Đề kiểm tra Toán 9 Chương 3 Đại số có đáp án (10 đề)
Đề kiểm tra Toán 9 Chương 3 Đại số có đáp án (10 đề)
Để học tốt Toán lớp 9, phần dưới đây liệt kê Đề kiểm tra Toán 9 Chương 3 Đại số có đáp án (10 đề), cực sát đề thi chính thức. Hi vọng bộ đề thi này sẽ giúp bạn ôn luyện & đạt điểm cao trong các bài thi, bài thi Toán lớp 9.
- Top 6 Đề kiểm tra 15 phút Toán 9 Chương 3 Đại Số có đáp án
- Top 4 Đề kiểm tra 1 tiết Toán 9 Chương 3 Đại Số có đáp án
Phòng Giáo dục và Đào tạo .....
Đề kiểm tra 15 phút chương 3 đại số Học kì 1
Môn: Toán 9
Thời gian làm bài: 15 phút
(Đề 1)
Đề bài
Câu 1: (6 điểm) Giải các hệ phương trình sau:
Câu 2: (4 điểm) Tìm giá trị của a và b để hai đường thẳng (d1 ) ∶(3a - 1)x + 2by = 56 và (d2 ):1/2 ax - (3b + 2)y = 3 cắt nhau tại điểm M(2; -5).
Hướng dẫn giải
Câu 1:
Vậy hệ phương trình đã cho có nghiệm (x; y) = (9; -1).
Câu 2:
Hai đường thẳng (d1 ) và (d2 ) cắt nhau tại M(2; -5) nên:
M ∈ (d1 ): (3a - 1)2 + 2b.(-5) = 56 ⇔ 6a - 10b = 58
M ∈ (d2 ): 1/2 a.2 - (3b + 2)(-5) = 3 ⇔ a + 15b = -7
Khi đó, ta có hệ phương trình:
Vậy a = 8 và b = -1 thì hai đường thẳng (d1 ) và (d2 ) cắt nhau tại M(2; -5).
Phòng Giáo dục và Đào tạo .....
Đề kiểm tra 15 phút chương 3 đại số Học kì 1
Môn: Toán 9
Thời gian làm bài: 15 phút
(Đề 2)
Đề bài
Câu 1: (6 điểm) Giải các hệ phương trình sau:
Câu 2: (4 điểm) Giải bài toán bằng cách lập hệ phương trình:
Tổng của 2 số bằng 54. Ba lần số này hơn số kia là 2. Tìm hai số đó
Hướng dẫn giải
Câu 1:
Vậy hệ phương trình đã cho có nghiệm (x; y) = (56; -9).
Hệ phương trình đã cho có vô số nghiệm (x; y) thỏa mãn
Câu 2:
Gọi 2 số cần tìm là x; y.
Tổng của 2 số là 59 nên ta có: x + y = 54
Ba lần số này hơn số kia là 2 nên: 3x – y =2
Ta có hệ phương trình:
Vậy hai số cần tìm là 14 và 40.
Đề kiểm tra 15 phút (Trắc nghiệm - Tự luận)
Phòng Giáo dục và Đào tạo .....
Đề kiểm tra 15 phút chương 3 đại số Học kì 1
Môn: Toán 9
Thời gian làm bài: 15 phút
(Đề 3)
Đề bài
Phần trắc nghiệm (4 điểm)
Câu 1: Giải hệ phương trình ta nhận được nghiệm của hệ là:
A. (5; 0) B. (-1; 2) C.(1; 0) D. Hệ vô nghiệm
Câu 2: Cặp số (-1; 3) là nghiệm của phương trình nào sau đây?
A. -2x + 4y = 0 B. 3x + y = -5
C. x + 2y = 5 D. x - y = 4
Câu 3: Với giá trị nào của a, b thì đường thẳng y= ax+ b đi qua điểm A (1; -2) và song song với đường thẳng 2x+y=3
A. a = -2; b = 0 B. a = 2; b = -4
C. a = -1; b = -1 D. a = 1; b = -3
Câu 4: Phương trình bậc nhất hai ẩn ax + by =c:
A. Luôn vô nghiệm
B. Có vô số nghiệm
C. Có một nghiệm duy nhất
D. Số nghiệm tùy thuộc vào a, b
Phần tự luận (6 điểm)
Giải các hệ phương trình sau:
Hướng dẫn giải
Phần trắc nghiệm (4 điểm)
| 1.D | 2.C | 3.A | 4.B |
Phần tự luận (6 điểm)
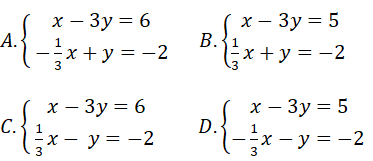
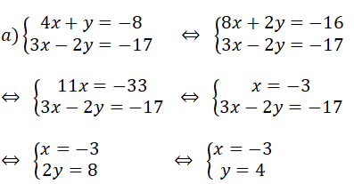
Vậy hệ phương trình đã cho có nghiệm (x; y) = (-3; 4)
Vậy hệ phương trình đã cho có nghiệm (x; y) =(2; 2).
Phòng Giáo dục và Đào tạo .....
Đề kiểm tra 15 phút chương 3 đại số Học kì 1
Môn: Toán 9
Thời gian làm bài: 15 phút
(Đề 4)
Đề bài
Phần trắc nghiệm (4 điểm)
Câu 1: Cặp số (-2; 3) là nghiệm của hệ phương trình nào sau đây:
Câu 2: Cho phương trình 2 đường thẳng y = 2x – 3 và x – y =5. Tọa độ giao điểm của 2 đường thẳng đó là:
A. (2; 1) B. (3; -2) C. (-2; -7) D. (-1; -5)
Câu 3: Với giá trị nào của a, b thì 2 đường thẳng sau trùng nhau 2x + 5y + 3 = 0 và y = ax + b
Câu 4: Điểm nào sau đây thuộc đường thẳng : 3x + 2y = -5
A. ( 0; -1) B (-1; 1) C. (1; 2) D. (-1; -1)
Phần tự luận (6 điểm)
Giải bài toán bằng cách lập hệ phương trình:
Một sân trường hình chữ nhật có chu vi 340m. Ba lần chiều dài hơn 4 lần chiều rộng là 20m. Tính chiều dài và chiều rộng của sân trường.
Hướng dẫn giải
Phần trắc nghiệm (4 điểm)
| 1.A | 2.B | 3.C | 4.D |
Phần tự luận (6 điểm)
Gọi chiều rộng sân trường là x (m)(x > 0)
Chiều dài sân trường là y (m) (y > x > 0)
Sân trường có chu vi là 340 m nên ta có : 2(x + y) = 340
Ba lần chiều dài hơn 4 lần chiều rộng là 20 m nên ta có: 3y – 4x = 20
Ta có hệ phương trình sau:
Vậy chiều dài là 100m; chiều rộng là 70m.
Đề kiểm tra 15 phút (Trắc nghiệm)
Phòng Giáo dục và Đào tạo .....
Đề kiểm tra 15 phút chương 3 đại số Học kì 1
Môn: Toán 9
Thời gian làm bài: 15 phút
(Đề 5)
Đề bài
Câu 1: Tập nghiệm của phương trình 4x + 0y = 7 biểu diễn bởi đường thẳng
A. y = 7 – 4x B. y = 7x – 4 C. y = 1/2 D.x = 7/4
Câu 2: Cặp số (-2; 5) là nghiệm của phương trình nào sau đây:
A. 2x – 5y = 0 B. 5x + 2y = 0
B. x – 5y = 0 D. x + 2y = 0
Câu 3: Tập nghiệm tổng quát của phương trình √7 x+0y=4√7 là:
Câu 4: Hệ phương trình nào sau đây vô nghiệm:
Câu 5: Hệ phương trình có nghiệm là:
A. (-2; 0) B. (-2; 3) C. (0; -2) D. (0; 3)
Câu 6: Hệ phương trình có nghiệm là:
A .S = {2;7 } B .S = ∅ C .S= R D .S= {2 }
Câu 7: Phương trình bậc nhất hai ẩn ax + by = c:
A. Luôn vô nghiệm
B. Có vô số nghiệm
C. Có một nghiệm duy nhất
D. Số nghiệm tùy thuộc vào a, b
Câu 8: Cặp số nào sau đây là nghiệm của phương trình 5x – 3y = 8
A. (1; -1) B. ( 3; 5) C. (0; 8) D. (2; 3)
Câu 9: Cho phương trình x – y = 2 (1). Phương trình nào dưới đây có thể kết hợp với (1) để được một hệ phương trình bậc nhất một ẩn có vô số nghiệm?
A. 2x – 2y = 2 B. -2x + 2y + 4 =0
C. 2y = -2x – 4 D. y = 2x – 2
Câu 10: Hai hệ phương trình là tương đương khi k bằng?
A. k = -3 B. k = 1 C. k = 3 D. k = -1
Hướng dẫn giải
| 1. D | 2. B | 3. A | 4.C | 5.C |
| 6. B | 7. B | 8. A | 9. B | 10. C |
Câu 1: Chọn đáp án D
4x + 0y =7 ⇒ 4x = 7 ⇒ x = 7/4
Câu 2: Chọn đáp án B
Thay trực tiếp x = -2; y = 5 vào đáp án, đáp án B thỏa mãn.
Câu 3: Chọn đáp án A
√7 x + 0y = 4√7 ⇒ x = 4
Do đó nghiệm tổng quát là (x = 4 và y ∈ R
Câu 4: Chọn đáp án C
Câu 5: Chọn đáp án C
Vậy hệ phương trình có nghiệm là (0; -2)
Câu 6: Chọn đáp án B
⇒ Hệ phương trình đã cho vô nghiệm ⇒ S = ∅
Cách 2: Ta thấy: ⇒ Hệ pt vô nghiệm
Câu 9: Chọn đáp án B.
x – y = 2 (1) ⇒ a = 1; b = -1; c = 2
A. 2x – 2y = 2 ⇒ a' = 2; b' = -2; c = 2
⇒ hpt vô nghiệm
B. -2x + 2y + 4 = 0 ⇔ -2x + 2y = - 4 ⇒ a'= -2; b'= 2; c'= -4
⇒ hpt có vô số nghiệm
C. 2y = -2x – 4 ⇔ 2x + 2y = -4 ⇒ a' = 2; b' = 2; c' = -4
⇒ hpt có 1 nghiệm duy nhất
D. y = 2x – 2 ⇔ 2x – y = 2 ⇒ a' = 2; b'= -1
⇒ hpt có 1 nghiệm duy nhất
Câu 10: Chọn đáp án C.
Do đó 2 hệ phương trình tương đương khi k/3=1 ⇔k=3
Phòng Giáo dục và Đào tạo .....
Đề kiểm tra 15 phút chương 3 đại số Học kì 1
Môn: Toán 9
Thời gian làm bài: 15 phút
(Đề 6)
Đề bài
Câu 1: Tọa độ giao điểm của 2 đường thẳng 5x – 2y = 5 và 4x – 5y = - 13 là:
A. (-3;-5) B. (3; 5) C. (-3; 5) D. (3; -5)
Câu 2: Tập nghiệm của phương trình 4x + y = 7 biểu diễn bởi đường thẳng
A. y = 7 – 4x B. y = 7x – 4 C. y = 7/4 D.y = 4x – 7
Câu 3: Hệ phương trình có nghiệm là:
A. (4; 0) B. (2; 2) C. (-2; 6) D. (0; 4)
Câu 4: Cặp số nào sau đây là nghiệm của phương trình x – 3y = 8
A. (1; 4) B. ( -1; 5) C. (0; 8) D. (2; -2)
Câu 5: Đường thẳng y = 3x + 2 đi qua điểm nào sau đây?
A. (1; 5) B. ( -2; 4) C. (-1; 2) D. (1; 4)
Câu 6: Cho phương trình x –2y = 2 (1). Phương trình nào dưới đây có thể kết hợp với (1) để được một hệ phương trình bậc nhất một ẩn vô nghiệm?
A. 2x – 2y = 2 B. -2x + 4y - 4 =0
C. 2y = -2x – 4 D. y = 2x – 2
Câu 7: Hệ phương trình có nghiệm là:
A..(√3; √3) B. (3√3; √3) C.(2√3; -2√3) D.(√3; -√3)
Câu 8: Hệ phương trình nào sau đây có vô số nghiệm:
Câu 9: Tập nghiệm tổng quát của phương trình √7 x + 0y=-4√7 là:
Câu 10: Hai hệ phương trình là tương đương khi k bằng?
A. k = 3 B. k = 1 C. k = -3 D. k = -1
Hướng dẫn giải
Phần trắc nghiệm (4 điểm)
| 1.B | 2.A | 3.B | 4.D | 5.A |
| 6.B | 7.D | 8.A | 9.B | 10.C |
Câu 1: Tọa độ giao điểm của 2 đường thẳng 5x – 2y =5 và 4x – 5y = - 13 là nghiệm của hệ phương trình
Vậy hệ phương trình có nghiệm (x; y) = (3; 5)
Câu 2: Chọn đáp án A
4x + y = 7 ⇒ y = 7 – 4x
Câu 3: Chọn đáp án B
Vậy hệ phương trình có nghiệm (x; y)= (2; 2)
Câu 6: Chọn đáp án B
x –2y = 2 ⇒ a = 1; b = -2; c = 2
A. 2x – 2y = 2 ⇒ a' = 2; b' = -2; c = 2
⇒ hpt có 1 nghiệm duy nhất
B. -2x + 4y - 4 = 0 ⇔ -2x + 4y = 4 ⇒ a' = -2; b' = 4; c' = 4
⇒ hpt vô nghiệm
C. 2y = -2x – 4 ⇔ 2x + 2y = -4 ⇒ a' = 2; b'= 2; c' = -4
⇒ hpt có 1 nghiệm duy nhất
D. y = 2x – 4 ⇔ -2x + y = -4 ⇒ a' = -2; b' = 1; c' = -4
⇒ hpt có vô số nghiệm
Câu 7: Chọn đáp án D
Vậy hệ phương trình có nghiệm (x; y) = (√3; -√3)
Câu 8: Chọn đáp án A
Xét hệ phương trình: Nếu ta có:
TH 1: ⇒ hpt có vô số nghiệm
TH 2: ⇒ hpt có 1 nghiệm duy nhất
TH 3: ⇒ hpt vô nghiệm
Câu 9: Chọn đáp án B
√7 x + 0y = -4√7 ⇔ √7x = -4√7 ⇔ x = -4
Vậy nghiệm tổng quát của phương trình là x = -4 và y ∈ R
Câu 10: Chọn đáp án C.
Xét hệ phương trình
Hai hệ phương trình là tương đương khi k/3 = -1 ⇔ k = -3
Xem thêm các đề kiểm tra, Đề thi Toán 9 chọn lọc, có đáp án hay khác:
- Đề kiểm tra Toán 9 Chương 1 Đại số có đáp án (9 đề)
- Đề kiểm tra Toán 9 Chương 2 Đại số có đáp án (9 đề)
- Đề kiểm tra Toán 9 Chương 1 Hình học có đáp án (9 đề)
- Đề kiểm tra Toán 9 Chương 2 Hình học có đáp án (9 đề)
- Đề kiểm tra Toán 9 Chương 4 Đại số có đáp án (9 đề)
- Đề kiểm tra Toán 9 Chương 3 Hình học có đáp án (8 đề)
- Đề kiểm tra Toán 9 Chương 4 Hình học có đáp án (10 đề)
Loạt bài Đề thi Toán lớp 9 năm 2025 học kì 1 và học kì 2 được biên soạn bám sát cấu trúc ra đề thi mới Tự luận và Trắc nghiệm giúp bạn giành được điểm cao trong các bài thi Toán lớp 9.
Nếu thấy hay, hãy động viên và chia sẻ nhé! Các bình luận không phù hợp với nội quy bình luận trang web sẽ bị cấm bình luận vĩnh viễn.
- Giáo án lớp 9 (các môn học)
- Giáo án điện tử lớp 9 (các môn học)
- Giáo án Toán 9
- Giáo án Ngữ văn 9
- Giáo án Tiếng Anh 9
- Giáo án Khoa học tự nhiên 9
- Giáo án Vật Lí 9
- Giáo án Hóa học 9
- Giáo án Sinh học 9
- Giáo án Địa Lí 9
- Giáo án Lịch Sử 9
- Giáo án GDCD 9
- Giáo án Tin học 9
- Giáo án Công nghệ 9
- Đề thi lớp 9 (các môn học)
- Đề thi Ngữ Văn 9 (có đáp án)
- Đề thi Toán 9 (có đáp án)
- Đề thi Tiếng Anh 9 mới (có đáp án)
- Đề thi Tiếng Anh 9 (có đáp án)
- Đề thi Khoa học tự nhiên 9 (có đáp án)
- Đề thi Lịch Sử và Địa Lí 9 (có đáp án)
- Đề thi GDCD 9 (có đáp án)
- Đề thi Tin học 9 (có đáp án)
- Đề thi Công nghệ 9 (có đáp án)
Giải bài tập SGK & SBT
Tài liệu giáo viên
Sách
Khóa học
Thi online
Hỏi đáp



