Toán 8 Luyện tập trang 40 - Tập 1
Toán 8 Luyện tập trang 40 - Tập 1
Bài 11 trang 40 SGK Toán 8 Tập 1 Rút gọn phân thức:
Lời giải:
a) Cả tử và mẫu có nhân tử chung là 6xy 2 .
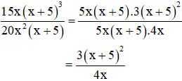
b) Cả tử và mẫu có nhân tử chung là 5.x.(x + 5)
Bài 12 trang 40 SGK Toán 8 Tập 1 Phân tích tử và mẫu thành nhân tử rồi rút gọn phân thức:
Lời giải:
a)
+ Phân tích tử số và mẫu số thành nhân tử:
3x 2 – 12x + 12 = 3.(x 2 – 4x + 4)
= 3.(x 2 – 2.x.2 + 2 2 ) (Hằng đẳng thức (2))
= 3.(x – 2) 2
x 4 – 8x = x.(x 3 – 8) = x.(x 3 – 2 3 ) (Hằng đẳng thức (7))
= x.(x – 2)(x 2 + x.2 + 2 2 )
= x(x – 2)(x 2 + 2x + 4)
+ Rút gọn phân thức:
b) + Phân tích tử và mẫu thành nhân tử:
7x 2 + 14x + 7 = 7.(x 2 + 2x + 1) = 7.(x + 1) 2
3x 2 + 3x = 3x(x + 1)
+ Rút gọn phân thức
Bài 13 trang 40 SGK Toán 8 Tập 1 Áp dụng qui tắc đổi dấu rồi rút gọn phân thức:
Lời giải:
Xem thêm Video Giải bài tập Toán lớp 8 hay và chi tiết khác:
- Bài 4: Quy đồng mẫu thức nhiều phân thức
- Luyện tập trang 43-44)
- Bài 5: Phép cộng các phân thức đại số
- Luyện tập trang 47-48)
Tủ sách VIETJACK shopee lớp 6-8 (2025):
Đã có app VietJack trên điện thoại, giải bài tập SGK, SBT Soạn văn, Văn mẫu, Thi online, Bài giảng....miễn phí. Tải ngay ứng dụng trên Android và iOS.
Theo dõi chúng tôi miễn phí trên mạng xã hội facebook và youtube:Loạt bài Giải bài tập Toán 8 hay, chi tiết của chúng tôi được các Thầy / Cô giáo biên soạn bám sát chương trình sách giáo khoa Toán 8 Tập 1, Tập 2 sách mới.
Nếu thấy hay, hãy động viên và chia sẻ nhé! Các bình luận không phù hợp với nội quy bình luận trang web sẽ bị cấm bình luận vĩnh viễn.
- Giải Tiếng Anh 8 Global Success
- Giải sgk Tiếng Anh 8 Smart World
- Giải sgk Tiếng Anh 8 Friends plus
- Lớp 8 - Kết nối tri thức
- Soạn văn 8 (hay nhất) - KNTT
- Soạn văn 8 (ngắn nhất) KNTT
- Giải sgk Toán 8 - KNTT
- Giải sgk Khoa học tự nhiên 8 - KNTT
- Giải sgk Lịch Sử 8 - KNTT
- Giải sgk Địa Lí 8 - KNTT
- Giải sgk Giáo dục công dân 8 - KNTT
- Giải sgk Tin học 8 - KNTT
- Giải sgk Công nghệ 8 - KNTT
- Giải sgk Hoạt động trải nghiệm 8 - KNTT
- Giải sgk Âm nhạc 8 - KNTT
- Lớp 8 - Chân trời sáng tạo
- Soạn văn 8 (hay nhất) - CTST
- Soạn văn 8 (ngắn nhất) - CTST
- Giải sgk Toán 8 - CTST
- Giải sgk Khoa học tự nhiên 8 - CTST
- Giải sgk Lịch Sử 8 - CTST
- Giải sgk Địa Lí 8 - CTST
- Giải sgk Giáo dục công dân 8 - CTST
- Giải sgk Tin học 8 - CTST
- Giải sgk Công nghệ 8 - CTST
- Giải sgk Hoạt động trải nghiệm 8 - CTST
- Giải sgk Âm nhạc 8 - CTST
- Lớp 8 - Cánh diều
- Soạn văn 8 Cánh diều (hay nhất)
- Soạn văn 8 Cánh diều (ngắn nhất)
- Giải sgk Toán 8 - Cánh diều
- Giải sgk Khoa học tự nhiên 8 - Cánh diều
- Giải sgk Lịch Sử 8 - Cánh diều
- Giải sgk Địa Lí 8 - Cánh diều
- Giải sgk Giáo dục công dân 8 - Cánh diều
- Giải sgk Tin học 8 - Cánh diều
- Giải sgk Công nghệ 8 - Cánh diều
- Giải sgk Hoạt động trải nghiệm 8 - Cánh diều
- Giải sgk Âm nhạc 8 - Cánh diều


Giải bài tập SGK & SBT
Tài liệu giáo viên
Sách
Khóa học
Thi online
Hỏi đáp

