Đề thi học sinh giỏi Toán 9 Sở GD&ĐT Thanh Hóa năm 2025-2026
Bài viết Đề thi học sinh giỏi Toán 9 Sở GD&ĐT Thanh Hóa năm 2025-2026 có đán án giúp học sinh ôn tập và đạt kết quả cao trong bài thi HSG Toán 9.
Đề thi học sinh giỏi Toán 9 Sở GD&ĐT Thanh Hóa năm 2025-2026
Chỉ từ 200k mua trọn bộ Đề thi học sinh giỏi Toán 9 theo cấu trúc mới bản word có lời giải chi tiết, dễ dàng chỉnh sửa:
- B1: gửi phí vào tk:
1133836868- CT TNHH DAU TU VA DV GD VIETJACK - Ngân hàng MB (QR) - B2: Nhắn tin tới Zalo VietJack Official - nhấn vào đây để thông báo và nhận giáo án
|
SỞ GIÁO DỤC VÀ ĐÀO TẠO THANH HÓA
|
KỲ THI CHỌN HỌC SINH GIỎI CẤP TỈNH LỚP 9 NĂM HỌC 2025 – 2026 Môn thi: TOÁN – THCS Thời gian: 150 phút (không kể thời gian giao đề) |
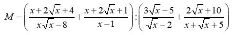
Câu 1. (2,0 điểm) Rút gọn biểu thức:
Câu 2. (2,0 điểm) Cho đa thức P = x3 + 6x2 + ax + b với a, b là các số hữu tỉ, thỏa mãn . Tính giá trị biểu Q = 17.P(3) + 12.P(2) + 2025(a + b + 35)2026 + 54.
Câu 3. (2,0 điểm) Giải hệ phương trình:
Câu 4. (2,0 điểm)
Gọi X là tập hợp các số tự nhiên có 5 chữ số phân biệt được lập từ các chữ số 1; 2; 3; 4; 5. Chọn ngẫy nhiên một phần tử của X. Tính xác suất để phần tử đó là một số nhỏ hơn 45 000.
Câu 5. (2,0 điểm) Chứng minh rằng nếu các số tự nhiên a, b, c thỏa mãn:
ab2 + b = (a + 1)c2 + c thì ab + ac + 1 là số chính phương.
Câu 6. (1,5 điểm) Ba xe ô tô cùng xuất phát từ địa điểm A đến địa điểm B. Mỗi giờ, xe thứ nhất đi được nhiều hơn xe thứ hai 15 km, nhiều hơn xe thứ ba 5 km. Biết rằng xe thứ hai tới B chậm hơn xe thứ nhất 28 phút, chậm hơn xe thứ ba 20 phút. Tìm tốc độ dừng xe (xem như tốc độ của từng xe là không đổi trong suốt hành trình).
Câu 7. (1,5 điểm) Hai bể cá hình tròn lần lượt có tâm A, bán kính r1 = 10 m và tâm B, bán kính r2 = 20 m, AB = 60 m, ở gần một con kênh có bờ là một đường thẳng d song song với AB. Khoảng cách từ A, B đến bờ kênh là 40 m. Người ta cần chọn một vị trí M trên bờ kênh để lắp máy bơm nước đến 2 bể. Các ống dẫn nước MN, MP là các đoạn thẳng nối từ M đến mép bể (tham khảo hình vẽ).
Hỏi tổng độ dài 2 ống dẫn nước nhỏ nhất là bao nhiêu (biết rằng chênh lệch về độ cao của các bể so với bờ kênh là không đáng kể)?
Câu 8. (4,0 điểm) Hình vuông ABCD có O là giao điểm của hai đường chéo, K là trung điểm của OB. Đường tròn tâm D bán kính DA và đường tròn đường kính AB cắt nhau tại điểm E khác A. Tia EO cắt AD tại M, cắt CD tại F.
a) Chứng minh: Hai tam giác DEO và DBE đồng dạng và điểm F thuộc đường tròn tâm D bán kính DA.
b) Chứng minh: và tính tỉ số
Câu 9. (1,5 điểm) Cho hình chữ nhật ABCD, có AB = 60 cm, BC = 70 cm. Trên cạnh AB lấy điểm E, trên cạnh BC lấy điểm F sao cho AE = 20 cm, BF = 30 cm. Các điểm H, G lần lượt di động trên cạnh AD, CD. Tìm giá trị nhỏ nhất của tổng EH + HG + GF.
Câu 10. (1,5 điểm) Một lưới ô vuông kích thước 12 × 12 gồm 144 ô vuông nhỏ bằng nhau. Tô màu mỗi ô bởi một trong ba màu: đỏ, vàng, xanh tùy ý sao cho mỗi ô được tô bởi đúng một màu (hình vẽ minh họa).
Chứng minh rằng tồn tại ít nhất bốn ô được tô cùng màu nằm ở bốn góc của một hình chữ nhật.
HẾT
................................
................................
................................
Trên đây tóm tắt một số nội dung miễn phí trong bộ Đề thi học sinh giỏi Toán lớp 9 năm 2026 mới nhất, để mua tài liệu trả phí đầy đủ, Thầy/Cô vui lòng xem thử:
Xem thêm Đề thi học sinh giỏi môn Toán lớp 9 khác trên cả nước:
Đề thi học sinh giỏi Toán 9 Sở GD&ĐT Vĩnh Long năm 2024-2025
Đề thi học sinh giỏi Toán 9 Sở GD&ĐT Sóc Trăng năm 2024-2025
Đề thi học sinh giỏi Toán 9 Sở GD&ĐT Quảng Bình năm 2024-2025
Tủ sách VIETJACK luyện thi vào 10 cho 2k11 (2026):
Đã có app VietJack trên điện thoại, giải bài tập SGK, SBT Soạn văn, Văn mẫu, Thi online, Bài giảng....miễn phí. Tải ngay ứng dụng trên Android và iOS.
Theo dõi chúng tôi miễn phí trên mạng xã hội facebook và youtube:Bộ đề thi năm 2025 các lớp các môn học được Giáo viên nhiều năm kinh nghiệm tổng hợp và biên soạn theo Thông tư mới nhất của Bộ Giáo dục và Đào tạo, được chọn lọc từ đề thi của các trường trên cả nước.
Nếu thấy hay, hãy động viên và chia sẻ nhé! Các bình luận không phù hợp với nội quy bình luận trang web sẽ bị cấm bình luận vĩnh viễn.
- Đề thi lớp 1 (các môn học)
- Đề thi lớp 2 (các môn học)
- Đề thi lớp 3 (các môn học)
- Đề thi lớp 4 (các môn học)
- Đề thi lớp 5 (các môn học)
- Đề thi lớp 6 (các môn học)
- Đề thi lớp 7 (các môn học)
- Đề thi lớp 8 (các môn học)
- Đề thi lớp 9 (các môn học)
- Đề thi lớp 10 (các môn học)
- Đề thi lớp 11 (các môn học)
- Đề thi lớp 12 (các môn học)
- Giáo án lớp 1 (các môn học)
- Giáo án lớp 2 (các môn học)
- Giáo án lớp 3 (các môn học)
- Giáo án lớp 4 (các môn học)
- Giáo án lớp 5 (các môn học)
- Giáo án lớp 6 (các môn học)
- Giáo án lớp 7 (các môn học)
- Giáo án lớp 8 (các môn học)
- Giáo án lớp 9 (các môn học)
- Giáo án lớp 10 (các môn học)
- Giáo án lớp 11 (các môn học)
- Giáo án lớp 12 (các môn học)


Giải bài tập SGK & SBT
Tài liệu giáo viên
Sách
Khóa học
Thi online
Hỏi đáp

