Đề thi học sinh giỏi Hóa học 12 Liên trường THPT (Nghệ An) năm 2025-2026
Bài viết cập nhật đề thi HSG Hóa học 12 Liên trường THPT, Nghệ An năm 2025-2026 giúp học sinh lớp 12 ôn tập và đạt kết quả cao trong bài thi học sinh giỏi Hóa 12.
Đề thi học sinh giỏi Hóa học 12 Liên trường THPT (Nghệ An) năm 2025-2026
Chỉ từ 150k mua trọn bộ Đề thi học sinh giỏi Hóa 12 theo cấu trúc mới bản word có lời giải chi tiết:
- B1: gửi phí vào tk:
1133836868- CT TNHH DAU TU VA DV GD VIETJACK - Ngân hàng MB (QR) - B2: Nhắn tin tới Zalo VietJack Official - nhấn vào đây để thông báo và nhận đề thi
|
SỞ GIÁO DỤC & ĐÀO TẠO NGHỆ AN LIÊN TRƯỜNG THPT QUỲNH LƯU – HOÀNG MAI NG. X. ÔN - DIỄN CHÂU 2 - ĐÔ LƯƠNG 1, 2 NGHI LỘC 2, 3 -THÁI HÒA - CỜ ĐỎ -TÂY HIẾU LÊ LỢI - TÂN KÌ 3 - QUỲ HỢP, QUỲ HỢP 2 Y. THÀNH 2 - BẮC, NAM Y. THÀNH – P.THÚC TRỰC (Đề thi có 04 trang) |
ĐỀ KSCL ĐỘI TUYỂN HỌC SINH GIỎI LỚP 12 ĐỢT 1 NĂM HỌC 2025 – 2026 Môn: HÓA HỌC (Phần trắc nghiệm) Thời gian làm bài: 50 phút (8,0 điểm) (Không kể thời gian phát đề) |
|
Họ và tên:…………………………………………………..........SBD:……………......
Mã đề thi 0401
- Nguyên tử khối của các nguyên tố: H = 1; C = 12; N = 14; O = 16; Na = 23; S = 32; Ca = 40
PHẦN I. Câu trắc nghiệm nhiều phương án lựa chọn. Thí sinh trả lời từ câu 1 đến câu 12. Mỗi câu hỏi thí sinh chọn một phương án.
Câu 1. Arachidonic acid (AA hay ARA) được ứng dụng rộng rãi, đặc biệt là trong ngành sản xuất mỹ phẩm và chăm sóc sắc đẹp. Công thức của AA như sau:
Cho các nhận định sau:
(a) Arachidonic acid có công thức phân tử là C20H32O2.
(b) Arachidonic acid thuộc nhóm acid béo omega-6.
(c) Arachidonic acid là một chất béo lỏng.
(d) Một phân tử Arachidonic acid tác dụng tối đa với năm phân tử hydrogen ở điều kiện thích hợp.
Các nhận định đúng là
A. (b), (c), (d).
B. (a), (b), (d).
C. (a), (b), (c).
D. (a), (b).
Câu 2. Nghiên cứu động học phản ứng thủy phân ethyl acetate ở 25°C trong môi trường sulfuric acid 0,1 M theo phương trình: CH₃COOC₂H₅ + H₂O ⇌ CH₃COOH + C₂H₅OH
Cứ sau t (phút), trích 20 mL hỗn hợp rồi tiến hành chuẩn độ bằng dung dịch NaOH (nồng độ cố định) với chỉ thị phenolpthalein. Thể tích NaOH (mL) cần dùng như bảng sau:
Tốc độ trung bình của phản ứng trong khoảng thời gian từ 0 đến 15 phút là
A. 3,65×10⁻⁵ mol·L⁻¹·s⁻¹
B. 4,56×10⁻⁵ mol·L⁻¹·s⁻¹
C. 2,68×10⁻⁴ mol·L⁻¹·s⁻¹
D. 6,85×10⁻⁵ mol·L⁻¹·s⁻¹
Câu 3. Một nhóm học sinh cần thực hiện một thí nghiệm enzyme trong tủ phản ứng, yêu cầu nhiệt độ ổn định ở 30°C. Tuy nhiên, khi bắt đầu, nhiệt độ trong tủ chỉ là 10°C. Để làm nóng không khí trong tủ đến nhiệt độ mong muốn, các em quyết định sử dụng nhiên liệu là ethanol
Biết rằng: Nhiệt đốt cháy của ethanol tinh khiết: ΔcH = –1367 kJ/mol; thể tích tủ phản ứng: 300 L; để nâng nhiệt độ 1 Lít không khí lên 1 °C cần 1,0 kJ; 90% nhiệt đốt cháy được sử dụng làm tăng nhiệt độ không khí trong tủ.
Nhóm học sinh trên cần đốt bao nhiêu gam ethanol?
A. 181,7.
B. 336,5.
C. 201,9.
D. 224,3.
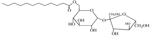
Câu 4. Saccharose monolaurate là một trong những chất phụ gia có chức năng kép do khả năng nhũ hóa và hoạt tính kháng khuẩn của nó. Saccharose monolaurate là hợp chất thu được khi cho saccharose tác dụng với lauric acid, saccharose monolaurate có công thức như sau:
Từ 100 gam saccharose và 40 gam lauric acid, với hiệu suất phản ứng đạt 52% thì điều chế được bao nhiêu gam saccharose monolaurate?
A. 54,496.
B. 79,373.
C. 35,568.
D. 104,800.
Câu 5. Một học sinh nhìn thấy một vùng nước trong ao có sự xuất hiện dày đặc của tảo xanh. Học sinh này đưa ra kết luận nào sau đây là phù hợp?
A. Nước đó có hiện tượng phú dưỡng
B. Nước đó chứa nhiều phèn.
C. Nước đó là nước cứng.
D. Nước đó là nước mặn.
Câu 6. Phản ứng hóa học của ethylene với dung dịch Br2 tạo thành CH2Br-CH2Br xảy ra theo 2 giai đoạn như sau:
Khi tiến hành phản ứng này trong dung dịch NaCl, hỗn hợp sản phẩm thu được ngoài CH2Br-CH2Br còn có 1 dẫn xuất dihalogen chiếm tỉ lệ cao, dẫn xuất dihalogen đó là
A. CHBr2-CH3.
B. CH2Cl-CH2Cl .
C. CH2Br-CH2Cl.
D. CHCl2-CH3
Câu 7. Liên kết cộng hóa trị được tạo thành do sự xen phủ các obital nguyên tử. Có một số kiểu xen phủ obital thường gặp như sau:
Sự xen phủ giữa hai obital trong trường hợp nào tạo thành liên kết π?
A. (1).
B. (2).
C. (3).
D. (4).
Câu 8. Một nhà máy nhiệt điện cần tẩy 500 kg cáu cặn trong nồi hơi. Phân tích cho thấy cặn chứa 82% CaCO₃, phần còn lại là tạp chất trơ. Kỹ sư đề xuất dùng oxalic acid khan (H₂C₂O₄) để hòa tan CaCO₃ theo phản ứng: CaCO₃ + H₂C₂O₄ → CaC₂O₄↓ + CO₂↑ + H₂O
Khối lượng oxalic acid khan tối thiểu cần dùng gần nhất với giá trị nào sau đây?
A. 410,0 kg
B. 369,0 kg
C. 246,0 kg
D. 184,5 kg
Câu 9. Trong dung dịch CH3COONa có cân bằng:
CH3COONa(aq) + H2O(l) CH3COOH(aq) + NaOH(aq) (1)
Khi cho vài giọt dung dịch phenolphatlein vào dung dịch CH3COONa 1M thấy dung dịch có màu hồng nhạt. Khi đun nóng dung dịch thì thấy màu hồng đậm hơn. Cho các phát biểu:
a) Trong dung dịch CH3COONa có cả NaOH và CH3COOH.
b) Dung dịch CH3COONa có môi trường base (pH> 7).
c) Ở cân bằng (1), theo chiều thuận là tỏa nhiệt.
d) Theo thuyết Bronsted-lowry thì trong phản ứng (1) H2O là acid, CH3COONa là base.
Những phát biểu đúng là
A. (b), (c), (d).
B. (a), (b), (d).
C. (a), (c), (d).
D. (a), (b), (c).
Câu 10. Nước thải từ một số nhà máy nhuộm và sản xuất nhựa phenol–formaldehyde chứa hàm lượng phenol cao. Để xử lý, người ta dùng chlorine hoặc hợp chất chlorine (Cl₂, NaOCl) ở pH ~7,5. Nếu nồng độ chlorine dư cao và kiểm soát kém, phản ứng thế electrophile có thể xảy ra trên vòng thơm, tạo ra hợp chất độc, khó phân hủy. Sản phẩm độc hại chính có thể hình thành trong phản ứng trên là
A. Benzene.
B. p-Nitrophenol.
C. p-Bromophenol.
D. Chlorophenol.
Câu 11. Vaniline là hợp chất aldehyde thơm tự nhiên, tạo mùi đặc trưng cho quả vani, công thức phân tử C₈H₈O₃, nhiệt độ nóng chảy khoảng 81–83 °C Vaniline có công thức cấu tạo như sau:
Nhận định nào sau đây về vaniline là sai?
A. Vaniline là chất lỏng ở điều kiện thường và tan nhiều trong nước lạnh.
B. Vaniline có thể tham gia phản ứng tráng bạc trong điều kiện kiềm nhẹ.
C. Vaniline được sử dụng làm hương liệu trong thực phẩm và mỹ phẩm.
D. Vaniline có thể bị oxi hóa bởi KMnO₄ trong môi trường H2SO4 thành acid vanilic (C₈H₈O₄).
Câu 12. Một nhà máy sản xuất ethanol nhiên liệu từ tinh bột ngô bằng phương pháp lên men, sau đó chưng cất thi thu được 950 L dung dịch ethanol 96% (d = 0,805 g/mL). Để đạt tiêu chuẩn E100 (ethanol 100%), dung dịch ethanol phải được loại bỏ nước bằng CaO rắn ở 150°C.
Khối lượng CaO tối thiểu cần thiết là bao nhiêu kg?
A. 98,16.
B. 95,17.
C. 118,22.
D. 30,59.
PHẦN II. Câu trắc nghiệm đúng sai. Thí sinh trả lời từ câu 1 đến câu 4. Trong mỗi ý a), b), c), d) ở mỗi câu, thí sinh chọn đúng hoặc sai.
Câu 1. Sulfuric acid (H₂SO₄) là hóa chất công nghiệp quan trọng, dùng để sản xuất phân bón, ắc-quy chì–acid, xử lý quặng…
Trong công nghiệp, H₂SO₄ 98% thường được điều chế bằng quy trình tiếp xúc: khí SO₂ được oxi hóa trên xúc tác V₂O₅ ở khoảng 450 °C tạo SO₃, rồi SO₃ không hấp thụ trực tiếp vào nước (vì gây mù acid), mà được hấp thụ vào H₂SO₄ đặc để tạo oleum, sau đó pha loãng đúng quy trìnhđể thu H₂SO₄ 98%.
a) Các phản ứng oxi hóa SO2 và hấp thụ SO3 và dung dịch H2SO4 98% đều là phản ứng oxi hóa – khử.
b) Trong công nghiệp, người ta hấp thụ SO₃ trực tiếp vào nước là cách thuận tiện điều chế dung dịch H₂SO₄ loãng.
c) Trong quy trình tiếp xúc, SO₂ được oxi hóa thành SO₃ trên xúc tác V₂O₅ ở khoảng 420 – 450 °C.
d) Pha loãng H₂SO₄ nên “rót nước vào acid” để nhanh và an toàn hơn.
Câu 2. Khói mù quang hoá là lớp sương mù nâu vàng hay gặp ở đô thị vào những ngày nắng nóng, gió yếu. Khi NOₓ (NO, NO₂) từ khí thải xe cộ và VOC (hợp chất hữu cơ bay hơi: hơi xăng, dung môi, sơn…) gặp ánh sáng Mặt Trời, sẽ tạo ozon (O₃) tầng thấp và các chất oxi hoá mạnh như PAN.
PAN (peroxyacetyl nitrate, công thức gần đúng CH₃C(O)OONO₂) là chất ô nhiễm thứ cấp sinh ra trong không khí, gây cay mắt, kích ứng hô hấp và góp phần vào khói mù quang hoá. O₃ tầng thấp thường cao nhất buổi chiều.
a) Khói mù quang hoá chủ yếu xảy ra trong ngày lạnh ẩm do SO₂ + muội than (giống khói mù London).
b) PAN là chất ô nhiễm thứ cấp hình thành từ NOₓ + VOC + ánh sáng, có thể gây cay mắt trong ngày có khói mù quang hoá.
c) Khói mù quang hoá thường xuất hiện vào những ngày nắng nóng, gió yếu; nồng độ O₃ tầng thấp thường cao nhất vào buổi chiều.
d) Chỉ cần trồng nhiều cây là có thể giải quyết triệt để khói mù quang hoá, không cần kiểm soát NOₓ/VOC.
Câu 3. Một số trường hợp người bán lạm dụng formaldehyde (formol) để bảo quản mực khô nhằm ngăn chặn vi sinh vật và giữ màu sắc. Để phân tích hàm lượng formaldehyde trong mẫu, người ta tiến hành như sau:
- Bước 1: Cân 5,12 g mực khô, nghiền nhỏ.
- Bước 2: Cho mực khô nghiền nhỏ vào dung dịch ethanol:nước (tỉ lệ 1:1) có thêm dung dịch đệm acetate (pH ≈ 3,5), khuấy đều, lọc dịch chiết vào bình tam giác 250 mL.
- Bước 3: Thêm 20,00 mL dung dịch I₂ 0,05 M (đảm bảo I₂ dư) vào dịch chiết để phản xảy ra hoàn toàn trong khoảng 5 – 7 phút, thỉnh thoảng lắc đều. Khí đó xảy ra phản ứng: HCHO + I₂ + H₂O → HCOOH + 2HI.
- Bước 4: Chuẩn độ I₂ dư bằng dung dịch Na₂S₂O₃ 0,06 M theo phương trình:
2Na2S2O3 + I2 → Na2S4O6 + 2NaI
Ban đầu thêm nhanh đến khi dung dịch chuyển vàng rơm, sau đó thêm vài giọt hồ tinh bột rồi tiếp tục nhỏ từng giọt thiosulfat cho đến khi màu xanh mất hẳn và dung dịch không màu bền trong 30 giây
Bước 5: Chuẩn bị mẫu trắng và tiến hành chuẩn độ mẫu trằng bằng cách thực hiện các bước từ bước 2 đến bước 4 nhưng ở bước 2 không cho mực khô vào.
Chuẩn độ I2 dư 3 lần, lấy số liệu trung bình. Kết quả chuẩn độ như sau:
Biết rằng trong mực khô chỉ có HCHO phản ứng với I2
a) Phản ứng giữa I2 và HCHO xảy ra thuận lợi trong môi trường acid yếu
b) Biết giới hạn formaldehyde cho phép trong thủy sản là 5 mg/kg. Hàm lượng formaldehyde trong mẫu mực khô trên vượt ngưỡng cho phép hơn 500 lần.
c) Ở bước 4, khi dung dịch chuyển màu vàng rơm là I2 đã được chuẩn độ hết.
d) Trong chuẩn độ ngược iodine–thiosulfat, mẫu trắng luôn tiêu tốn Na₂S₂O₃ nhiều hơn mẫu phân tích nếu trong mẫu có formaldehyde.
Câu 4. Một nhóm học sinh muốn khảo sát khả năng phân hủy cellulose trong điều kiện hiếu khí ở các nhiệt độ khác nhau.
Nhóm học sinh đưa ra giả thuyết: "Cellulose bị phân hủy với xúc tác của enzym cellulase do vi sinh vật tiết ra, quá trình này phụ thuộc nhiệt độ".
Để kiểm chứng giải thuyết, nhóm học sinh tiến hành thí nghiệm:
Bước 1: Cho 2,03 g bông tiệt trùng (chủ yếu chứa cellulose) vào mỗi ống nghiệm.
Bước 2: Thêm 5 mL men vi sinh vào mẫu thí nghiệm, Chuẩn bị một mẫu tương dương nhưng không có men vi sinh để đối chứng
Bước 3: Ủ 5 ngày ở các nhiệt độ: 25°C, 37°C, 45°C, 55°C.
Bước 4: Lọc, rửa sạch, phơi khô và cân khối lượng bông còn lại.
Kết quả thí nghiệm như bảng sau:
a) Ở tất cả các nhiệt độ, khối lượng bông của mẫu đối chứng không thay đổi cho thấy môi trường nuôi cấy không chứa men vi sinh không làm phân hủy cellulose.
b) Trong thí nghiệm trên, nhiệt độ càng cao càng thuận lợi cho quá trình phân hủy cellulose.
c) Ở nhiệt độ tối ưu trong thí nghiệm trên, phần trăm khối lượng bông bị phân hủy lớn hơn 60%.
d) Kết quả thí nghiệm ủng hộ giả thuyết ban đầu của nhóm.
PHẦN III. Câu trắc nghiệm yêu cầu trả lời ngắn. Thí sinh trả lời từ câu 1 đến câu 2.
Câu 1. Trong công nghiệp, người ta chuyển hóa dầu ăn thải thành biodiesel (FAME) bằng phản ứng transester hóa: Triglyceride + 3CH₃OH 3FAME + glycerol.
Biết methanol dùng dư 1,50 lần lượng so với lượng cần thiết; FAME trung bình xem như methyl oleate (M = 296 g/mol); khối lượng riêng dung dịch methanol 96% là 0,79 g/mL.
Để thu được 1 tấn biodiesel cần dùng bao nhiêu Lít dung dịch methanol 96%? (làm tròn đến hàng đơn vị)
Câu 2. Trong nông nghiệp, ammonium sulfate được sử dụng làm phân bón gọi là đạm một lá. Để sản xuất ammonium sulfate trong công nghiệp người ta tiến hành quy trình từ nguyên liệu NH3, CO2 và CaSO4.2H2O theo 2 giai đoạn như sau:
- Giai đoạn 1: Hấp thụ khí NH3 vào bể chứa nước và sục khí CO2 ở áp suất cao, thu được (NH4)2CO3 với hiệu suất chuyển hóa của NH3 là 95% theo phương trình sau: 2NH3 + CO2 + H2O (NH4)2CO3
- Giai đoạn 2: Cho thạch cao CaSO4.2H2O dư vào dung dịch (NH4)2CO3 thu được (NH4)2CO3 với hiệu suất 93% theo phản ứng: (NH4)2CO3 + CaSO4.2H2O (NH4)2SO4 + CaCO3 + 2H2O
Tách lấy phần dung dịch, làm bay hơi nước thu được tinh thể (NH4)2SO4. Muốn điều chế được 7 tấn (NH4)2SO4 thì cần dùng x m3 khí NH3 (đkc). Giá trị của x là bao nhiêu (làm tròn đến hàng đơn vị)
PHẦN IV. Tự Luận.
Câu I (2,0 điểm)
Trong công nghiệp sản xuất phân đạm và lọc–hóa dầu, hydrogen cho tổng hợp NH₃ và hydrocracking thường được sản xuất từ khí thiên nhiên bằng quá trình reforming với hơi nước. Ở lò reforming có xúc tác Ni, hỗn hợp CH₄ và hơi nước đi qua ở 750 – 900 °C, áp suất khoảng 20 atm, xảy ra cân bằng hóa học:
CH₄(g) + H₂O(g) CO(g) + 3H₂(g)(1)
Biết ΔH⁰ và ΔS⁰ không đổi theo nhiệt độ; nhiệt tạo thành chuẩn và entropi chuẩn của các chất:
Chất |
CH4(g) |
H2O(g) |
CO(g) |
H2(g) |
(kJ.mol-1) |
-74,6 |
-241,8 |
-110,5 |
0 |
(J.mol-1.K-1) |
186,3 |
188,8 |
197,7 |
130,7 |
I.1. Tính của phản ứng và cho biết phản ứng (1) thu nhiệt hay tỏa nhiệt.
I.2. Xác định nhiệt độ T mà tại đó phản ứng "đổi chiều tự diễn biến", Ở khoảng nhiệt độ trong lò phản ứng (≈750 – 900 °C) thì phản ứng (1) tự xảy ra hay không?
Câu II (3,0 điểm)
II.1. Copper (II) sulfate được dùng để diệt tảo, rong rêu trong nước bể bơi; dùng để pha chế thuốc Bordaux (trừ bệnh mốc sương trên cây cà chua, khoai tây; bệnh thối thân trên cây ăn quả, cây công nghiệp), … Copper(II) sulfate có thể được tạo ra từ đồng phế liệu theo 2 cách sau:
- Cách 1: Ngâm đồng phế liệu trong dung dịch sulfuric acid loãng và sục không khí, lúc đó đồng bị oxygen oxi hóa trong môi trường sulfuric acid loãng.
- Cách 2: Cho đồng phế liệu tác dụng với sulfuric acid đặc, nóng.
a) Hãy viết các phương trình hóa học xảy ra?
b) Theo em, nên sử dụng cách nào để sản xuất copper (II) sulfate trong công nghiệp, giải thích?
II.2. Nêu hiện tượng, viết phương trình hóa học xảy ra trong các thí nghiệm sau:
a) Nhỏ vài giọt H2SO4 đặc vào cốc thủy tinh chứa 1 thìa nhỏ bột mì.
b) Hòa tan 1 thìa phân bón urea ((NH2)2CO) vào cốc chứa nước vôi trong.
II.3. Potassium chlorate là chất oxi hóa mạnh, được sử dụng để chế tạo thuốc nổ, hỗn hợp đầu que diêm. Để điều chế potassium chlorate với giá thành thấp, người ta thường làm như sau: Cho khí chlorine đi qua nước vôi đun nóng, lấy dung dịch thu được đem trộn với potassium chloride và làm lạnh, khi đó potassium chlorate sẽ kết tinh.
a) Hãy viết phương trình hóa học xảy ra và giải thích tại sao potassium chlorate kết tinh?
b) Ở 25oC, dung dịchpotassium chlorate bão hòa có nồng độ phần trăm là 7,536%. Tính độ tan của potassium chlorate ở nhiệt độ trên ?
Câu III (4,0 điểm)
III.1. Từ tinh dầu cam, hoa hồng,… người ta tách được chất hữu cơ A mạch hở chứa 77,92% C; 11,69% H và 10,39% O về khối lượng. Trong phổ MS của A xuất hiện peak tín hiệu có giá trị m/z cực đại là 154.
a) Xác định công thức phân tử chất A.
b) Đun nóng A với H2SO4 đặc trong điều kiện thích hợp, thu được sản phẩm chính là 3,7 – dimethylocta – 1,3,6 – triene; A không bị oxi hóa bởi CuO khi đun nóng. Hãy lập luận để xác định công thức cấu tạo có thể có của A.
c) Biết A không có đồng phân hình học. Xác định công thức cấu tạo đúng và gọi tên A?
III.2. Hydrocarbon thơm B (tồn tại ở dạng trans) có công thức phân tử C14H12, phân tử có hai vòng benzene. Cho B tác dụng với dung dịch KMnO4 /H2SO4 đun nóng chỉ thu được một sản phẩm hữu cơ là benzoic acid.
a) Lập luận để xác định công thức cấu tạo của chất B.
b) Viết phương trình hóa học các phản ứng xảy ra (chất hữu cơ viết dụng công thức cấu tạo) khi cho B tác dụng lần lượt với: dung dịch KMnO4 loãng, dung dịch KMnO4 /H2SO4 đun nóng, nước Br2, dung dịch HCl.
III.3. Khi chuyển hóa trong cơ thể, một phân tử glucose bị chuyển hóa thành hai phân tử pyruvic acid (C3H4O3); pyruvic acid có thể bị khử tạo acid X. Phân tích cấu trúc của X người ta thấy trong X chứa một nhóm methyl và hai nhóm hydroxyl. Đun nóng hợp chất X với sulfuric acid đặc thu được hợp chất mạch hở Y, thủy phân Y trong dung dịch NaOH thu được Z là muối của acid X. Trong phổ MS của X và Y xuất hiện peak tín hiệu có giá trị m/z cực đại lần lượt là 90 và 162. Xác định công thức cấu tạo của pyruvic acid, X, Y, Z và viết phương trình hóa học tạo ra Y, Z ở trên.
III.4. Chỉ số ester là số miligam KOH dùng để xà phòng hoá hết lượng triglyceride có trong 1 gam chất béo. Một loại dầu hướng dương có thành phần chỉ chứa chất béo X và tạp chất không chứa ester khác; biết trong X chỉ chứa hai loại gốc acid béo là linoleate và oleate. Phân tích phổ khối lượng thấy phân tử khối của X là 880. Phân tích mẫu dầu hướng dương trên thu được chỉ số ester là 168.
a) Viết công thức cấu tạo có thể có (dạng thu gọn nhất) của X?
b) Tính phần trăm khối lượng chất béo có trong mẫu dầu hướng dương trên?
Câu IV. (1,0 điểm)
Khi sản xuất sữa chua, việc làm lạnh có thể bắt đầu khi quá trình acid hóa đạt giá trị pH từ 4,4 đến 4,6. Một nhóm học sinh làm sữa chua, để xác định độ pH của một mẫu sữa chua này, nhóm chuẩn bị đủ các dụng cụ cần thiết, hóa chất gồm dung dịch NạOH 0,01 M, phenolphtalein.
a) Em hãy hướng dẫn nhóm học sinh thực hiện thí nghiệm chuẩn độ theo đúng quy trình.
b) Khi lấy 10 mL mẫu đem chuẩn độ, khi kết thúc chuẩn độ thì thể tích NaOH trung bình đã dùng sau 3 lần chuẩn độ là 7,7 mL. Tính pH của mẫu sữa chua trên, từ đó hãy cho biết mẫu đã đạt chuẩn hay chưa?
Cho biết trong sữa chua chỉ chứa thành phần acid là lactic acid, các acid khác không đáng kể; Ka của lactic acid là 1,4.10-4. Phương trình điện li của lactic acid như sau:
CH3-CH(OH)-COOH CH3-CH(OH)-COO- + H+
Câu V. (2,0 điểm)
V.1. Một số hợp chất hữu cơ chứa nitrogen dễ phát nổ nên được ứng dụng làm chất nổ, thuốc súng. Các chất nổ phổ biến thường dùng trong kỹ thuật quân sự như TNT (2,4,6-trinitrotoluene), TNG (trinitroglycerol). Các chất nổ mạnh này có công thức chung CaHbNcOd. Giả thiết chất nổ phân hủy theo phản ứng sau:
“Cân bằng oxygen” là một chỉ số được biểu diễn dạng phần trăm, theo cách tính sau:
(M là phân tử khối của chất nổ)
Chất nổ có chỉ số “cân bằng oxygen” dương: chứa đủ hoặc dư lượng oxygen trong phân tử để chuyển hoàn toàn các nguyên tố thành các sản phẩm khí CO2, H2O và các khí khác. Khi nổ sẽ ít tạo ra khói.
Chất nổ có “cân bằng oxygen” âm: chứa không đủ oxygen để phản ứng hoàn toàn, tạo ra các sản phẩm không mong muốn như CO (carbon monoxide) hoặc các hạt muội than (carbon), hydrogen, … trong quá trình phát nổ. Điều này thường tạo ra nhiều khói, bụi có thể gây hại cho môi trường và sức khỏe con người.
Hãy tính “cân bằng oxygen” có trong các loại thuốc nổ trên và từ đó dự đoán loại thuốc nổ nào tạo ra ít khói bụi hơn?
V.2. Theo dự kiến, tại nước ta, xăng sinh học E5 sẽ bị thay thế bằng xăng sinh học E10 từ tháng 1 năm 2026. Xăng E5 (xăng chứa 5% ethanol về thể tích) còn xăng E10 (xăng chứa 10% ethanol về thể tích). Ethanol dùng để sản xuất các loại xăng này có thể được sản xuất từ tinh bột theo sơ đồ sau:
Tinh bột Glucose Ethanol
a) Vì sao việc sử dụng xăng sinh học lại được coi là góp phần bảo vệ môi trường?
b) Để tạo ra lượng ethanol đủ sản xuất được 1000Lít xăng E10 thì cần m tấn ngô (chứa 60% tinh bột, còn lại là các chất không tạo ra được ethanol). Biết hiệu suất cả quá trình là 80%, khối lượng riêng của ethanol là 0,8 g/mL. Tính giá trị của m.
c) Coi xăng truyền thống chỉ chứa C8H18 (khối lượng riêng 0,7 g/mL); tính tỉ số giữa lượng nhiệt tỏa ra (ở điều kiện chuẩn) khi đốt cháy cùng một thể tích xăng E5 so với xăng E10. Cho bảng giá trị nhiệt tạo thành chuẩn:
Chất |
C₂H₅OH(l) |
C8H8 (l) |
CO2(g) |
H2O(l) |
(kJ mol⁻¹) |
–277,6 |
–249,9 |
–393,5 |
–285,8 |
Thí sinh không được sử dụng tài liệu. Cán bộ coi thi không giải thích gì thêm.
-------- HẾT-------
Xem thêm đề thi học sinh giỏi Hóa học lớp 12 hay khác:
Đề thi học sinh giỏi Hóa học 12 trường THPT Hàn Thuyên (Bắc Ninh) năm 2025-2026
Đề thi học sinh giỏi Hóa học 12 Cụm các trường THPT (Hải Phòng) năm 2025-2026
Đề thi học sinh giỏi Hóa học 12 Cụm 09 trường THPT (Phú Thọ) năm 2025-2026
Đề thi học sinh giỏi Hóa học 12 trường THPT Trực Ninh (Ninh Bình) năm 2025-2026
Tủ sách VIETJACK luyện thi vào 10 cho 2k11 (2026):
Đã có app VietJack trên điện thoại, giải bài tập SGK, SBT Soạn văn, Văn mẫu, Thi online, Bài giảng....miễn phí. Tải ngay ứng dụng trên Android và iOS.
Theo dõi chúng tôi miễn phí trên mạng xã hội facebook và youtube:Bộ đề thi năm 2025 các lớp các môn học được Giáo viên nhiều năm kinh nghiệm tổng hợp và biên soạn theo Thông tư mới nhất của Bộ Giáo dục và Đào tạo, được chọn lọc từ đề thi của các trường trên cả nước.
Nếu thấy hay, hãy động viên và chia sẻ nhé! Các bình luận không phù hợp với nội quy bình luận trang web sẽ bị cấm bình luận vĩnh viễn.
- Đề thi lớp 1 (các môn học)
- Đề thi lớp 2 (các môn học)
- Đề thi lớp 3 (các môn học)
- Đề thi lớp 4 (các môn học)
- Đề thi lớp 5 (các môn học)
- Đề thi lớp 6 (các môn học)
- Đề thi lớp 7 (các môn học)
- Đề thi lớp 8 (các môn học)
- Đề thi lớp 9 (các môn học)
- Đề thi lớp 10 (các môn học)
- Đề thi lớp 11 (các môn học)
- Đề thi lớp 12 (các môn học)
- Giáo án lớp 1 (các môn học)
- Giáo án lớp 2 (các môn học)
- Giáo án lớp 3 (các môn học)
- Giáo án lớp 4 (các môn học)
- Giáo án lớp 5 (các môn học)
- Giáo án lớp 6 (các môn học)
- Giáo án lớp 7 (các môn học)
- Giáo án lớp 8 (các môn học)
- Giáo án lớp 9 (các môn học)
- Giáo án lớp 10 (các môn học)
- Giáo án lớp 11 (các môn học)
- Giáo án lớp 12 (các môn học)


Giải bài tập SGK & SBT
Tài liệu giáo viên
Sách
Khóa học
Thi online
Hỏi đáp

