Bài tập cuối tuần Toán lớp 5 Học kì 1 (sách mới, có đáp án)
Bài tập cuối tuần Toán lớp 5 Học kì 1 sách mới Kết nối tri thức, Chân trời sáng tạo, Cánh diều như là phiếu đề kiểm tra cuối tuần Toán lớp 5 Học kì 1 giúp Giáo viên, phụ huynh có thêm tài liệu giúp các con học tốt môn Toán 5.
Bài tập cuối tuần Toán lớp 5 Học kì 1 (sách mới, có đáp án)
Xem thử Bài tập cuối tuần Toán lớp 5 KNTT Xem thử Bài tập cuối tuần Tiếng Việt lớp 5 KNTT Xem thử Bài tập cuối tuần Toán lớp 5 CTST Xem thử Bài tập cuối tuần Tiếng Việt lớp 5 CTST Xem thử Bài tập cuối tuần Toán lớp 5 CD Xem thử Bài tập cuối tuần Tiếng Việt lớp 5 CD
Chỉ từ 300k mua trọn bộ Bài tập cuối tuần Toán lớp 5 cả năm (mỗi bộ sách) bản word đẹp, dễ dàng chỉnh sửa:
- B1: gửi phí vào tk:
1133836868- CT TNHH DAU TU VA DV GD VIETJACK - Ngân hàng MB (QR) - B2: Nhắn tin tới Zalo VietJack Official - nhấn vào đây để thông báo và nhận giáo án
Lưu trữ: Bài tập cuối tuần Toán lớp 5 Học kì 1 (sách cũ)
Tuần 1
- Bài tập cuối tuần Toán lớp 5 Tuần 1 có đáp án (Đề 1)
- Bài tập cuối tuần Toán lớp 5 Tuần 1 có đáp án (Đề 2)
- Bài tập cuối tuần Toán lớp 5 Tuần 1 có đáp án (Đề 3)
Tuần 2
- Bài tập cuối tuần Toán lớp 5 Tuần 2 có đáp án (Đề 1)
- Bài tập cuối tuần Toán lớp 5 Tuần 2 có đáp án (Đề 2)
- Bài tập cuối tuần Toán lớp 5 Tuần 2 có đáp án (Đề 3)
Tuần 3
- Bài tập cuối tuần Toán lớp 5 Tuần 3 có đáp án (Đề 1)
- Bài tập cuối tuần Toán lớp 5 Tuần 3 có đáp án (Đề 2)
- Bài tập cuối tuần Toán lớp 5 Tuần 3 có đáp án (Đề 3)
Tuần 4
- Bài tập cuối tuần Toán lớp 5 Tuần 4 có đáp án (Đề 1)
- Bài tập cuối tuần Toán lớp 5 Tuần 4 có đáp án (Đề 2)
- Bài tập cuối tuần Toán lớp 5 Tuần 4 có đáp án (Đề 3)
Tuần 5
- Bài tập cuối tuần Toán lớp 5 Tuần 5 có đáp án (Đề 1)
- Bài tập cuối tuần Toán lớp 5 Tuần 5 có đáp án (Đề 2)
- Bài tập cuối tuần Toán lớp 5 Tuần 5 có đáp án (Đề 3)
Tuần 6
- Bài tập cuối tuần Toán lớp 5 Tuần 6 có đáp án (Đề 1)
- Bài tập cuối tuần Toán lớp 5 Tuần 6 có đáp án (Đề 2)
- Bài tập cuối tuần Toán lớp 5 Tuần 6 có đáp án (Đề 3)
Tuần 7
- Bài tập cuối tuần Toán lớp 5 Tuần 7 có đáp án (Đề 1)
- Bài tập cuối tuần Toán lớp 5 Tuần 7 có đáp án (Đề 2)
- Bài tập cuối tuần Toán lớp 5 Tuần 7 có đáp án (Đề 3)
Tuần 8
- Bài tập cuối tuần Toán lớp 5 Tuần 8 có đáp án (Đề 1)
- Bài tập cuối tuần Toán lớp 5 Tuần 8 có đáp án (Đề 2)
- Bài tập cuối tuần Toán lớp 5 Tuần 8 có đáp án (Đề 3)
Tuần 9
- Bài tập cuối tuần Toán lớp 5 Tuần 9 có đáp án (Đề 1)
- Bài tập cuối tuần Toán lớp 5 Tuần 9 có đáp án (Đề 2)
- Bài tập cuối tuần Toán lớp 5 Tuần 9 có đáp án (Đề 3)
Tuần 10
- Bài tập cuối tuần Toán lớp 5 Tuần 10 có đáp án (Đề 1)
- Bài tập cuối tuần Toán lớp 5 Tuần 10 có đáp án (Đề 2)
- Bài tập cuối tuần Toán lớp 5 Tuần 10 có đáp án (Đề 3)
Tuần 11
- Bài tập cuối tuần Toán lớp 5 Tuần 11 có đáp án (Đề 1)
- Bài tập cuối tuần Toán lớp 5 Tuần 11 có đáp án (Đề 2)
- Bài tập cuối tuần Toán lớp 5 Tuần 11 có đáp án (Đề 3)
Tuần 12
- Bài tập cuối tuần Toán lớp 5 Tuần 12 có đáp án (Đề 1)
- Bài tập cuối tuần Toán lớp 5 Tuần 12 có đáp án (Đề 2)
- Bài tập cuối tuần Toán lớp 5 Tuần 12 có đáp án (Đề 3)
Tuần 13
- Bài tập cuối tuần Toán lớp 5 Tuần 13 có đáp án (Đề 1)
- Bài tập cuối tuần Toán lớp 5 Tuần 13 có đáp án (Đề 2)
- Bài tập cuối tuần Toán lớp 5 Tuần 13 có đáp án (Đề 3)
- Bài tập cuối tuần Toán lớp 5 Tuần 13 có đáp án (Đề 4)
Tuần 14
- Bài tập cuối tuần Toán lớp 5 Tuần 14 có đáp án (Đề 1)
- Bài tập cuối tuần Toán lớp 5 Tuần 14 có đáp án (Đề 2)
- Bài tập cuối tuần Toán lớp 5 Tuần 14 có đáp án (Đề 3)
Tuần 15
- Bài tập cuối tuần Toán lớp 5 Tuần 15 có đáp án (Đề 1)
- Bài tập cuối tuần Toán lớp 5 Tuần 15 có đáp án (Đề 2)
- Bài tập cuối tuần Toán lớp 5 Tuần 15 có đáp án (Đề 3)
Tuần 16
- Bài tập cuối tuần Toán lớp 5 Tuần 16 có đáp án (Đề 1)
- Bài tập cuối tuần Toán lớp 5 Tuần 16 có đáp án (Đề 2)
- Bài tập cuối tuần Toán lớp 5 Tuần 16 có đáp án (Đề 3)
Tuần 17
- Bài tập cuối tuần Toán lớp 5 Tuần 17 có đáp án (Đề 1)
- Bài tập cuối tuần Toán lớp 5 Tuần 17 có đáp án (Đề 2)
- Bài tập cuối tuần Toán lớp 5 Tuần 17 có đáp án (Đề 3)
Tuần 18
- Bài tập cuối tuần Toán lớp 5 Tuần 18 có đáp án (Đề 1)
- Bài tập cuối tuần Toán lớp 5 Tuần 18 có đáp án (Đề 2)
- Bài tập cuối tuần Toán lớp 5 Tuần 18 có đáp án (Đề 3)
Bài tập cuối tuần Toán lớp 5 - Tuần 1
Thời gian: 45 phút
Phần I. Trắc nghiệm (6 điểm)
Hãy khoanh tròn vào chữ cái đặt trước câu trả lời đúng :
Câu 1: (1 điểm) Phân số bằng là?
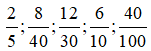
Câu 2: (1 điểm) Trong các phân số các phân số bằng nhau là?
Câu 3: (1 điểm) Mọi số tự nhiên có thể viết thành phân số có mẫu số là :
A. 0
B. 1
C. 2
D. 3
Câu 4: (1 điểm) Phân số có tử số lớn hơn mẫu số là phân số :
A. Bé hơn 1
B. Bằng 1
C. Lớn hơn 1
D. Bằng 0
Câu 5: (1 điểm) Dấu thích hợp viết vào chỗ chấm được xếp theo thứ tự từ lớn đến bé là:
A. <
B. >
C. =
Câu 6: (1 điểm) Các phân số được xếp theo thứ tự từ lớn đến bé là:
Phần II. Tự luận (4 điểm)
Câu 1: (2 điểm) a. So sánh các phân số
.......................................................................................................................................................
.......................................................................................................................................................
.......................................................................................................................................................
.......................................................................................................................................................
.......................................................................................................................................................
.......................................................................................................................................................
.......................................................................................................................................................
.......................................................................................................................................................
.......................................................................................................................................................
.......................................................................................................................................................
b.Nêu cách so sánh hai phân số có cùng tử số
.......................................................................................................................................................
.......................................................................................................................................................
.......................................................................................................................................................
.......................................................................................................................................................
.......................................................................................................................................................
.......................................................................................................................................................
.......................................................................................................................................................
Câu 2: (2 điểm) Hai vòi nước cùng chảy vào một bể nước . Vòi thứ nhất một giờ chảy được bề , vòi thứ hai một giờ chảy được
bể . Hỏi vòi nào chảy nhanh hơn ?
.......................................................................................................................................................
.......................................................................................................................................................
.......................................................................................................................................................
.......................................................................................................................................................
.......................................................................................................................................................
.......................................................................................................................................................
.......................................................................................................................................................
.......................................................................................................................................................
.......................................................................................................................................................
.......................................................................................................................................................
.......................................................................................................................................................
.......................................................................................................................................................
.......................................................................................................................................................
.......................................................................................................................................................
Bài tập cuối tuần Toán lớp 5 - Tuần 2
Thời gian: 45 phút
Phần I. Trắc nghiệm (6 điểm)
Hãy khoanh tròn vào chữ cái đặt trước câu trả lời đúng :
Câu 1: (1 điểm) Hỗn số đọc là:
A. Hai hai mốt phần hai ba
B. Hai hai mươi mốt phần hai mươiba
C. Hai và hai mươi mốt phần hai ba
D. Hai và hai mươi mốt phần hai mươi ba
Câu 2: (1 điểm) Phân số là phân số :
A.Bé hơn 1
B. Lớn hơn 1
C. Bằng 1
Câu 3: (1 điểm) Các giá trị số tự nhiên khác 0 thích hợp của x để có:
A. 1 ;2
B. 0 ; 1; 2
C. 1; 2; 3
D. 0;1 ; 2; 3
Câu 4: (1 điểm) được tính như sau:
Câu 5: (1 điểm) Một lớp học có 40 học sinh trong đó là học sinh giỏi toán
số học sinh là học sinh giỏi tiếng việt . Số học sinh giỏi toán của lớp học đó là :
A. 12 học sinh
B. 8 học sinh
C. 20 học sinh
C. 10 học sinh
Câu 6: (1 điểm) Phân số được viết dưới dạng phân số thập phân là :
Phần II. Tự luận (4 điểm)
Câu 1: (2 điểm) Tính:
.......................................................................................................................................................
.......................................................................................................................................................
.......................................................................................................................................................
.......................................................................................................................................................
Câu 2: (2 điểm)Một tấm bìa hình chữ nhật có chiều dài m chiều rộng
m . Chia tấm bìa đó thành hai phần bằng nhau . Tính diện tích mỗi phần ?
.......................................................................................................................................................
.......................................................................................................................................................
.......................................................................................................................................................
.......................................................................................................................................................
.......................................................................................................................................................
.......................................................................................................................................................
.......................................................................................................................................................
.......................................................................................................................................................
.......................................................................................................................................................
.......................................................................................................................................................
.......................................................................................................................................................
.......................................................................................................................................................
Bài tập cuối tuần Toán lớp 5 - Tuần 3
Thời gian: 45 phút
Phần I. Trắc nghiệm (6 điểm)
Hãy khoanh tròn vào chữ cái đặt trước câu trả lời đúng :
Câu 1: (1 điểm) Dấu thích hợp điền vào chỗ chấm để so sánh là :
A <
B. >
C. =
Câu 2: (1 điểm) Hỗn số 5 chuyển thành phân số là :
Câu 3: (1 điểm) Phân số thích hợp để viết vào chỗ chấm 7dm =....m là
Câu 4: (1 điểm) Tổng số tuổi hai mẹ con là 48 tuổi .Tuổi mẹ gấp 3 lần tuổi con . Tuổi mẹ là :
A. 24 tuổi
B. 30 tuổi
C. 36 tuổi
D. 38 tuổi
Câu 5: (1 điểm) Kết quả của phép chia là:
Câu 6: (1 điểm) số học sinh của một trường Tiểu học là 420 học sinh . Hỏi Trường Tiểu học đó có bao nhiêu học sinh.
A. 588 học sinh
B. 300 học sinh
C. 175 học sinh
D. 245 học sinh
Phần II. Tự luận (4 điểm)
Câu 1: (2 điểm) Tính
Câu 2: (2 điểm) Mẹ hơn con 26 tuổi. Trước đây 2 năm tuổi mẹ gấp 3 lần tuổi con. Tính tuổi mỗi người hiện nay?
.......................................................................................................................................................
.......................................................................................................................................................
.......................................................................................................................................................
.......................................................................................................................................................
.......................................................................................................................................................
.......................................................................................................................................................
.......................................................................................................................................................
.......................................................................................................................................................
.......................................................................................................................................................
.......................................................................................................................................................
.......................................................................................................................................................
.......................................................................................................................................................
.......................................................................................................................................................
.......................................................................................................................................................
.......................................................................................................................................................
Xem thêm bộ Đề thi Toán lớp 5 có đáp án hay khác:
- Top 20 Đề kiểm tra Toán 5 Giữa kì 1
- Top 20 Đề kiểm tra Toán 5 Cuối kì 1
- Top 52 Bài tập cuối tuần Toán lớp 5 Học kì 2 có đáp án
- Top 20 Đề kiểm tra Toán 5 Giữa kì 2
- Top 20 Đề kiểm tra Toán 5 Cuối kì 2
Xem thêm đề thi lớp 5 các môn học có đáp án hay khác:
Tài liệu giáo án lớp 5 các môn học chuẩn khác:
Tủ sách VIETJACK shopee lớp 1-5 (2025):
Đã có app VietJack trên điện thoại, giải bài tập SGK, SBT Soạn văn, Văn mẫu, Thi online, Bài giảng....miễn phí. Tải ngay ứng dụng trên Android và iOS.
Theo dõi chúng tôi miễn phí trên mạng xã hội facebook và youtube:Loạt bài Đề thi Toán lớp 5 có đáp án của chúng tôi được biên soạn bám sát nội dung chương trình sgk Toán 5 sách mới.
Nếu thấy hay, hãy động viên và chia sẻ nhé! Các bình luận không phù hợp với nội quy bình luận trang web sẽ bị cấm bình luận vĩnh viễn.
- Giáo án lớp 5 (các môn học)
- Giáo án điện tử lớp 5 (các môn học)
- Giáo án Toán lớp 5
- Giáo án Tiếng Việt lớp 5
- Giáo án Khoa học lớp 5
- Giáo án Đạo đức lớp 5
- Giáo án Lịch Sử và Địa Lí lớp 5
- Giáo án Tin học lớp 5
- Giáo án Công nghệ lớp 5
- Đề thi lớp 5 (các môn học)
- Đề thi Tiếng Việt lớp 5 (có đáp án)
- Bài tập cuối tuần Tiếng Việt lớp 5(có đáp án)
- Đề thi Toán lớp 5 (có đáp án)
- Bài tập cuối tuần Toán lớp 5 (có đáp án)
- Ôn hè Toán lớp 5 lên lớp 6
- Đề thi Tiếng Anh lớp 5 (có đáp án)
- Đề thi Khoa học lớp 5 (có đáp án)
- Đề thi Lịch Sử & Địa Lí lớp 5 (có đáp án)
- Đề thi Đạo Đức lớp 5 (có đáp án)
- Đề thi Tin học lớp 5 (có đáp án)
- Đề thi Công nghệ lớp 5 (có đáp án)


Giải bài tập SGK & SBT
Tài liệu giáo viên
Sách
Khóa học
Thi online
Hỏi đáp

