Đề kiểm tra 1 tiết Toán 9 Chương 3 Đại Số có đáp án (10 đề)
Đề kiểm tra 1 tiết Toán 9 Chương 3 Đại Số có đáp án (10 đề)
Để học tốt Toán lớp 9, phần dưới đây liệt kê Đề kiểm tra 1 tiết Toán 9 Chương 3 Đại Số có đáp án (10 đề), cực sát đề thi chính thức. Hi vọng bộ đề thi này sẽ giúp bạn ôn luyện & đạt điểm cao trong các bài thi, bài thi Toán lớp 9.
Đề kiểm tra 1 tiết Toán 9 Chương 3 Đại Số
Phòng Giáo dục và Đào tạo .....
Đề kiểm tra 1 tiết chương 3 đại số Học kì 1
Môn: Toán 9
Thời gian làm bài: 45 phút
(Đề 1)
Đề bài
Phần trắc nghiệm (3 điểm)
Câu 1: Cặp số (1;0) là nghiệm của phương trình nào sau đây:
A.3x - 2y = 3 B. 3x - y = 1
C. 0x + 3y = 9 D.2x + 0y = 5
Câu 2: Cho phương trình x + y = 1 (1). Phương trình nào sau đây có thể kết hợp với (1) để được một hệ phương trình bậc nhất hai ẩn có vô số nghiệm.
A.3x - 2y = 5 B. 3x + y = 1 C.x + 3y = 9 D.2x + 2y = 2
Câu 3: Tập nghiệm của phương trình 7x + 0y = 21 được biểu diễn bởi đường thẳng:
A. y = 2x B. y = 3x C. x = 3 D. y = 3
Câu 4: Cặp số nào sau đây là nghiệm của hệ phương trình:
A.(2; 1) B.(-2; -1) C.(2; -1) D.(3; 1)
Câu 5: Hệ phương trình:
A.Có nghiệm duy nhất (-3;2)
B. Có vô số nghiệm
C.Hệ vô nghiệm
D. Có nghiêm duy nhất (-2; 4)
Câu 6: Tìm một số có hai chữ số, biết rằng số đó gấp 7 lần chữ số hàng đơn vị của nó và nếu đem số cần tìm chia cho tổng các chữ số của nó được thương là 4 và số dư là 3. Số cần tìm là:
A. 49 B. 35 C. 42 D. 56
Phần tự luận (7 điểm)
Bài 1. ( 3 diểm) Giải các hệ phương trình sau
Bài 2. (1 điểm) Cho hệ phương trình:
Gọi (x; y) là nghiệm của hệ phương trình . Xác định giá trị của k để P = x 2 + y 2 đạt giá trị nhỏ nhất.
Bài 3. (3 điểm) Hai xí nghiệp theo kế hoạch phải làm tổng cộng 520 dụng cụ. Thực tế, xí nghiệp I vượt mức kế hoạch 10%, xí nghiệp II vượt mức kế hoạch 12%, do đó cả hai xí nghiệp đã làm được 577 dụng cụ. Tính số dụng cụ mỗi xí nghiệp phải làm theo kế hoạch.
Hướng dẫn giải
Phần trắc nghiệm (3 điểm)
| 1.A | 2.D | 3.C | 4.C | 5.A | 6.B |
Phần tự luận (7 điểm)
Bài 1.
Vậy hệ phương trình có nghiệm duy nhất là (x; y) = (3; -1)
Vậy hệ phương trình có nghiệm duy nhất là (x; y) = (-3; 4)
Bài 2.
Với k + 2 ≠ 0 ⇔ k ≠ -2 thì hệ phương trình có nghiệm :
Ta có:
P = x 2 + y 2 = x 2 + (2x + 4) 2 = 5x 2 + 16x + 16
Vậy với k = (-31)/8 thì biểu thức P = x 2 + y 2 đạt giá trị nhỏ nhất
Bài 3.
Gọi số dụng cụ xí nghiệp I làm theo kế hoạch là x (dụng cụ)
Gọi số dụng cụ xí nghiệp II làm theo kế hoạch là y (dụng cụ)
Điều kiện x;y ∈ N*.
Vì theo kế hoạch hai xí nghiệp phải làm 520 dụng cụ,nên ta có phương trình: x + y = 520 (1)
Thực tế xí nghiệp I vượt mức kế hoạch 10% và xí nghiệp II vượt mức kế hoạch 12%, do đó cả 2 xí nghiệp làm đc 577 sản phẩm nên ta có phương trình:
Ta có hệ phương trình
Vậy xí nghiệp I làm theo kế hoạch là 270 dụng cụ.
Xí nghiệp II làm theo kế hoạch là 250 dụng cụ.
Phòng Giáo dục và Đào tạo .....
Đề kiểm tra 1 tiết chương 3 đại số Học kì 1
Môn: Toán 9
Thời gian làm bài: 45 phút
(Đề 2)
Đề bài
Phần trắc nghiệm (3 điểm)
Câu 1: Cặp số (2; 0) là nghiệm của phương trình nào sau đây:
A. 3x - 2y = 6 B. 3x - 2y = 3
C. 3x - y = 1 D. 2x + 0y = 5
Câu 2: Cho phương trình x - y = 1 (1). Phương trình nào dưới đây có thể kết hợp được với (1) để được một hệ phương trình bậc nhất hai ẩn số có vô số nghiệm.
A.3x - 2y = 5 B.3x + y = 1 C.x + 3y = 9 D.2x - 2y = 2
Câu 3: Trong mặt phẳng tọa độ Oxy, tập nghiệm của phương trình 2x + 0y = 4 được biểu diễn bởi đường thẳng:
A. Là đường phân giác góc xOy
B. Là đường thẳng đi qua điểm (2; 0) và song song với trục tung
C. Là đường thẳng đi qua điểm (2; 0) và song song với trục hoành
D. Cả 3 đáp án trên đều sai.
Câu 4: Cặp số nào sau đây là nghiệm của hệ phương trình
A.(-1;1) B.(-3;-1) C.(2;-1) D.(3;1)
Câu 5: Hệ phương trình:
A. Vô nghiệm
B. Vô số nghiệm
C. Có nghiệm duy nhất
Câu 6: Một hình chữ nhật có chiều dài hơn chiều rộng 2m và chu vi của chúng là 48m. Diện tích hình chữ nhật là:
A. 575 cm2 B. 143 cm2 C. 286 cm2 D. 100 cm2
Phần tự luận (7 điểm)
Bài 1. (3 điểm) Giải các hệ phương trình.
Bài 2. (1,5 điểm) Cho hệ phương trình:
a) Tìm m để hệ phương trình có nghiệm duy nhất, vô số nghiệm?
b) Tìm m để hệ phương trình trên có nghiệm x < 0; y > 0
Bài 3. (2,5 điểm) Một ô tô đi từ A đến B với vận tốc xác định và trong một thời gian xác định. Nếu vận tốc ô tô tăng lên 10 km/h thì đến B trước 30 phút; còn nếu vận tốc ô tô giảm đi 10 km/h thì đến B chậm hơn 45 phút. Tính vận tốc và thời gian dự định của ô tô?
Hướng dẫn giải
Phần trắc nghiệm (3 điểm)
| 1.A | 2.D | 3.B | 4.A | 5.C | 6.B |
Phần tự luận (7 điểm)
Bài 1.
a)
Vậy hệ phương trình có nghiệm duy nhất là (x; y) = (1; -3)
Vậy hệ phương trình có nghiệm duy nhất là (x; y) = (-10; -5)
Bài 2.
a) Hệ phương trình
Có nghiệm duy nhất khi
Có vô số nghiệm khi
Do đó, hệ phương trình đã cho có nghiệm duy nhất khi
Hệ phương trình đã cho có vô số nghiệm khi ⇔ không tồn tại m thỏa mãn
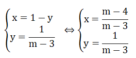
Với m - 3 ≠ 0 ⇔ m ≠ 3 hệ phương trình có nghiệm:
Vì nghiệm của hệ phương trình thỏa mãn x < 0; y > 0 nên ta có:
Vậy với điều kiện 3 < m < 4 thì hệ phương trình có nghiệm thỏa mãn x < 0; y > 0
Bài 3.
30 phút = 1/2 giờ;
45 phút = 3/4 giờ
Gọi vận tốc dự định của ô tô là x (km/h) và thời gian dự định đi của ô tô là y (giờ)
Điều kiện : x > 10; y > 1/2
Lúc đó quãng đường đi của ô tô từ A đến B là x.y (km/h)
Vì ô tô tăng vận tốc lên 10 km/h thì đến B trước 30 phút nên ta có phương trình:
Vận tốc ô tô giảm đi 10 km/h thì đến B chậm hơn 45 phút nên ta có phương trình:
Ta có hệ phương trình
Vậy vận tốc dự định đi của ô tô là 50km/h và thời gian dự định đi của ô tô là 3 giờ.
Phòng Giáo dục và Đào tạo .....
Đề kiểm tra 1 tiết chương 3 đại số Học kì 1
Môn: Toán 9
Thời gian làm bài: 45 phút
(Đề 3)
Đề bài
Phần trắc nghiệm (3 điểm)
Câu 1: Cho phương trình 3x + 4y = 5 . Khẳng định nào sau đây là sai?
A. Phương trình có vô số nghiệm trên R
B. Công thức nghiệm tổng quát của phương trình là:
C. Phương trình có cặp nghiệm là cặp số tự nhiên
D. Phương trình không có nghiệm là cặp số nguyên âm.
Câu 2: Cho hệ phương trình bậc nhất hai ẩn:
Với a, b, c, a’, b’, c’ ≠ 0. Hệ (I) có nghiệm duy nhất khi:
Câu 3: Cho hệ phương trình:
Nghiệm của hệ là:
A.(1;1) B.(-1;1) C.(1;-1) D.(2;-1)
Câu 4: Cho hệ phương trình:
Giá trị m để hệ có nghiệm duy nhất là:
A. m ≠ -1 B. m = 1
C. m ≠ 3 D. m ≠ -2
Câu 5: Phương trình ax + by =c là phương trình bậc nhất hai ẩn, trong đó a, b, c là các số đã biết, với:
A. a ≠ 0 hoặc b ≠ 0 và x, y là các ẩn
B. a, b là các số nguyên, a ≠ 0; b ≠ 0 và x, y là các ẩn
C. a2+b2= 0 và x, y là các ẩn
D. a2+b2= 0;x ≠ 0;y ≠ 0
Câu 6: Cho hệ phương trình:
Giá trị m để hệ phương trình có vô số nghiệm là:
A. m = 1 B. m = -3 C. m = 2 D. m = -3/2
Phần tự luận (7 điểm)
Bài 1. (3 điểm) Cho hệ phương trình :
a) Giải hệ phương trình khi a = 2
b) Tìm điều kiện của a để hệ phương trình có nghiệm duy nhất thỏa mãn x + y > 0
c) Tìm giá trị của a để hệ phương trình có nghiệm (x; y) thỏa mãn x = √2y
Bài 2. (1,5 điểm) Lập phương trình đường thẳng đi qua hai điểm (1; -1) và (3; 5)
Bài 3. (2,5 điểm) Hai người cùng làm chung trong 15 giờ thì được 1/6 công việc. Nếu để người thứ nhất làm một mình trong 12 giờ, người thứ hai làm trong 20 giờ thì cả hai làm được 1/5 công việc. Hỏi nếu để mỗi người làm riêng thì xong công việc trong bao lâu?
Hướng dẫn giải
Phần trắc nghiệm (3 điểm)
| 1.C | 2.B | 3.C | 4.A | 5.A | 6.D |
Phần tự luận (7 điểm)
Bài 1.
a) Khi a = 2, ta có hệ phương trình
Vậy hệ phương trình có nghiệm duy nhất (x; y) = (7/5; 4/5)
Do a2 + 1 ≠ 0 ∀ x nên hệ phương trình trở thành:
Khi đó:
Vậy với a > (-1)/5 thì hệ phương trình có nghiệm duy nhất (x; y) thỏa mãn x+y >0
c) Hệ phương trình đã cho có nghiệm
Theo đề bài : x=√y
Vậy với thì hệ phương trình có nghiệm (x; y) thỏa mãn x = √2y
Bài 2.
Phương trình đường thẳng cần tìm có dạng: y = ax + b
Đường thẳng đi qua điểm (1; -1) nên ta có: a + b = -1
Đường thẳng đi qua điểm (3; 5) nên ta có: 3a + b = 5
Khi đó ta có hệ phương trình
Vậy phương trình đường thẳng cần tìm là y = 3x – 4.
Bài 3.
Gọi thời gian người thứ nhất làm riêng xong công việc là x(giờ)
Gọi thời gian người thứ hai làm riêng xong công việc là y(giờ)
Điều kiện: x; y > 0
Trong 1 giờ người thứ nhất làm được 1/x (công việc)
Trong 1 giờ người thứ hai làm được 1/y (công việc)
Vì hai người làm chung trong 15 giờ được 1/6 công việc nên ta có phương trình:
Vì người thứ nhất làm một mình trong 12 giờ và người thứ hai làm một mình trong 20 giờ được 1/5 công việc nên ta có phương trình:
Từ (1) và (2) ta có hệ phương trình:
Vậy người thứ nhất làm riêng xong công việc trong 360 giờ; người thứ hai làm riêng xong công việc trong 120 giờ.
Phòng Giáo dục và Đào tạo .....
Đề kiểm tra 1 tiết chương 3 đại số Học kì 1
Môn: Toán 9
Thời gian làm bài: 45 phút
(Đề 4)
Đề bài
Phần trắc nghiệm (3 điểm)
Câu 1: Phương trình nào sau đây là phương trình bậc nhất hai ẩn?
A.xy + y = 5 B.3x - 2y = 0 C.x + xy = 2 D.x + y = xy
Câu 2: Phương trình 2x – 3y = 0 có nghiệm tổng quát là:
Câu 3: Cặp số (-2;1) là nghiệm của phương trình nào dưới đây?
A.2x + 0y = -3 B.0x - 3y = -3
C.2x - 3y = 1 D.2x - y = 0
Câu 4: Hệ phương trình có nghiệm là:
A. (x = 1 ; y = -1) B. (x = -1 ; y = 1)
C. (x = 2 ; y = -1) D. (x = 1 ; y = 1)
Câu 5: Phương trình đường thẳng đi qua hai điểm M(-2;1) và N(2;0) là:
Câu 6: Cho hai đường thẳng (d1): m2x – y = m2 + 2m Và (d2): (m + 1)x – 2y = m - 1Biết hai đường thẳng cắt nhau tại A(3;4). Giá trị của m là:
A.m = 0 B. m = 2 C.m = 3 D.m = -1
Phần tự luận (7 điểm)
Bài 1. (3 điểm)
a)Tìm giá trị của a và b để đường thẳng ax + by = 4 đi qua hai điểm A(4;-3) và B(-6;7).
b) Cho hệ phương trình
Tìm m để hệ phương trình đã cho có nghiệm duy nhất.
Bài 2. (3 điểm) Một người đi xe máy từ A đến B gồm hai quãng đường AC và CB hết tổng thời gian là 4 giờ 20 phút. Biết quãng đường AC ngắn hơn quãng đường CB là 20km, vận tốc của người đi xe máy trên quãng đường AC là 30 km/giờ và đi trên quãng đường CB là 20km/giờ. Tìm độ dài quãng đường AB.
Bài 3. (1 điểm) Tìm nghiệm nguyên của phương trình 2x + 13y=156.
Hướng dẫn giải
Phần trắc nghiệm (3 điểm)
| 1.B | 2.A | 3.B | 4.D | 5.C | 6.B |
Phần tự luận (7 điểm)
Bài 1.
Hệ phương trình đã cho có nghiệm duy nhất khi và chỉ khi:
Bài 2.
Ta có: 4 giờ 20 phút= 13/3 giờ
Gọi độ dài quãng đường AC là x(km)
Gọi độ dài quãng đường CB là y(km)
Điều kiện x > 0 và y > 20
Lúc đó thời gian người đi xe máy đi trên quãng đường AC là x/30 (giờ)
Thời gian người đi xe máy đi trên quãng đường CB là y/20 (giờ)
Theo đề bài, thời gian cả thảy đi từ A đến B là 4 giờ 20 phút nên ta có phương trình:
Vì quãng đường AB ngắn hơn quãng đường BC là 20 km nên ta có phương trình: y – x = 20 (2)
Từ (1) và (2) ta có hệ phương trình:
Vậy quãng đường AC dài 40km, quãng đường CB dài 60km.
Bài 3.
Giả sử x;y là các số nguyên thỏa mãn phương trình 2x + 13y = 156
2x + 13y = 156 ⇒ 2x = 156 - 13y
Ta nhận thấy 13y và 156 đều chia hết cho 13.
Do đó 2x ⋮ 13
Đặt x = 13t (t ∈ Z) thay vào phương trình ta được:
2.13t + 13y = 156 ⇔ 26t + 13y = 156 ⇔ 2t + y = 12 ⇔ y = - 2t + 12
Vậy nghiệm nguyên của phương trình là (x = 13t; y = - 2t + 12) (với t ∈ Z)
Xem thêm các đề kiểm tra, Đề thi Toán 9 chọn lọc, có đáp án hay khác:
Top 6 Đề kiểm tra 15 phút Toán 9 Chương 3 Hình học có đáp án
Top 2 Đề kiểm tra 15 phút Toán 9 Chương 4 Hình học có đáp án
Loạt bài Đề thi Toán lớp 9 năm 2025 học kì 1 và học kì 2 được biên soạn bám sát cấu trúc ra đề thi mới Tự luận và Trắc nghiệm giúp bạn giành được điểm cao trong các bài thi Toán lớp 9.
Nếu thấy hay, hãy động viên và chia sẻ nhé! Các bình luận không phù hợp với nội quy bình luận trang web sẽ bị cấm bình luận vĩnh viễn.
- Giáo án lớp 9 (các môn học)
- Giáo án điện tử lớp 9 (các môn học)
- Giáo án Toán 9
- Giáo án Ngữ văn 9
- Giáo án Tiếng Anh 9
- Giáo án Khoa học tự nhiên 9
- Giáo án Vật Lí 9
- Giáo án Hóa học 9
- Giáo án Sinh học 9
- Giáo án Địa Lí 9
- Giáo án Lịch Sử 9
- Giáo án GDCD 9
- Giáo án Tin học 9
- Giáo án Công nghệ 9
- Đề thi lớp 9 (các môn học)
- Đề thi Ngữ Văn 9 (có đáp án)
- Đề thi Toán 9 (có đáp án)
- Đề thi Tiếng Anh 9 mới (có đáp án)
- Đề thi Tiếng Anh 9 (có đáp án)
- Đề thi Khoa học tự nhiên 9 (có đáp án)
- Đề thi Lịch Sử và Địa Lí 9 (có đáp án)
- Đề thi GDCD 9 (có đáp án)
- Đề thi Tin học 9 (có đáp án)
- Đề thi Công nghệ 9 (có đáp án)
Giải bài tập SGK & SBT
Tài liệu giáo viên
Sách
Khóa học
Thi online
Hỏi đáp



