Điền số thích hợp vào ô trống: a/b -3/4
Bài 9: Phép trừ phân số
Luyện tập trang 34-35 sgk Toán 6 Tập 2
Video Bài 66 trang 34 sgk Toán lớp 6 Tập 2 - Cô Diệu Linh (Giáo viên VietJack)
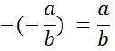
Bài 66 trang 34 sgk Toán lớp 6 Tập 2: Điền số thích hợp vào ô trống:
So sánh dòng 1 và dòng 3, em có thể nói gì về "số đối của số đối của một số" - (-a/b) = ?
Lời giải
Điền số vào bảng:
Dòng 1 = Dòng 3. Do đó: "số đối của số đối của một số bằng chính số đó"
Xem thêm Giải bài tập Toán lớp 6 hay nhất và chi tiết khác:
Bài 58 trang 33 sgk Toán lớp 6 Tập 2: Tìm số đối của các số: ...
Bài 59 trang 33 sgk Toán lớp 6 Tập 2: Tính: a) 1/8 - 1/2 ; b) ...
Bài 60 trang 33 sgk Toán lớp 6 Tập 2: Tìm x biết: a) x - 3/4 = 1/2 ; b) ...
Bài 63 trang 34 sgk Toán lớp 6 Tập 2: Điền phân số thích hợp vào ô vuông: ...
Bài 64 trang 34 sgk Toán lớp 6 Tập 2: Hoàn thành phép tính: ...
Bài 65 trang 34 sgk Toán lớp 6 Tập 2: Buổi tối (từ 19 giờ đến 21 giờ 30 phút), Bình định dành ...
Tủ sách VIETJACK shopee lớp 6-8 (2025):
Đã có app VietJack trên điện thoại, giải bài tập SGK, SBT Soạn văn, Văn mẫu, Thi online, Bài giảng....miễn phí. Tải ngay ứng dụng trên Android và iOS.
Theo dõi chúng tôi miễn phí trên mạng xã hội facebook và youtube:Loạt bài Video Giải bài tập Toán lớp 6 hay, chi tiết của chúng tôi được biên soạn bám sát theo chương trình Sách giáo khoa Toán 6 Tập 1, Tập 2.
Nếu thấy hay, hãy động viên và chia sẻ nhé! Các bình luận không phù hợp với nội quy bình luận trang web sẽ bị cấm bình luận vĩnh viễn.
- Giải sgk Tiếng Anh 6 Global Success
- Giải sgk Tiếng Anh 6 Friends plus
- Giải sgk Tiếng Anh 6 Smart World
- Giải sgk Tiếng Anh 6 Explore English
- Lớp 6 - Kết nối tri thức
- Soạn Văn 6 (hay nhất) - KNTT
- Soạn Văn 6 (ngắn nhất) - KNTT
- Giải sgk Toán 6 - KNTT
- Giải sgk Khoa học tự nhiên 6 - KNTT
- Giải sgk Lịch Sử 6 - KNTT
- Giải sgk Địa Lí 6 - KNTT
- Giải sgk Giáo dục công dân 6 - KNTT
- Giải sgk Hoạt động trải nghiệm 6 - KNTT
- Giải sgk Tin học 6 - KNTT
- Giải sgk Công nghệ 6 - KNTT
- Giải sgk Âm nhạc 6 - KNTT
- Lớp 6 - Chân trời sáng tạo
- Soạn Văn 6 (hay nhất) - CTST
- Soạn Văn 6 (ngắn nhất) - CTST
- Giải sgk Toán 6 - CTST
- Giải sgk Khoa học tự nhiên 6 - CTST
- Giải sgk Lịch Sử 6 - CTST
- Giải sgk Địa Lí 6 - CTST
- Giải sgk Giáo dục công dân 6 - CTST
- Giải sgk Công nghệ 6 - CTST
- Giải sgk Hoạt động trải nghiệm 6 - CTST
- Giải sgk Âm nhạc 6 - CTST
- Lớp 6 - Cánh diều
- Soạn Văn 6 Cánh diều (hay nhất)
- Soạn Văn 6 Cánh diều (ngắn nhất)
- Giải sgk Toán 6 - Cánh diều
- Giải sgk Khoa học tự nhiên 6 - Cánh diều
- Giải sgk Lịch Sử 6 - Cánh diều
- Giải sgk Địa Lí 6 - Cánh diều
- Giải sgk Giáo dục công dân 6 - Cánh diều
- Giải sgk Hoạt động trải nghiệm 6 - Cánh diều
- Giải sgk Tin học 6 - Cánh diều
- Giải sgk Công nghệ 6 - Cánh diều
- Giải sgk Âm nhạc 6 - Cánh diều


Giải bài tập SGK & SBT
Tài liệu giáo viên
Sách
Khóa học
Thi online
Hỏi đáp

