58+ Đề thi học sinh giỏi Toán 9 năm 2026 (có đáp án)
Tuyển tập Đề thi học sinh giỏi Toán 9 năm 2026 có đán án, chọn lọc mới nhất giúp học sinh ôn tập và đạt kết quả cao trong bài thi HSG Toán 9.
58+ Đề thi học sinh giỏi Toán 9 năm 2026 (có đáp án)
Chỉ từ 200k mua trọn bộ Đề thi học sinh giỏi Toán 9 theo cấu trúc mới bản word có lời giải chi tiết, dễ dàng chỉnh sửa:
- B1: gửi phí vào tk:
1133836868- CT TNHH DAU TU VA DV GD VIETJACK - Ngân hàng MB (QR) - B2: Nhắn tin tới Zalo VietJack Official - nhấn vào đây để thông báo và nhận giáo án
Đề thi học sinh giỏi Toán 9 Sở GD&ĐT Thanh Hóa năm 2025-2026
Đề thi học sinh giỏi Toán 9 Sở GD&ĐT Vĩnh Long năm 2024-2025
Đề thi học sinh giỏi Toán 9 Sở GD&ĐT Sóc Trăng năm 2024-2025
Đề thi học sinh giỏi Toán 9 Sở GD&ĐT Quảng Bình năm 2024-2025
Đề thi học sinh giỏi Toán 9 Sở GD&ĐT Bình Phước năm 2023-2024
Đề thi học sinh giỏi Toán 9 Phòng GD&ĐT Bình Chánh (TP HCM) năm 2023-2024
Đề thi học sinh giỏi Toán 9 Sở GD&ĐT Quảng Ngãi năm 2023-2024
Đề thi học sinh giỏi Toán 9 Phòng GD&ĐT Nam Đàn (Nghệ An) năm 2023-2024
Sở Giáo dục và Đào tạo Hà Nội
Kì thi chọn học sinh giỏi lớp 9 cấp thành phố
Năm học 2025-2026
Môn thi: Toán
Thời gian làm bài: 150 phút
(Đề chính thức)
Nguồn lời giải: sưu tầm
Phòng Giáo dục và Đào tạo Phú Thọ
Đề thi khảo sát Học sinh giỏi
năm 2025
Bài thi môn: Toán lớp 9
Thời gian làm bài: 150 phút
(Đề số 1)
I. PHẦN TRẮC NGHIỆM
Câu 1. Cho biểu thức: , khẳng định nào dưới đây đúng?
A. P = 1 khi .
B. P = 1 khi x > 3.
C. P = -1 khi x > 3.
D. P = 1 khi .
Câu 2. Cho x, y là các số thực thoả mãn đẳng thức: . Giá trị của biểu thức bằng
A. 3.
B. 1.
C. 0.
D. 2.
Câu 3. Có bao nhiêu giá trị của tham số m để hai đường thẳng và song song với nhau?
A. 1 .
B. 2 .
C. 0 .
D. Vô số.
Câu 4. Trên mặt phẳng toạ độ Oxy cho M (x; y) với x, y thoả mãn hệ phương trình: .
Tìm giá trị của m để điểm .
A. .
B. .
C. .
D. .
Câu 5. Có bao nhiêu giá trị của m để hệ phương trình có nghiệm duy nhất thoả mãn đẳng thức x = y (2 - y)?
A. 0.
B. 1.
C. 2.
D. 3.
Câu 6. Cho Parabol và điểm I (0; -1). Biết đường thẳng (d) qua I với hệ số góc luôn cắt (P) tại hai điểm phân biệt A, B. Độ dài nhỏ nhất của AB là
A. 4 .
B. .
C. .
D. .
Câu 7. Cho phương trình: . Gọi S là tích tất cả các nghiệm của phương trình. Giá trị của S là
A. -2 .
B. 2 .
C. 1 .
D. -1 .
Câu 8. Có bao nhiêu giá trị của tham số a khác 0 để một trong các nghiệm của phương trình gấp đôi một trong các nghiệm của phương trình ?
A. 0.
B. 2 .
C. 1.
D. 3.
Câu 9. Cho tam giác ABC, trung tuyến AM. Các tia phân giác của các góc , cắt các cạnh AB , AC theo thứ tự tại D và E. Biết BC = 8 cm, AM = 6 cm Độ dài đoạn thẳng DE bằng
A. 5 cm .
B. 4,5 cm .
C. 5,2 cm .
D. 4,8 cm .
Câu 10. Cho tam giác ABC đều cạnh 4a. Gọi M, N, P là các điểm di động trên các cạnh AB, AC , CA sao cho AM = BN = CP (như hình vẽ bên). Giá trị nhỏ nhất của diện tích tam giác MNP là
A. . B. .
C. . D. .
Câu 11. Cho hình hộp chữ nhật ABCD.A'B'C'D' có thể tích bằng . Gọi E, E' lần lượt là trung điểm của các cạnh CD, C'D'. Thể tích của lăng trụ ABE.A'B'E' bằng
A. .
B. .
C. .
D. .
Câu 12. Cho hình vuông ABCD. Gọi M, N lần lượt là trung điểm của BC, CD. Giá trị của là
A. .
B. .
C. .
D. .
Câu 13. Cho hình vuông ABCD cạnh a. Gọi I là điểm nằm trong hình vuông sao cho . Giá trị của IC + ID bằng
A. .
B. .
C. .
D. 2a .
Câu 14. Cho tam giác ABC vuông tại A, gọi r, R lần lượt là bán kính đường tròn nội tiếp, ngoại tiếp tam giác ABC. Biết AB = 3 cm, AC = 4 cm. Tỉ số bằng
A. .
B. .
C. .
D. .
Câu 15. Cho tam giác ABC nội tiếp đường tròn (O), các đường cao , , cắt đường tròn (O) theo thứ tự ở D, E, F. Tính . Ta được kết quả là
A. .
B. 4 .
C. .
D. .
Câu 16. Từ danh sách giới thiệu giáo viên tham gia làm đề thi chọn học sinh giỏi lớp 9 môn Toán, trong đó có 6 giáo viên nam và 4 giáo viên nữ, thầy Hồng phụ trách muốn chọn 3 giáo viên tham gia làm đề thi. Có bao nhiêu cách chọn nếu trong 3 giáo viên đó có ít nhất một giáo viên nữ?
A. 100 .
B. 21 .
C. 19 .
D. 52 .
II. PHẦN TỰ LUẬN
Câu 1. (3,0 điểm)
a) Tìm các nghiệm nguyên của phương trình: .
b) Có bao nhiêu số tự nhiên n không vượt quá 2021 sao cho chia hết cho 30.
Câu 2. (3,5 điểm)
a) Giả sử , , là ba nghiệm của phương trình: . Đặt . Chứng minh rằng là số nguyên với mọi n nguyên dương.
b) Giải hệ phương trình: .
Câu 3. (4,0 điểm) Cho đường tròn (O) và một dây cung BC cố định không là đường kính. Xét điểm A thay đổi trên (O) sao cho A không trùng với B, C. Gọi H là trực tâm tam giác ABC, I là trung điểm BC.
a) Chứng minh rằng AH = 2 OI
b) Gọi D là điểm đối xứng với A qua O, M, N, P lần lượt là hình chiếu vuông góc của D lên BC, BH, CH. Chứng minh rằng đường tròn ngoại tiếp tam giác luôn đi qua một điểm cố định.
c) Tìm vị trí của điểm A để HA + HB + HC lớn nhất.
Câu 4. (1,5 điểm) Cho a, b, c là ba số nguyên dương thoả mãn a +b + c =2021. Tìm giá trị nhỏ nhất của biểu thức: .
-----------------Hết-----------------
Phòng Giáo dục và Đào tạo Hà Nội
Đề thi khảo sát Học sinh giỏi
năm 2025
Bài thi môn: Toán lớp 9
Thời gian làm bài: 150 phút
(Đề số 2)
Bài 1 (5,0 điểm)
1) Giải phương trình .
2) Cho a, b, c là các số thực thỏa mãn đồng thời các điều kiện và . Tính giá trị của biểu thức P = a + b + c.
Bài 2 (5,0 điểm)
1) Tìm tất cả số nguyên dương n để 3n + 1 và 12n - 11 là các số chính phương.
2) Cho là đa thức với hệ số thực thỏa mãn đồng thời các điều kiện , với k = 0, 1, 2,...,2022 . Tính giá trị P(2023) .
Bài 3 (2,0 điểm)
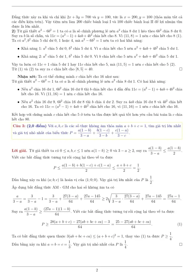
Với a, b, c là các số nguyên dương thỏa mãn điều kiện a +b + c = 16 , tìm giá trị lớn nhất và giá trị nhỏ nhất của biểu thức .
Bài 4 (6,0 điểm Cho tam giác ABC vuông tại A (AB < AC) nội tiếp đường tròn (O) . Các tiếp tuyến tại A và C của đường tròn (O) cắt nhau tại điểm S . Trên tia đối của tia CA lấy điểm M (M khác C ). Qua S kẻ đường thẳng vuông góc với OM , cắt đường tròn (O) tại hai điểm phân biệt E, F ( E nằm giữa S và F) .
a) Chứng minh đường thẳng ME là tiếp tuyến của đường tròn (O) .
b) Gọi D là chân đường vuông góc kẻ từ M đến đường thẳng BC . Chứng minh EC là tia phân giác của góc .
c) Gọi P, Q lần lượt là giao điểm của đường thẳng MD với hai đường thẳng BE và BF . Gọi K là tâm đường tròn ngoại tiếp tam giác BPQ . Chứng minh .
Bài 5 (2,0 điểm)
1) Tìm tất cả các số nguyên tố m, n, p thỏa mãn .
2) Cho đa giác đều . Gọi S là tập hợp gồm các trung điểm của các đọan thẳng và M là tổng độ dài của tất cả các đoạn thẳng có hai đầu mút là hai điểm thuộc S. Gọi N là tổng độ dài của tất cả các đoạn thẳng Chứng minh .
-----------------Hết-----------------
Cán bộ coi thi không giải thích gì thêm.
................................
................................
................................
Trên đây tóm tắt một số nội dung miễn phí trong bộ Đề thi học sinh giỏi Toán lớp 9 năm 2026 mới nhất, để mua tài liệu trả phí đầy đủ, Thầy/Cô vui lòng xem thử:
Xem thêm Đề thi học sinh giỏi lớp 9 các môn học khác:
- Đề thi học sinh giỏi Văn 9
- Đề thi học sinh giỏi Tiếng Anh 9
- Đề thi học sinh giỏi KHTN 9
- Đề thi học sinh giỏi Vật lí 9
- Đề thi học sinh giỏi Hóa học 9
- Đề thi học sinh giỏi Sinh học 9
Xem thêm đề thi lớp 9 các môn học có đáp án hay khác:
Tài liệu giáo án lớp 9 các môn học chuẩn khác:
Tủ sách VIETJACK luyện thi vào 10 cho 2k11 (2026):
Đã có app VietJack trên điện thoại, giải bài tập SGK, SBT Soạn văn, Văn mẫu, Thi online, Bài giảng....miễn phí. Tải ngay ứng dụng trên Android và iOS.
Theo dõi chúng tôi miễn phí trên mạng xã hội facebook và youtube:Bộ đề thi năm 2025 các lớp các môn học được Giáo viên nhiều năm kinh nghiệm tổng hợp và biên soạn theo Thông tư mới nhất của Bộ Giáo dục và Đào tạo, được chọn lọc từ đề thi của các trường trên cả nước.
Nếu thấy hay, hãy động viên và chia sẻ nhé! Các bình luận không phù hợp với nội quy bình luận trang web sẽ bị cấm bình luận vĩnh viễn.
- Đề thi lớp 1 (các môn học)
- Đề thi lớp 2 (các môn học)
- Đề thi lớp 3 (các môn học)
- Đề thi lớp 4 (các môn học)
- Đề thi lớp 5 (các môn học)
- Đề thi lớp 6 (các môn học)
- Đề thi lớp 7 (các môn học)
- Đề thi lớp 8 (các môn học)
- Đề thi lớp 9 (các môn học)
- Đề thi lớp 10 (các môn học)
- Đề thi lớp 11 (các môn học)
- Đề thi lớp 12 (các môn học)
- Giáo án lớp 1 (các môn học)
- Giáo án lớp 2 (các môn học)
- Giáo án lớp 3 (các môn học)
- Giáo án lớp 4 (các môn học)
- Giáo án lớp 5 (các môn học)
- Giáo án lớp 6 (các môn học)
- Giáo án lớp 7 (các môn học)
- Giáo án lớp 8 (các môn học)
- Giáo án lớp 9 (các môn học)
- Giáo án lớp 10 (các môn học)
- Giáo án lớp 11 (các môn học)
- Giáo án lớp 12 (các môn học)


Giải bài tập SGK & SBT
Tài liệu giáo viên
Sách
Khóa học
Thi online
Hỏi đáp

