Sử và Địa Lí 9 (có đáp án)
- Đề thi GDCD 9 (có đáp án)
- Đề thi Tin học 9 (có đáp án)
- Đề thi Công nghệ 9 (có đáp án)
Giải bài tập SGK & SBT
Tài liệu giáo viên
Sách
Khóa học
Thi online
Hỏi đáp



