Đề thi học sinh giỏi Hóa học 12 Cụm các trường THPT (Hải Phòng) năm 2025-2026
Bài viết cập nhật đề thi HSG Hóa học 12 Cụm các trường THPT, Hải Phòng năm 2025-2026 giúp học sinh lớp 12 ôn tập và đạt kết quả cao trong bài thi học sinh giỏi Hóa 12.
Đề thi học sinh giỏi Hóa học 12 Cụm các trường THPT (Hải Phòng) năm 2025-2026
Chỉ từ 150k mua trọn bộ Đề thi học sinh giỏi Hóa 12 theo cấu trúc mới bản word có lời giải chi tiết:
- B1: gửi phí vào tk:
1133836868- CT TNHH DAU TU VA DV GD VIETJACK - Ngân hàng MB (QR) - B2: Nhắn tin tới Zalo VietJack Official - nhấn vào đây để thông báo và nhận đề thi
|
SỞ GD & ĐT HẢI PHÒNG CỤM CÁC TRƯỜNG THPT |
KỲ THI CHỌN HỌC SINH GIỎI 12 THPT CẤP THÀNH PHỐ - NĂM HỌC 2025 - 2026 Môn: HÓA HỌC BẢNG B |
|
|
NGÀY THI 25-10-2025 (Đề thi có 10 trang) |
Thời gian: 90 phút (Không kể thời gian phát đề) |
|
Họ và tên thí sinh:......................................... SBD:.................... |
Mã đề thi 102 |
|
PHẦN I. Câu trắc nghiệm nhiều phương án lựa chọn. Thí sinh trả lời từ câu 1 đến câu 20. Mỗi câu hỏi thí sinh chỉ chọn một phương án.
Câu 1. Tripsin là enzyme đặc hiệu xúc tác cho phản ứng thủy phân liên kết peptide tạo bởi nhóm carboxyl của các amino acid có mạch bên R mang tính base. Khi thủy phân peptide Ala-Gly-Lys-Val-Glu, liên kết peptide nào bị thủy phân khi có mặt tripsin?
A. Gly-Lys.
B. Val-Glu.
C. Lys-Val.
D. Ala-Gly.
Câu 2. Quá trình hình thành phân tử X2 có sự xen phủ orbital như sau:
X2 là chất nào sau đây?
A. N2.
B. Br2.
C. O2
D. H2.
Câu 3. Nhiều đồ dùng làm từ mây, tre trước khi đem bán hoặc sử dụng, nhà sản xuất thường xử lí bằng cách sấy bằng cách đốt một chất rắn vả ủ trong môi trường kín. Giải thích nào phù hợp nhất với hoạt động này?
A. chất rắn là sulfur, quá trình đốt tạo ra khí SO2 và khí SO2 diệt các vi khuẩn có thể gây nấm mốc với các đồ dùng đó.
B. chất rắn là carbon, quá trình đốt tạo ra khí CO2 và khí CO2 ngăn không cho vi khuẩn phát triển trên các đồ dùng đó.
C. chất rắn là carbon, quá trình đốt toả nhiệt và nhiệt đó giúp loại bỏ hơi ẩm có trong các đồ dùng đó.
D. chất rắn là sulfur, quá trình đốt toả nhiệt và nhiệt đó giúp loại bỏ hơi ẩm có trong các đồ dùng đó.
Câu 4. Sơ đồ điều chế glycerol từ propene được biểu diễn như sau:
Cho các nhận định sau:
(a) Sản phẩn trong phản ứng (1) là 1-chloropropene.
(b) Phản ứng (1), (3) là phản ứng thế; phản ứng (2) là phản ứng cộng.
(c) Sản phẩm phụ của phản ứng (2) là 2,3-dichloropropan-1-ol.
(d) Trong chuỗi phản ứng trên, cứ 1 mol glycerol tạo thành tương ứng với 2 mol Cl2 phản ứng.
Số nhận định đúng là
A. 3.
B. 2.
C. 1.
D. 4.
Câu 5. Giản đồ năng lượng - tiến trình phản ứng của của phản ứng xảy ra khi không có xúc tác và khi có xúc tác được biểu diễn như hình bên:
Trong đó:
Ea,xt là năng lượng hoạt hoá của phản ứng khi có mặt chất xúc tác.
Ea,kxt là năng lượng hoạt hoá của phản ứng khi không có mặt chất xúc tác.
Kết luận nào sau đây không đúng?
A. Một chất nếu xúc tác cho phản ứng thuận thì cũng xúc tác cho phản ứng nghịch.
B. Phản ứng có xúc tác và phản ứng khi không có xúc tác có đường đi khác nhau nên sản phẩm phản ứng khác nhau.
C. Phản ứng khi có mặt chất xúc tác và phản ứng khi không có mặt xúc tác đều có cùng biến thiên enthalpy.
D. Do năng lượng hoạt hoá của phản ứng khi có xúc tác nhỏ hơn năng lượng hoạt hoá của phản ứng khi không có xúc tác nên tốc độ phản ứng khi có xúc tác nhanh hơn tốc độ của phản ứng khi không có xúc tác.
Câu 6. Nhỏ từ từ từng giọt dung dịch NaOH vào cốc chứa chứa dung dịch HCl và có cắm máy theo dõi pH của dung dịch trong cốc. Sự thay đổi pH của dung dịch được biểu diễn qua đồ thị sau:
Thời điểm được coi như kết thúc phản ứng là
A. (III).
B. (II).
C. (I).
D. (IV).
Câu 7. Để bảo vệ môi trường sống và tiết kiệm nguồn nguyên liệu thiên nhiên đang ngày càng cạn kiệt chúng ta nên sử dụng nhiên liệu an toàn, hiệu quả và thân thiện với môi trường. Cho các biện pháp sau:
(a) Tăng cường sử dụng những nhiên liệu có thể tái tạo và ít ảnh hưởng đến môi trường và sức khỏe con người, như xăng sinh học (E5, E10,…).
(b) Tích cực sử dụng nhiên liệu rẻ tiền, dễ mua ở mọi nơi.
(c) Người tiêu dùng cần phải sử dụng xăng, dầu tương thích với động cơ.
(d) Điều chỉnh lượng nhiên liệu để duy trì sự cháy ở mức độ cần thiết, phù hợp với nhu cầu sử dụng.
(e) Tuân thủ nghiêm ngặt các quy định về phòng chống cháy nổ.
Biện pháp sử dụng nhiên liệu an toàn, tiết kiệm, thân thiện với môi trường là
A. (a), (c), (d), (e).
B. (b), (d), (e).
C. (a), (b), (c), (d).
D. (a), (c), (d).
Câu 8. Nhận định nào sau đây không đúng khi so sánh peptide với protein?
A. Peptide thường có khối lượng mol phân tử thấp hơn protein.
B. Protein thường chứa nhiều chuỗi polypeptide.
C. Peptide không có cấu trúc phân tử phức tạp như protein.
D. Peptide và protein đều không thể thực hiện các chức năng sinh học.
Câu 9. Polymer X được dùng để sản xuất một loại chất dẻo an toàn thực phẩm. Chất dẻo này được sử dụng để chế tạo chai lọ đựng nước, bao bì đựng thực phẩm. Cho cấu tạo của một đoạn mạch trong phân tử polymer X:
Tên của X là
A. polypropane.
B. polyisopentane.
C. polypropylene.
D. poly(2,3-dimethylbutane).
Câu 10. Sản xuất đường kính từ cây mía qua một số giai đoạn chính thể hiện ở sơ đồ dưới đây:
Cho các nhận định sau:
(a) Phương pháp được sử dụng để tinh chế đường từ cây mía là chiết lỏng-rắn và kết tinh.
(b) Có calcium gluconate trong dung dịch đường thu được sau bước (2).
(c) Quá trình cô đặc ở giai đoạn (5) được thực hiện bằng cách cô cạn dung môi ở áp suất thường để thu được đường kết tinh.
(d) Từ 260 L nước mía có nồng độ đường 7,5% (có khối lượng riêng 1,103 gam/mL) chế biến được 15,36 kg đường kết tinh (chứa 2% tạp chất). Biết chỉ 70% lượng đường thu được ở dạng kết tinh.
Số nhận định đúng là
A. 4.
B. 2.
C. 1.
D. 3.
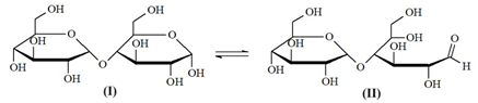
Câu 11. Maltose là thành phần chính của đường mạch nha. Trong dung dịch nước, maltose tồn tại chủ yếu ở hai dạng cấu tạo (I) và (II). Các dạng này tồn tại trong cân bằng (*) sau:
Maltose thủy phân trong môi trường acid hoặc enzyme maltase tạo thành glucose.
Cho các nhận định sau:
(a) Dạng (I) có nhiều liên kết sigma hơn dạng (II).
(b) Liên kết giữa hai đơn vị monosaccharide trong phân tử maltose là liên kết β-1,4-glycoside.
(c) Enzyme maltase xúc tác đặc hiệu cho phản ứng thủy phân maltose.
(d) Khi thêm thuốc thử Tollens vào dung dịch maltose, cân bằng (*) chuyển dịch về phía thuận.
Số nhận định đúng là
A. 2.
B. 3.
C. 1.
D. 4.
Câu 12. Khi phân tích nguyên tố của một tripeptide (Y), thu được phần trăm khối lượng các nguyên tố như sau: %C = 41,38%; %H = 6,40%; %N = 20,69% và còn lại là %O. Phổ khối lượng cho biết phân tử khối của peptide bằng 203. Số nhóm methylene “CH2” trong tripeptide (Y) là bao nhiêu
A. 1.
B. 4.
C. 2.
D. 3
Câu 13. Trong phản ứng acetone với HCN xảy ra theo phản ứng sau:
(CH3)2C=O + HCN → (CH3)2C(OH)CN (*)
Giai đoạn đầu tiên và quyết định tốc độ chung của phản ứng là
Phát biểu nào sau đây không đúng?
A. Khi cố định pH của dung dịch, phản ứng (*) có bậc hai.
B. Khi thay HCN bằng KCN, tốc độ phản ứng xảy ra nhanh hơn.
C. Phản ứng (*) thuộc loại phản ứng cộng nucleophile.
D. Khi thay acetone bằng acetaldehyde, tốc độ phản ứng không đổi.
Câu 14. Khi làm bánh rán, một mẹo nhỏ mà một số người làm bánh thường làm là cho thêm vào khoảng 10 gam một chất bột màu trắng vào 1,0 kg bột gạo làm bánh, sau đó nhào trộn với nước và giúp cho chất bột nở phồng đều và đẹp hơn trước khi đem rán. Giải thích nào phù hợp với cách làm này?
A. Chất bột là hỗn hợp gồm muối ammonium (NH4+) và muối có tính base, khi trộn với nước phản ứng với nhau, giải phóng khí ammonia làm cho bánh phồng lên.
B. Chất bột là hỗn hợp gồm muối bicarbonate (HCO3-) và muối có tính acid, khi trộn với nước phản ứng với nhau toả nhiệt mạnh làm cho bánh phồng lên.
C. Chất bột là hỗn hợp gồm muối ammonium (NH4+) và muối có tính base, khi trộn với nước phản ứng với nhau toả nhiệt mạnh làm cho bánh phồng lên.
D. Chất bột là hỗn hợp gồm muối bicarbonate (HCO3-) và muối có tính acid, khi trộn với nước phản ứng với nhau, giải phóng khí carbonic làm cho bánh phồng lên.
Câu 15. Để loại bỏ mùi tanh trong hải sản người ta hấp hải sản với bia. Lí giải nào sau đây phù hợp với ứng dụng này?
A. chất có trong bia tạo mùi triệt tiêu được mùi của chất gây tanh trong hải sản và hấp thụ vào hải sản khi chín.
B. chất có trong bia và hơi nước khi bay hơi sẽ lôi cuốn chất gây tanh ra khỏi hải sản chuyển chất đó thành hơi.
C. chất có trong bia phản ứng với chất gây tanh trong hải sản thành các chất không mùi và bay cùng hơi nước khi hấp.
D. chất có trong bia xúc tác cho các phản ứng phân hủy chất gây tanh trong hải sản trong quá trình hấp.
Câu 16. Một nhóm học sinh tạo ra nước giặt từ quả bồ hòn theo quy trình sau:
- Cho 10 quả bồ hòn và 1 lít nước vào nồi rồi đun sôi với lửa nhỏ khoảng 60 phút.
- Ủ nóng nồi nước qua đêm.
- Vò nát quả bồ hòn, rồi lọc bỏ phần bã, lấy phần nước sẽ thu được nước giặt.
Trong thành phần của nước giặt từ quả bồ hòn có chất saponin, khi tiếp xúc với nước tạo ra lớp bọt nhẹ nên có khả năng giặt rửa. Công thức cấu tạo của saponin như hình bên.
Cho các nhận định sau:
(a) Trong phân tử saponin có chứa một đơn vị β-glucose.
(b) Quá trình tách chất hữu cơ từ quả bồ hòn ở trên được thực hiện theo phương pháp chiết lỏng – lỏng.
(c) Trong phân tử saponin, A là phần kị nước, B là phần ưa nước.
(d) Nước giặt từ quả bồ hòn ở trên bền vững, khó bị phân hủy khi thải ra ngoài môi trường.
Số nhận định đúng là
A. 2.
B. 4.
C. 3.
D. 1.
Câu 17. Methadone là một loại thuốc dùng trong cai nghiện ma túy, nó thực chất cũng là một loại chất gây nghiện nhưng “nhẹ” hơn các loại ma túy thông thường và dễ kiểm soát hơn. Bên cạnh đó, sản phẩm của methadone với hydrochloric acid được sử dụng là thuốc điều trị bệnh ho.
Cho các nhận định sau:
(a) Phân tử methadone chứa nhóm chức amine.
(b) Số liên kết π trong phân tử methadone là 6.
(c) Dạng muối của methadone với hydrochloric acid có công thức phân tử là C21H28ONCl.
(d) Khả năng hoà tan của methadone trong acid lớn hơn trong nước.
Số nhận định đúng là
A. 1.
B. 3.
C. 2.
D. 4.
Câu 18. Ở nơi tồn ứ rác thải, chất nào sau đây được các công nhân vệ sinh môi trường dùng để xử lí tạm thời nhằm sát trùng, diệt khuẩn, phòng chống dịch bệnh?
A. Vôi bột.
B. Cát vàng.
C. Than đá.
D. Đá vôi.
Câu 19. Hợp chất hữu cơ X mạch hở có công thức phân tử C4Hx. X tác dụng với dung dịch AgNO3/NH3 tạo kết tủa màu vàng. Số công thức cấu tạo phù hợp với X là
A. 3
B. 4.
C. 2.
D. 5.
Câu 20. Một nhóm học sinh được giao nhiệm vụ nhận biết một chất hữu cơ dạng lỏng không màu (chất X) đựng trong bình mờ nhãn. Biết rằng chất lỏng đó thuộc một trong số các chất sau: acetic acid, ethanol, propylamine, aniline, benzene, styrene. Nhóm học sinh đó đề xuất sơ đồ nhận biết như sau:
Cho các nhận định sau:
(a) Sau giai đoạn (1) nếu chất lỏng tách thành hai lớp thì X là benzene hoặc styrene hoặc aniline.
(b) Sau giai đoạn (1) nếu thu được hỗn hợp đồng nhất thì X là dẫn xuất hydrocarbon.
(c) Sau giai đoạn (2a), nếu quỳ tím chuyển sang màu xanh thì X là aniline.
(d) Sau giai đoạn (2b), nếu dung dịch bromine mất màu và không có kết tủa trắng thì X là styrene.
Số nhận định đúng là
A. 4.
B. 1.
C. 2.
D. 3.
PHẦN II. Câu trắc nghiệm đúng sai. Thí sinh trả lời từ câu 1 đến câu 5. Trong mỗi ý a), b), c), d) ở mỗi câu, thí sinh chọn đúng hoặc sai.
Câu 1. Một nghiên cứu đã được thực hiện nhằm đánh giá ảnh hưởng của nồng độ enzyme viscozyme L đến quá trình thủy phân lõi ngô – một loại phế phẩm nông nghiệp giàu cellulose. Quá trình thủy phân được tiến hành với khối lượng lõi ngô cố định (đã qua xử lý sơ bộ), trong điều kiện nhiệt độ 50°C và pH = 4,8. Các nồng độ enzyme được khảo sát trong khoảng từ 1% đến 9% được pha trong dung dịch đệm citrate/acetate 0,1 M. Sau thời gian ủ 24 giờ, hàm lượng đường khử tạo thành được xác định bằng phương pháp hóa học hiện đại. Biết rằng: Nồng độ enzyme tối ưu là nồng độ tại đó enzyme hoạt động hiệu quả nhất trong phản ứng sinh hóa, đạt hiệu suất phản ứng cao mà không gây lãng phí enzyme.
Kết quả thí nghiệm được thể hiện như sau:
a) Nồng độ enzyme tối ưu trong thí nghiệm này là 5%.
b) Quá trình thủy phân lõi ngô trong nghiên cứu này được tiến hành trong môi trường trung tính.
c) Theo số liệu thu được, nồng độ enzyme từ 3% đến 5% là vùng hoạt động hiệu quả nhất của enzyme.
d) Từ kết quả thí nghiệm, kết luận rằng khi nồng độ enzyme tăng thì tốc độ phản ứng thủy phân giảm.
Câu 2. HDPE thường được điều chế bằng cách trùng hợp ethylene dưới áp suất thấp và nhiệt độ vừa phải, sử dụng xúc tác Ziegler-Natta để tạo ra mạch polymer có cấu trúc đều đặn, không nhánh (hoặc rất ít nhánh). Ngược lại, LDPE thường được điều chế bằng phương pháp trùng hợp gốc tự do ethylene ở áp suất và nhiệt độ cao.
Tính chất vật lí của hai mẫu polyethylene được tổng hợp bằng hai cách khác nhau (thuộc loại HDPE hoặc LDPE có cấu trúc như hình bên) được cho trong bảng sau:
Tính chất |
Polyethylene X |
Polyethylene Y |
Khối lượng mol (g/mol) |
200 000 |
200 000 |
Khối lượng riêng (g/cm3) |
0,91 – 0,94 |
0,94 – 0,97 |
Nhiệt độ nóng chảy (°C) |
105 – 115°C |
120 – 130°C |
Độ cứng (Shore D) |
40 –50 |
60 –70 |
Cho biết trong 1 mol của mọi chất có 6,022.1023 hạt (nguyên tử hoặc phân tử).
a) Khi tổng hợp polyethylene Y có sử dụng chất xúc tác Ziegler-Nattan.
b) Mẫu polythene X có độ phân nhánh ít hơn mẫu polythene Y.
c) Hệ số polymer hóa của hai mẫu polyethylene X và Y đều gần bằng 7143.
d) Số mắt xích trung bình trong 1 cm3 mẫu Y sẽ nhỏ hơn 2.1022.
Câu 3. Phản ứng giữa Na2S2O3 với H2SO4 diễn ra theo phương trình hoá học sau:
Na2S2O3(aq)+H2SO4(aq) →Na2SO4(aq)+S(s)+SO2(g)+H2O
Một nhóm học sinh tiến hành nghiên cứu sự phụ thuộc của tốc độ phản ứng vào nồng độ của các chất phản ứng. Khi đó, nhóm cử một học sinh quan sát một vật từ bên này ống nghiệm qua bên kia ống nghiệm, khi lượng sulfur tạo ra đủ lớn thì sẽ không nhìn thấy vật qua ống nghiệm nữa, thời gian từ lúc bắt đầu nhỏ đến khi không quan sát được vật bên kia ống nghiệm là t. Nhóm học sinh đó tiến hành thí nghiệm như sau:
Bước 1: Cho 1 mL dung dịch Na2S2O3 0,10M cho vào 6 ống nghiệm sạch.
Bước 2: Cho dung dịch H2SO4 nồng độ C (mol/L) vào burette. Mở khoá để dung dịch H2SO4 nhỏ từ từ vào ống nghiệm và bắt đầu đo thời gian. Lặp lại bước 2 với 5 dung dịch H2SO4 còn lại thu được kết quả ở bảng sau:
C (mol/L) |
0,10 |
0,20 |
0,30 |
0,40 |
0,50 |
0,60 |
t (phút) |
5 |
4 |
3,5 |
3,0 |
2,5 |
2,0 |
a) Với nồng độ dung dịch H2SO4 là 0,10M thì tốc độ trung bình của phản ứng là 0,02 mol L-1 phút -1.
b) Giả thuyết khoa học phù hợp với thí nghiệm là “Do tốc độ phản ứng phụ thuộc vào nồng độ các chấtphản ứng nên khi nồng độ các chất phản ứng càng lớn thì tốc độ phản ứng càng lớn"
c) Trong quá trình thí nghiệm, ống nghiệm nên được lắc đều thì tốc độ phản ứng nhanh hơn và xác định
d) Trong các thí nghiệm trên, tốc độ nhỏ dung dịch H2SO4 từ burette sẽ ảnh hưởng đến thời gian đo.
Câu 4. Nitric acid là một hóa chất quan trọng được sản xuất trên quy mô nhiều triệu tấn và được sử dụng trong các ngành công nghiệp hóa chất, thực phẩm và phân bón, cùng nhiều ngành khác. Quá trình sản xuất diễn ra chủ yếu bằng quy trình OSTWALD từ ammonia và oxygen. Dung dịch được tạo ra bằng quy trình OSTWALD chứa khoảng 60% khối lượng nitric acid. Để thu được nitric acid đặc hơn nữa, người ta dùng sulfuric acid đậm đặc để hút ẩm. Sơ đồ đơn giản hóa của một hệ thống làm đặc HNO3 như sau:
Nitric acid 60% chảy vào cột thứ nhất với lưu lượng 𝑚̇1 = 1000 kg/h. Một dòng khối lượng 𝑚̇ 3 của nitric acid đậm đặc (99,8% theo khối lượng) được lấy khỏi cột và một dòng khối lượng 𝑚̇ 4 = 1900 kg/h của sulfuric acid 77% chảy vào cột khác. Trong cột này, sulfuric acid được cô đặc trở lại, nhưng một dòng khối lượng 𝑚̇ 5 của sulfuric acid loãng (0,01% theo khối lượng) được tạo ra dưới dạng nước thải.
a) Coi khối lượng riêng của nước thải bằng 1 g/mL và giả sử H2SO4 phân li hoàn toàn 2 nấc thì pH của nước thải là 2,69.
b) Trong giai đoạn đầu tiên ở quy trình OSTWALD, ammonia bị oxygen khử thành NO với xúc tác thích hợp.
c) Lưu lượng 𝑚̇ 3 của nitric acid 99,8% mà nhà máy sản xuất là 401,2 kg/h.
d) Lưu lượng 𝑚̇ 5 của nước thải là 407,2 kg/h.
Câu 5. Vaniline là một dẫn xuất họ phenol – một trong những thành phần dùng để tạo hương vani trong thực phẩm. Một nhóm học sinh được giao nhiệm vụ xác định độ tinh khiết của một loại vaniline thương mại bằng phương pháp chuẩn độ acid – base. Nhóm học sinh tiến hành nghiên cứu và thấy rằng: khi chuẩn độ dung dịch chứa đồng thời NaOH và muối của vaniline bằng chỉ thị thymolphthalein và methyl da cam thì khi dung dịch chuyển từ màu xanh sang màu vàng thì coi như NaOH đã hết và khi dung dịch chuyển từ màu vàng sang màu đỏ thì muối của vaniline phản ứng vừa hết. Nhóm học sinh đã tiến hành thí nghiệm như sau:
Bước 1: Cân 5,050 gam vaniline thương mại (dạng rắn) cho vào bình định mức 500 mL, hòa tan chất rắn bằng dung dịch NaOH 0,100 M và định mức bằng dung dịch NaOH đến vạch định mức được dung dịch X.
Bước 2: Lấy dung dịch HCl 0,200 M cho vào burette và 20 mL dung dịch X cho vào cốc. Thêm hỗn hợp chỉ thị methyl da cam và tiến hành chuẩn độ ở nhiệt độ 50 oC.
Bước 3: Nhỏ từ từ dung dịch HCl vào cốc đựng dung dịch X cho đến khi dung dịch chuyển từ màu xanh sang màu vàng (ghi lại thể tích là V1) và khi dung dịch chuyển từ màu vàng sang màu đỏ (ghi lại thể tích là V2). Lặp lại thí nghiệm thêm 2 lần nữa. Kết quả của 3 lần chuẩn độ như sau:
Thí nghiệm |
Lần 1 |
Lần 2 |
Lần 3 |
V1 (mL) |
3,45 |
3,35 |
3,40 |
V2 (mL) |
10,1 |
9,9 |
10,0 |
Trước khi tiến hành thí nghiệm, nhóm học sinh đưa ra giả thuyết rằng: “Dựa vào sự chênh lệch thể tích V2 với V1 có thể xác định được hàm lượng vaniline trong mẫu”.
Cho công thức cấu tạo của Vaniline là:
a) Tại thời điểm dung dịch chuyển sang đỏ, thành phần chất tan chủ yếu của dung dịch là NaCl và muối sodium của vaniline.
b) Biểu thức tính toán với hàm lượng vaniline trong thí nghiệm trên là
c) Hàm lượng vaniline xác định được dựa vào phép chuẩn độ khoảng 99,33%.
d) Giả thuyết của nhóm học sinh là chính xác.
PHẦN III: Câu trắc nghiệm yêu cầu trả lời ngắn. Thí sinh trả lời từ câu 1 đến câu 10.
Câu 1. Lượng nhiệt tỏa ra khi đốt cháy hoàn toàn 1 gam nhiên liệu (kí hiệu là Q, tính theo ) được sự dụng để đánh giá mức độ "giàu năng lượng" cùa nhiên liệu đó. Ở điều kiện chuẩn, giá trị Q của ethanol lỏng và một loại khí đốt G lần lượt là và . Cho biết: G chỉ chứa propane và butane với tỉ lệ mol tương ứng là 1: 2; nhiệt tạo thành chuẩn của các chất được cho trong bảng:
Chất |
||||||
-277,6 |
-105,0 |
-129,0 |
-393,5 |
-285,8 |
0 |
Đặt , giá trị của k bằng bao nhiêu? (Không làm tròn kết quả các phép tính trung gian, chỉ làm tròn kết quả cuối cùng đến hàng phần trăm).
Câu 2.
Trong công nghiệp, acetylene được sản xuất từ methane và oxygen theo sơ đồ sau:
Sau khi đi ra khỏi tháp ngưng tụ, thành phần của hỗn hợp khí còn lại là: 8,5 % C2H2, 25,5 % H2, 58,3 % CO, 3,7 % CO2 và 4,0 % CH4 (theo số mol). Trong quá trình hỗn hợp khí đưa vào tháp (I) thì CH4 chiếm a % theo số mol. Giá trị của a bằng bao nhiêu? (Làm tròn kết quả đến hàng phần mười).
Câu 3. Các bức tranh được tạo bởi chất màu (thường là khoáng vật vô cơ) và chất kết dính. Với sơn dầu, chất kết dính là các ester của glycerol có khả năng khô; số liên kết C=C trong dầu càng nhiều thì quá trình khô càng nhanh. Chỉ số iodine (số gam I₂ phản ứng với 100 g dầu) đặc trưng cho mức độ này:
(<115– không khô, 115–130 – khô không hoàn toàn, >130 – khô hoàn toàn)
Chỉ số iodine được xác định bằng phương pháp chuẩn độ: hòa tan mẫu dầu (1,500 mL, ρ = 0,92 g/mL) trong chloroform, thêm dư brom, rồi cho KI để giải phóng I2. Lượng I2 tạo thành được chuẩn độ bằng Na2S2O3 (24,81 g Na2S2O3·5H2O/500 mL). Thí nghiệm đối chứng được tiến hành tương tự nhưng không có dầu. Kết quả: mẫu cần 6,75 mL Na2S2O3, mẫu đối chứng cần 56,25 mL dung dịch thiosulfate. Để đơn giản, giả sử công thức của dầu có dạng R-CH=CH-R.
Phản ứng chuẩn độ iodine: I2 + 2 Na2S2O3 → Na2S4O6 + 2 NaI
Tính chỉ số iodine của dầu sử dụng trong thành phần của sơn (Kết quả làm tròn đến hàng phần mười).
Câu 4. Một người cân nặng 61,25 kg uống 100 gam rượu thì hàm lượng rượu (ethanol) trong máu là 2,103%. Sau khi uống rượu, người đó lái xe và gây tai nạn giao thông rồi bỏ chạy. Cảnh sát bắt được anh ta sau đó 1 giờ 45 phút. Mẫu thử của anh ta lúc đó có hàm lượng rượu trong máu là 0,88%. Biết có khoảng 1,51 gam rượu được bài tiết ra khỏi cơ thể trong vòng 1 giờ cho mỗi 10 kg khối lượng cơ thể. Lúc tài xế đó gây tai nạn thì hàm lượng rượu trong máu là bao nhiêu phần trăm?
Câu 5. Nhiều enzyme tham gia có chọn lọc với các liên kết peptide nhất định. Chẳng hạn trypsine là một enzyme tiêu hóa xúc tác quá trình thủy phân liên kết peptide ở phía carboxyl của các amino acid arginine (Arg) và lysine (Lys). Thủy phân peptide sau: Ala-Phe-Lys-Val-Met-Tyr-Gly-Arg-Ser-Trp-Leu-His bằng enzyme trypsine thu được tối đa bao nhiêu peptide có mạch ngắn hơn?
Câu 6. Sản xuất xà phòng từ mỡ lợn (chỉ chứa 3 loại ester có tỉ lệ số mol (C17H35COO)3C3H5: (C15H31COO)3C3H5: (C17H33COO)3C3H5) = 2 : 3: 5) Dưới đây là bảng giá nguyên liệu và các chi phí:
STT |
Nội dung |
Đơn giá |
1 |
Mỡ lợn |
30000/1kg |
2 |
Dung dịch NaOH 40% |
19000/1kg |
3 |
Phụ gia + Chất độn |
100000/1kg |
4 |
Nhân công, máy móc, chi phí khác |
3000/100 gam thành phẩm |
Giả sử hiệu suất phản ứng đạt 90% (đối với cả 3 loại triester) và khối lượng muối của acid béo trong xà phòng thành phẩm chiếm 70% về khối lượng, còn lại là chất phụ gia và chất độn. Giá tiền (làm tròn đến hàng đơn vị) của 1 bánh xà phòng có khối lượng 90 gam mà nhà máy trên sản xuất là bao nhiêu (đồng)?
Câu 7. Khi có nhóm thế ở vị trí para, aniline phản ứng với bromine theo hướng phức tạp hơn:
4-aminobenzenesulfonic acid (sulfanilic acid) phản ứng với 2 mol bromine ở 0˚C, và với 3 mol ở 20-25˚C theo sơ đồ sau:
|
Bromo hoá sulfanilic acid ở 0˚C: |
Bromo hoá sulfanilic acid ở 20-25˚C: |
Để xác định hàm lượng của sulfapyridine (hình dưới), một trong những kháng sinh sulfanilamide đầu tiên, người ta thêm một lượng dư potassium bromide, 5,0 mL dung dịch potassium bromate 1,00 M và acid vào dung dịch cần chuẩn trong bình dung tích 50,0 mL ở 22 oC. Đậy nút kín bình bằng van, 5 phút sau lấy 5,0 mL ra và xử lí với lượng dư KI, sau đó chuẩn độ bằng dung dịch thiosulfate 0,100 M. Xác định khối lượng ban đầu của sulfapyridine nếu thể tích dung dịch thiosulfate đã dùng là 12,0 mL (Kết quả được làm tròn đến hàng phần trăm). Biết rằng sulfapyridine bị bromo hoá tương tự sulfanilic acid, và phản ứng diễn ra tuân theo tỉ lệ phản ứng. Cho sơ đồ của một số phản ứng diễn ra trong quy trình:
KBrO3 + KBr + H2SO4 → Br2 + K2SO4 + H2O
I2 + Na2S2O3 → NaI + Na2S4O6
Cho công thức cấu tạo của Sulfapyridine:
Câu 8. Một mẫu NaOH kỹ thuật (đã hút ẩm và bị carbonate hóa). Để xác định phần trăm NaOH đã bị carbonate hóa, tiến hành chuẩn độ mẫu bằng dung dịch HCl chuẩn, dùng chất chỉ thị phù hợp để xác định chính xác điểm kết thúc phản ứng. Phenolphthalein có màu hồng khi pH >8 và không màu khi pH < 8; methyl orange có màu vàng khi pH > 4 và màu đỏ khi pH < 4.
Bước 1: Cân 5,0 gam mẫu cho vào bình định mức 250 mL, thêm khoảng 100 mL nước cất, lắc đều cho tan hết rồi thêm tiếp nước cất cho đến vạch định mức, đậy kín.
Bước 2: Dùng pipette hút 5 mL dung dịch ở bước 1 cho vào bình tam giác dung tích 200 mL. Thêm 20 mL nước cất và 3 giọt phenolphthalein. Dùng dung dịch chuẩn HCl 0,1 M chuẩn độ đến khi dung dịch mất màu hồng ( chuyển hết sang ) thì thể tích dung dịch HCl tiêu tốn là 18,7 mL. Thêm tiếp vào bình tam giác 2 giọt methyl orange 0,1% rồi tiếp tục chuẩn độ đến khi dung dịch ở bình erlen chuyển từ màu vàng sang màu đỏ ( chuyển hết sang CO2). Tổng thể tích dung dịch HCl tiêu tốn là 21,3 mL. Tính phần trăm lượng NaOH đã bị carbonate hóa. (Kết quả được làm tròn đến hàng phần mười).
Câu 9. Ester X no, mạch hở, đa chức có công thức phân tử CnH10On. Xà phòng hoá hoàn toàn 17,55 gam X bằng dung dịch NaOH vừa đủ thu được một muối của carboxylic acid Yvà m gam hỗn hợp Z gồm hai alcohol.
Cho các phát biểu sau
(1) Y có số nguyên tử C bằng số nguyên tử O.
(2) X có khả năng tham gia phản ứng tráng bạc.
(3) Khi đốt cháy Z thu được số mol CO2 gấp đôi số mol H2 sinh ra khi cho Z tác dụng với Na.
(4) Khi đốt cháy Y không thu được H2O.
(5) Giá trị của m là 9,54 gam.
Liệt kê số phát biểu đúng theo thứ tự giảm dần (ví dụ: 5432)
Câu 10. Tinh dầu trong vỏ quả bưởi là hợp chất tự nhiên có chứa nhiều thành phần hóa học khác nhau. Những thành phần này mang lại mùi thơm đặc trưng và các tác dụng dược lý của tinh dầu. Nhóm chất chính được tìm thấy trong tinh dầu vỏ bưởi là một số terpenes (các hydrocarbon có công thức chung là (C5H8)n, n ≥ 2). Một nhóm học sinh đưa ra giả thuyết “Các hydrocarbon đều không tan trong nước và dễ bay hơi nên sử dụng nhiệt của hơi nước sẽ tách được tinh dầu ra khỏi vỏ quả bưởi theo phương pháp chưng cất lôi cuốn hơi nước". Để chứng minh giả thuyết đó nhóm học sinh nghiên cứu tìm hiểu và tiến hành thí nghiệm theo các bước sau:
Bước 1: Cắt nhỏ vỏ ngoài của quả bưởi và cho vào bình cầu, sau đó thêm nước đến ngập vỏ bưởi trong bình cầu.
Buớc 2: Lắp đặt hệ thống tách bằng phương pháp chưng cất lôi cuốn hơi nước như hình bên.
Buớc 3: Đun nóng bình chứa nguyên liệu (2) và đun sôi nhẹ bình cấp hơi nước (1) để hơi nước đi sang bình chứa nguyên liệu chưng cất.
Cho các nhận định sau:
(1) Hơi nước làm tinh dầu bay hơi chứng tỏ các chất trong tinh dầu đều có nhiệt độ sôi thấp hơn nhiệt độ
sôi của nước.
(2) Nguyên liệu trong bình (2) là phần ngoài của vỏ bưởi được cắt nhỏ nhằm mục đích tăng diện tích tiếp
xúc giữa nguyên liệu với hơi nước, làm tăng hiệu quả của quá trình chưng cất.
(3) Trong bình hứng là chất lỏng tách thành hai lớp, lớp phía trên (3) là nước, lớp phía dưới (4) là tinh dầu.
(4) Dùng phiễu chiết để tách lấy phần chất lỏng có mùi thơm đó là tinh dầu chứng tỏ giả thuyết học sinh đưa ra là đúng.
(5) Thêm một ít Na2SO4 khan sau tách lớp tinh dầu giúp hút ẩm, giữ tinh dầu ổn định hơn khi lưu trữ.
(6) Tinh dầu nếu được đựng trong chai nhựa PET (polyethylene terephthalate) có thể làm hòa tan một phần vật liệu này theo thời gian.
Liệt kê các nhận định đúng theo số thứ tự tăng dần? (ví dụ: 1234, 24,…).
-------------- HẾT --------------
Xem thêm đề thi học sinh giỏi Hóa học lớp 12 hay khác:
Đề thi học sinh giỏi Hóa học 12 trường THPT Hàn Thuyên (Bắc Ninh) năm 2025-2026
Đề thi học sinh giỏi Hóa học 12 Liên trường THPT (Nghệ An) năm 2025-2026
Đề thi học sinh giỏi Hóa học 12 Cụm 09 trường THPT (Phú Thọ) năm 2025-2026
Đề thi học sinh giỏi Hóa học 12 trường THPT Trực Ninh (Ninh Bình) năm 2025-2026
Tủ sách VIETJACK luyện thi vào 10 cho 2k11 (2026):
Đã có app VietJack trên điện thoại, giải bài tập SGK, SBT Soạn văn, Văn mẫu, Thi online, Bài giảng....miễn phí. Tải ngay ứng dụng trên Android và iOS.
Theo dõi chúng tôi miễn phí trên mạng xã hội facebook và youtube:Bộ đề thi năm 2025 các lớp các môn học được Giáo viên nhiều năm kinh nghiệm tổng hợp và biên soạn theo Thông tư mới nhất của Bộ Giáo dục và Đào tạo, được chọn lọc từ đề thi của các trường trên cả nước.
Nếu thấy hay, hãy động viên và chia sẻ nhé! Các bình luận không phù hợp với nội quy bình luận trang web sẽ bị cấm bình luận vĩnh viễn.
- Đề thi lớp 1 (các môn học)
- Đề thi lớp 2 (các môn học)
- Đề thi lớp 3 (các môn học)
- Đề thi lớp 4 (các môn học)
- Đề thi lớp 5 (các môn học)
- Đề thi lớp 6 (các môn học)
- Đề thi lớp 7 (các môn học)
- Đề thi lớp 8 (các môn học)
- Đề thi lớp 9 (các môn học)
- Đề thi lớp 10 (các môn học)
- Đề thi lớp 11 (các môn học)
- Đề thi lớp 12 (các môn học)
- Giáo án lớp 1 (các môn học)
- Giáo án lớp 2 (các môn học)
- Giáo án lớp 3 (các môn học)
- Giáo án lớp 4 (các môn học)
- Giáo án lớp 5 (các môn học)
- Giáo án lớp 6 (các môn học)
- Giáo án lớp 7 (các môn học)
- Giáo án lớp 8 (các môn học)
- Giáo án lớp 9 (các môn học)
- Giáo án lớp 10 (các môn học)
- Giáo án lớp 11 (các môn học)
- Giáo án lớp 12 (các môn học)


Giải bài tập SGK & SBT
Tài liệu giáo viên
Sách
Khóa học
Thi online
Hỏi đáp

