Toán 8 Luyện tập trang 47-48)
Toán 8 Luyện tập trang 47-48)
Bài 25 trang 47 SGK Toán 8 Tập 1 Làm tính cộng các phân thức sau:
Lời giải:
(Quy đồng với MTC = 10x 2 y 3 )
(Quy đồng với MTC = 2x(x + 3))
(Tách 5x = 2x + 3x để phân tích tử thành nhân tử)
(Rút gọn nhân tử chung x + 3)
(Áp dụng quy tắc đổi dấu)
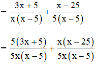
(Quy đồng với MTC = 5x(x – 5))
(Rút gọn nhân tử chung x – 5)
(Quy đồng với MTC = 1 – x 2 )
(hằng đẳng thức đáng nhớ số 3: a 2 – b 2 = (a - b).(a+ b)
(Phân tích mẫu thức thứ nhất thành nhân tử, áp dụng quy tắc đổi dấu ở phân thức thứ ba)
(Quy đồng với MTC = (x – 1)(x 2 + x + 1))
Hãy biểu diễn:
- Thời gian xúc 5000m 3 đầu tiên.
- Thời gian làm nốt phần việc còn lại.
- Thời gian làm việc để hoàn thành công việc.
Lời giải:
a) + Thời gian xúc 5000m 3 đầu tiên là:
+ Phần việc còn lại là: 11600 – 5000 = 6600 (m 3 )
Năng suất làm việc ở phần việc còn lại: x + 25 (m 3 )
⇒ Thời gian làm nốt phần việc còn lại:
+ Thời gian làm việc để hoàn thành công việc:
b) Với x = 250 m 3 /ngày, thời gian để hoàn thành công việc là:
Bài 27 trang 48 SGK Toán 8 Tập 1 Đố. Rút gọn rồi tính giá trị của biểu thức
tại x = -4.
Nếu coi tử số của phân số tối giản mà em tìm được là ngày còn mẫu số là tháng thì đó chính là một ngày lễ trên thế giới. Đố em biết đó là ngày gì?
Lời giải:
+ Rút gọn:
(Quy đồng với MTC = 5x(x + 5))
(Rút gọn nhân tử chung x(x + 5))
+ Tại x = -4 giá trị của phân thức rút gọn bằng:
Ta được ngày 1 tháng 5. Đó là ngày Quốc tế Lao động .
Xem thêm Video Giải bài tập Toán lớp 8 hay và chi tiết khác:
- Bài 6: Phép trừ các phân thức đại số
- Luyện tập trang 50-51)
- Bài 7: Phép nhân các phân thức đại số
- Bài 8: Phép chia các phân thức đại số
Tủ sách VIETJACK shopee lớp 6-8 (2025):
Đã có app VietJack trên điện thoại, giải bài tập SGK, SBT Soạn văn, Văn mẫu, Thi online, Bài giảng....miễn phí. Tải ngay ứng dụng trên Android và iOS.
Theo dõi chúng tôi miễn phí trên mạng xã hội facebook và youtube:Loạt bài Giải bài tập Toán 8 hay, chi tiết của chúng tôi được các Thầy / Cô giáo biên soạn bám sát chương trình sách giáo khoa Toán 8 Tập 1, Tập 2 sách mới.
Nếu thấy hay, hãy động viên và chia sẻ nhé! Các bình luận không phù hợp với nội quy bình luận trang web sẽ bị cấm bình luận vĩnh viễn.
- Giải Tiếng Anh 8 Global Success
- Giải sgk Tiếng Anh 8 Smart World
- Giải sgk Tiếng Anh 8 Friends plus
- Lớp 8 - Kết nối tri thức
- Soạn văn 8 (hay nhất) - KNTT
- Soạn văn 8 (ngắn nhất) KNTT
- Giải sgk Toán 8 - KNTT
- Giải sgk Khoa học tự nhiên 8 - KNTT
- Giải sgk Lịch Sử 8 - KNTT
- Giải sgk Địa Lí 8 - KNTT
- Giải sgk Giáo dục công dân 8 - KNTT
- Giải sgk Tin học 8 - KNTT
- Giải sgk Công nghệ 8 - KNTT
- Giải sgk Hoạt động trải nghiệm 8 - KNTT
- Giải sgk Âm nhạc 8 - KNTT
- Lớp 8 - Chân trời sáng tạo
- Soạn văn 8 (hay nhất) - CTST
- Soạn văn 8 (ngắn nhất) - CTST
- Giải sgk Toán 8 - CTST
- Giải sgk Khoa học tự nhiên 8 - CTST
- Giải sgk Lịch Sử 8 - CTST
- Giải sgk Địa Lí 8 - CTST
- Giải sgk Giáo dục công dân 8 - CTST
- Giải sgk Tin học 8 - CTST
- Giải sgk Công nghệ 8 - CTST
- Giải sgk Hoạt động trải nghiệm 8 - CTST
- Giải sgk Âm nhạc 8 - CTST
- Lớp 8 - Cánh diều
- Soạn văn 8 Cánh diều (hay nhất)
- Soạn văn 8 Cánh diều (ngắn nhất)
- Giải sgk Toán 8 - Cánh diều
- Giải sgk Khoa học tự nhiên 8 - Cánh diều
- Giải sgk Lịch Sử 8 - Cánh diều
- Giải sgk Địa Lí 8 - Cánh diều
- Giải sgk Giáo dục công dân 8 - Cánh diều
- Giải sgk Tin học 8 - Cánh diều
- Giải sgk Công nghệ 8 - Cánh diều
- Giải sgk Hoạt động trải nghiệm 8 - Cánh diều
- Giải sgk Âm nhạc 8 - Cánh diều


Giải bài tập SGK & SBT
Tài liệu giáo viên
Sách
Khóa học
Thi online
Hỏi đáp

