Giải bài tập Toán lớp 8 Bài 7: Phép nhân các phân thức đại số
Giải bài tập Toán lớp 8 Bài 7: Phép nhân các phân thức đại số
Lời giải
Trả lời câu hỏi Toán 8 Tập 1 Bài 7 trang 52
: Làm tính nhân phân thức:
Lời giải
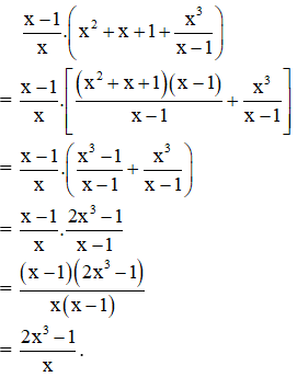
Trả lời câu hỏi Toán 8 Tập 1 Bài 7 trang 52
: Thực hiện phép tính:
Lời giải
Trả lời câu hỏi Toán 8 Tập 1 Bài 7 trang 52 : Tính nhanh:
Lời giải
Bài 38 trang 52 SGK Toán 8 Tập 1 Thực hiện các phép tính sau:
Lời giải:
Bài 39 trang 52 SGK Toán 8 Tập 1 Thực hiện các phép tính sau (chú ý về dấu):
Lời giải:
Lời giải:
Cách 1: Không áp dụng tính phân phối:
Cách 2: Áp dụng tính chất phân phối: A( B+ C)= AB + AC
Lời giải:
(Giải thích: Mẫu thức của mỗi phân thức giản ước với tử số của phân thức liền sau nó).
Xem thêm Video Giải bài tập Toán lớp 8 hay và chi tiết khác:
- Bài 8: Phép chia các phân thức đại số
- Bài 9: Biến đổi các biểu thức hữu tỉ. Giá trị của phân thức
- Luyện tập trang 58-59)
- Ôn tập chương 2
Tủ sách VIETJACK shopee lớp 6-8 (2025):
Đã có app VietJack trên điện thoại, giải bài tập SGK, SBT Soạn văn, Văn mẫu, Thi online, Bài giảng....miễn phí. Tải ngay ứng dụng trên Android và iOS.
Theo dõi chúng tôi miễn phí trên mạng xã hội facebook và youtube:Loạt bài Giải bài tập Toán 8 hay, chi tiết của chúng tôi được các Thầy / Cô giáo biên soạn bám sát chương trình sách giáo khoa Toán 8 Tập 1, Tập 2 sách mới.
Nếu thấy hay, hãy động viên và chia sẻ nhé! Các bình luận không phù hợp với nội quy bình luận trang web sẽ bị cấm bình luận vĩnh viễn.
- Giải Tiếng Anh 8 Global Success
- Giải sgk Tiếng Anh 8 Smart World
- Giải sgk Tiếng Anh 8 Friends plus
- Lớp 8 - Kết nối tri thức
- Soạn văn 8 (hay nhất) - KNTT
- Soạn văn 8 (ngắn nhất) KNTT
- Giải sgk Toán 8 - KNTT
- Giải sgk Khoa học tự nhiên 8 - KNTT
- Giải sgk Lịch Sử 8 - KNTT
- Giải sgk Địa Lí 8 - KNTT
- Giải sgk Giáo dục công dân 8 - KNTT
- Giải sgk Tin học 8 - KNTT
- Giải sgk Công nghệ 8 - KNTT
- Giải sgk Hoạt động trải nghiệm 8 - KNTT
- Giải sgk Âm nhạc 8 - KNTT
- Lớp 8 - Chân trời sáng tạo
- Soạn văn 8 (hay nhất) - CTST
- Soạn văn 8 (ngắn nhất) - CTST
- Giải sgk Toán 8 - CTST
- Giải sgk Khoa học tự nhiên 8 - CTST
- Giải sgk Lịch Sử 8 - CTST
- Giải sgk Địa Lí 8 - CTST
- Giải sgk Giáo dục công dân 8 - CTST
- Giải sgk Tin học 8 - CTST
- Giải sgk Công nghệ 8 - CTST
- Giải sgk Hoạt động trải nghiệm 8 - CTST
- Giải sgk Âm nhạc 8 - CTST
- Lớp 8 - Cánh diều
- Soạn văn 8 Cánh diều (hay nhất)
- Soạn văn 8 Cánh diều (ngắn nhất)
- Giải sgk Toán 8 - Cánh diều
- Giải sgk Khoa học tự nhiên 8 - Cánh diều
- Giải sgk Lịch Sử 8 - Cánh diều
- Giải sgk Địa Lí 8 - Cánh diều
- Giải sgk Giáo dục công dân 8 - Cánh diều
- Giải sgk Tin học 8 - Cánh diều
- Giải sgk Công nghệ 8 - Cánh diều
- Giải sgk Hoạt động trải nghiệm 8 - Cánh diều
- Giải sgk Âm nhạc 8 - Cánh diều


Giải bài tập SGK & SBT
Tài liệu giáo viên
Sách
Khóa học
Thi online
Hỏi đáp

