Giải sgk Toán 8 trang 50 Tập 1, Tập 2 (mới)
Giải bài tập Toán 8 trang 50 Tập 1, Tập 2 chương trình sách mới Cánh diều, Kết nối tri thức, Chân trời sáng tạo:
Giải sgk Toán 8 trang 50 Tập 1, Tập 2 (mới)
- Toán lớp 8 trang 50 Tập 2 (sách mới):
- Toán lớp 8 trang 50 Tập 1 (sách mới):
Lưu trữ: Giải Toán 8 trang 50 Luyện tập (sách cũ)
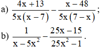
Bài 33 trang 50 SGK Toán 8 Tập 1 Làm các phép tính sau:
Lời giải:
Bài 34 trang 50 SGK Toán 8 Tập 1 Dùng qui tắc đổi dấu rồi thực hiện các phép tính:
Lời giải:
Bài 35 trang 50 SGK Toán 8 Tập 1 Thực hiện các phép tính:
Lời giải:
(Quy đồng với MTC = (x – 3)(x + 3))
(Cộng với phân thức đối và áp dụng quy tắc đổi dấu)
(Quy đồng với MTC = (x + 1)(x – 1)2)
(Tách 4x = x + 3x để phân tích tử thành nhân tử)
(Rút gọn nhân tử chung x + 1)
a) Hãy biểu diễn qua x:
- Số sản phẩm phải sản xuất trong một ngày theo kế hoạch.
- Số sản phẩm thực tế đã làm được trong một ngày.
- Số sản phẩm làm thêm trong một ngày.
b) Tính số sản phẩm làm thêm trong một ngày với x = 25.
Lời giải:
a) + Số sản phẩm phải sản xuất trong 1 ngày theo kế hoạch là:
+ Số sản phẩm làm được trong thực tế : 10080 sản phẩm
Số ngày làm việc thực tế : x – 1 (ngày)
⇒ Số sản phẩm thực tế đã làm được trong 1 ngày là:
+ Số sản phẩm làm thêm trong 1 ngày là:
b) Với x = 25, số sản phẩm làm thêm được trong một ngày bằng:
= 420 - 400 = 20 (sản phẩm)
Bài 37 trang 51 SGK Toán 8 Tập 1 Đố. Cho phân thức
Đố em tìm được một phân thức mà khi lấy phân thức đã cho trừ đi phân thức phải tìm thì được một phân thức bằng phân thức đối của phân thức đã cho.
Lời giải:
Gọi phân thức cần tìm là A.
Lấy phân thức đã cho trừ đi phân thức phải tìm ta được:
Phân thức đối của phân thức đã cho là:
Theo đề bài ta có:
Cộng cả hai vế với
ta có :
Xem thêm Video Giải bài tập Toán lớp 8 hay và chi tiết khác:
- Bài 7: Phép nhân các phân thức đại số
- Bài 8: Phép chia các phân thức đại số
- Bài 9: Biến đổi các biểu thức hữu tỉ. Giá trị của phân thức
- Luyện tập trang 58-59)
Tủ sách VIETJACK shopee lớp 6-8 (2025):
Đã có app VietJack trên điện thoại, giải bài tập SGK, SBT Soạn văn, Văn mẫu, Thi online, Bài giảng....miễn phí. Tải ngay ứng dụng trên Android và iOS.
Theo dõi chúng tôi miễn phí trên mạng xã hội facebook và youtube:Loạt bài Giải bài tập Toán 8 hay, chi tiết của chúng tôi được các Thầy / Cô giáo biên soạn bám sát chương trình sách giáo khoa Toán 8 Tập 1, Tập 2 sách mới.
Nếu thấy hay, hãy động viên và chia sẻ nhé! Các bình luận không phù hợp với nội quy bình luận trang web sẽ bị cấm bình luận vĩnh viễn.
- Giải Tiếng Anh 8 Global Success
- Giải sgk Tiếng Anh 8 Smart World
- Giải sgk Tiếng Anh 8 Friends plus
- Lớp 8 - Kết nối tri thức
- Soạn văn 8 (hay nhất) - KNTT
- Soạn văn 8 (ngắn nhất) KNTT
- Giải sgk Toán 8 - KNTT
- Giải sgk Khoa học tự nhiên 8 - KNTT
- Giải sgk Lịch Sử 8 - KNTT
- Giải sgk Địa Lí 8 - KNTT
- Giải sgk Giáo dục công dân 8 - KNTT
- Giải sgk Tin học 8 - KNTT
- Giải sgk Công nghệ 8 - KNTT
- Giải sgk Hoạt động trải nghiệm 8 - KNTT
- Giải sgk Âm nhạc 8 - KNTT
- Lớp 8 - Chân trời sáng tạo
- Soạn văn 8 (hay nhất) - CTST
- Soạn văn 8 (ngắn nhất) - CTST
- Giải sgk Toán 8 - CTST
- Giải sgk Khoa học tự nhiên 8 - CTST
- Giải sgk Lịch Sử 8 - CTST
- Giải sgk Địa Lí 8 - CTST
- Giải sgk Giáo dục công dân 8 - CTST
- Giải sgk Tin học 8 - CTST
- Giải sgk Công nghệ 8 - CTST
- Giải sgk Hoạt động trải nghiệm 8 - CTST
- Giải sgk Âm nhạc 8 - CTST
- Lớp 8 - Cánh diều
- Soạn văn 8 Cánh diều (hay nhất)
- Soạn văn 8 Cánh diều (ngắn nhất)
- Giải sgk Toán 8 - Cánh diều
- Giải sgk Khoa học tự nhiên 8 - Cánh diều
- Giải sgk Lịch Sử 8 - Cánh diều
- Giải sgk Địa Lí 8 - Cánh diều
- Giải sgk Giáo dục công dân 8 - Cánh diều
- Giải sgk Tin học 8 - Cánh diều
- Giải sgk Công nghệ 8 - Cánh diều
- Giải sgk Hoạt động trải nghiệm 8 - Cánh diều
- Giải sgk Âm nhạc 8 - Cánh diều


Giải bài tập SGK & SBT
Tài liệu giáo viên
Sách
Khóa học
Thi online
Hỏi đáp

