39.47 = 1833
Bài 13: Hỗn số. Số thập phân. Phần trăm
Luyện tập trang 48-49-50 sgk Toán 6 Tập 2
Các phép tính về phân số và số thập phân
Video Bài 113 trang 50 sgk Toán lớp 6 Tập 2 - Cô Diệu Linh (Giáo viên VietJack)
Bài 113 trang 50 sgk Toán lớp 6 Tập 2: Hãy kiểm tra các phép nhân sau đây rồi sử dụng kết quả của các phép tính này để điền số thích hợp vào ô trống mà không cần tính toán:
Lời giải:
- Các phép nhân đều cho kết quả đúng.
- Ta có:
(3,1 . 47) . 39 = 3,1 .(47 . 39) (tính chất kết hợp)
= 3,1 .1833 (theo a)
= 5682,3 (theo c)
(15,6 . 5,2) . 7,02 = (15,6 . 7,02) . 5,2 (Tính chất giao hoán và kết hợp)
= 109,512 . 5,2 (theo b)
= 569,4624 (theo d)
5682,3 : (3,1 . 47) = (5682,3 : 3,1) : 47
= 1833 : 47 (suy từ c) = 39 (suy từ a)
Vì vậy ta có thể điền các số thích hợp vào ô trống mà không cần tính toán.
Kiến thức áp dụng
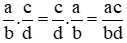
+ Tính chất giao hoán của phép nhân phân số:
+ Tính chất kết hợp của phép nhân phân số:
+ Kết hợp cả tính chất giao hoán và tính chất kết hợp:
+ Nếu có b, c là các số khác 0. Khi đó : a : (b . c) = a : b : c.
Xem thêm Giải bài tập Toán lớp 6 hay nhất và chi tiết khác:
Bài 94 trang 46 sgk Toán lớp 6 Tập 2: Viết các phân số dưới dạng hỗn số ...
Bài 95 trang 46 sgk Toán lớp 6 Tập 2: Viết các hỗn số sau dưới dạng phân số ...
Bài 96 trang 46 sgk Toán lớp 6 Tập 2: So sánh các phân số ...
Bài 99 trang 47 sgk Toán lớp 6 Tập 2: Khi cộng hai hỗn số ... bạn Cường làm như sau: ...
Bài 100 trang 47 sgk Toán lớp 6 Tập 2: Tính giá trị các biểu thức sau: ...
Bài 102 trang 47 sgk Toán lớp 6 Tập 2: Bạn Hoàng làm phép nhân ...
Bài 105 trang 47 sgk Toán lớp 6 Tập 2: Viết các phần trăm sau dưới dạng số thập phân 7%, 45%, 216%.
Bài 106 trang 48 sgk Toán lớp 6 Tập 2: Hoàn thành các phép tính sau: ...
Bài 107 trang 48 sgk Toán lớp 6 Tập 2: Tính: a) 1/3 + 3/8 - ....
Bài 108 trang 48 sgk Toán lớp 6 Tập 2: Hoàn thành các phép tính sau: ...
Bài 109 trang 49 sgk Toán lớp 6 Tập 2: Tính bằng hai cách: ...
Bài 111 trang 49 sgk Toán lớp 6 Tập 2: Tìm số nghịch đảo của các số sau: ...
Tủ sách VIETJACK shopee lớp 6-8 (2025):
Đã có app VietJack trên điện thoại, giải bài tập SGK, SBT Soạn văn, Văn mẫu, Thi online, Bài giảng....miễn phí. Tải ngay ứng dụng trên Android và iOS.
Theo dõi chúng tôi miễn phí trên mạng xã hội facebook và youtube:Loạt bài Video Giải bài tập Toán lớp 6 hay, chi tiết của chúng tôi được biên soạn bám sát theo chương trình Sách giáo khoa Toán 6 Tập 1, Tập 2.
Nếu thấy hay, hãy động viên và chia sẻ nhé! Các bình luận không phù hợp với nội quy bình luận trang web sẽ bị cấm bình luận vĩnh viễn.
- Giải sgk Tiếng Anh 6 Global Success
- Giải sgk Tiếng Anh 6 Friends plus
- Giải sgk Tiếng Anh 6 Smart World
- Giải sgk Tiếng Anh 6 Explore English
- Lớp 6 - Kết nối tri thức
- Soạn Văn 6 (hay nhất) - KNTT
- Soạn Văn 6 (ngắn nhất) - KNTT
- Giải sgk Toán 6 - KNTT
- Giải sgk Khoa học tự nhiên 6 - KNTT
- Giải sgk Lịch Sử 6 - KNTT
- Giải sgk Địa Lí 6 - KNTT
- Giải sgk Giáo dục công dân 6 - KNTT
- Giải sgk Hoạt động trải nghiệm 6 - KNTT
- Giải sgk Tin học 6 - KNTT
- Giải sgk Công nghệ 6 - KNTT
- Giải sgk Âm nhạc 6 - KNTT
- Lớp 6 - Chân trời sáng tạo
- Soạn Văn 6 (hay nhất) - CTST
- Soạn Văn 6 (ngắn nhất) - CTST
- Giải sgk Toán 6 - CTST
- Giải sgk Khoa học tự nhiên 6 - CTST
- Giải sgk Lịch Sử 6 - CTST
- Giải sgk Địa Lí 6 - CTST
- Giải sgk Giáo dục công dân 6 - CTST
- Giải sgk Công nghệ 6 - CTST
- Giải sgk Hoạt động trải nghiệm 6 - CTST
- Giải sgk Âm nhạc 6 - CTST
- Lớp 6 - Cánh diều
- Soạn Văn 6 Cánh diều (hay nhất)
- Soạn Văn 6 Cánh diều (ngắn nhất)
- Giải sgk Toán 6 - Cánh diều
- Giải sgk Khoa học tự nhiên 6 - Cánh diều
- Giải sgk Lịch Sử 6 - Cánh diều
- Giải sgk Địa Lí 6 - Cánh diều
- Giải sgk Giáo dục công dân 6 - Cánh diều
- Giải sgk Hoạt động trải nghiệm 6 - Cánh diều
- Giải sgk Tin học 6 - Cánh diều
- Giải sgk Công nghệ 6 - Cánh diều
- Giải sgk Âm nhạc 6 - Cánh diều


Giải bài tập SGK & SBT
Tài liệu giáo viên
Sách
Khóa học
Thi online
Hỏi đáp

