Toán 8 Luyện tập trang 43-44)
Toán 8 Luyện tập trang 43-44)
Bài 18 trang 43 SGK Toán 8 Tập 1 Qui đồng mẫu thức của hai phân thức:
Lời giải:
a) + Phân tích mẫu thức thành nhân tử để tìm mẫu thức chung
2x + 4 = 2.(x + 2)
x 2 – 4 = (x – 2)(x + 2)
⇒ MTC = 2.(x – 2)(x + 2)
+ Nhân tử phụ :
2.(x – 2)(x + 2) : 2(x + 2) = x – 2
2(x – 2)(x + 2) : (x – 2)(x + 2) = 2.
+ Quy đồng :
b) + Phân tích mẫu thức thành nhân tử để tìm MTC:
x 2 + 4x + 4 = x 2 + 2.x.2 + 2 2 = (x + 2) 2
3x + 6 = 3.(x + 2)
⇒ MTC = 3.(x + 2) 2
+ Nhân tử phụ :
3.(x + 2) 2 : (x + 2) 2 = 3
3(x + 2) 2 : 3(x + 2) = x + 2
+ Quy đồng :
Bài 19 trang 43 SGK Toán 8 Tập 1 Qui đồng mẫu thức các phân thức sau:
Lời giải:
a) + Phân tích mẫu thức thành nhân tử để tìm MTC
2x – x 2 = x.(2 – x)
⇒ MTC = x.(x + 2)(2 – x)
+ Nhân tử phụ :
x.(x + 2)(2 – x) : (x + 2) = x.(2 – x)
x(x + 2)(2 – x) : x(2 – x) = x + 2
+ Quy đồng:
Mẫu thức chung = x 2 – 1
Quy đồng mẫu thức:
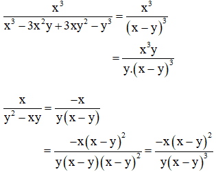
+ Phân tích mẫu thức thành nhân tử:
x 3 – 3x 2 y + 3xy 2 – y 3 = (x – y) 3
xy – y 2 = y.(x – y)
⇒ MTC = y.(x – y) 3
+ Nhân tử phụ :
y(x – y) 3 : (x – y) 3 = y
y(x – y) 3 : y(x – y) = (x – y) 2
+ Quy đồng :
Bài 20 trang 44 SGK Toán 8 Tập 1 Cho hai phân thức:
Để chứng tỏ rằng có thể chọn đa thức: x 3 + 5x 2 – 4x – 20 có thể làm mẫu thức chung ta chỉ cần chứng tỏ rằng nó chia hết cho mẫu thức của mỗi phân thức đã cho.
Thật vậy, ta có:
x 3 + 5x 2 – 4x – 20
= x 3 + 3x 2 – 10x + 2x 2 + 6x – 20
= x(x 2 + 3x – 10) + 2(x 2 + 3x – 10)
= (x + 2)(x 2 + 3x – 10)
⇒ x 3 + 5x 2 – 4x – 20 chia hết cho x 2 + 3x – 10
x 3 + 5x 2 – 4x – 20
= x 3 + 7x 2 + 10x – 2x 2 – 14x – 20
= x(x 2 + 7x + 10) – 2.(x 2 + 7x + 10)
= (x – 2)(x 2 + 7x + 10)
⇒ x 3 + 5x 2 – 4x – 20 chia hết cho x 2 + 7x + 10
Do đó có thể chọn mẫu thức chung là x 3 + 5x 2 – 4x – 20.
Xem thêm Video Giải bài tập Toán lớp 8 hay và chi tiết khác:
- Bài 5: Phép cộng các phân thức đại số
- Luyện tập trang 47-48)
- Bài 6: Phép trừ các phân thức đại số
- Luyện tập trang 50-51)
Tủ sách VIETJACK shopee lớp 6-8 (2025):
Đã có app VietJack trên điện thoại, giải bài tập SGK, SBT Soạn văn, Văn mẫu, Thi online, Bài giảng....miễn phí. Tải ngay ứng dụng trên Android và iOS.
Theo dõi chúng tôi miễn phí trên mạng xã hội facebook và youtube:Loạt bài Giải bài tập Toán 8 hay, chi tiết của chúng tôi được các Thầy / Cô giáo biên soạn bám sát chương trình sách giáo khoa Toán 8 Tập 1, Tập 2 sách mới.
Nếu thấy hay, hãy động viên và chia sẻ nhé! Các bình luận không phù hợp với nội quy bình luận trang web sẽ bị cấm bình luận vĩnh viễn.
- Giải Tiếng Anh 8 Global Success
- Giải sgk Tiếng Anh 8 Smart World
- Giải sgk Tiếng Anh 8 Friends plus
- Lớp 8 - Kết nối tri thức
- Soạn văn 8 (hay nhất) - KNTT
- Soạn văn 8 (ngắn nhất) KNTT
- Giải sgk Toán 8 - KNTT
- Giải sgk Khoa học tự nhiên 8 - KNTT
- Giải sgk Lịch Sử 8 - KNTT
- Giải sgk Địa Lí 8 - KNTT
- Giải sgk Giáo dục công dân 8 - KNTT
- Giải sgk Tin học 8 - KNTT
- Giải sgk Công nghệ 8 - KNTT
- Giải sgk Hoạt động trải nghiệm 8 - KNTT
- Giải sgk Âm nhạc 8 - KNTT
- Lớp 8 - Chân trời sáng tạo
- Soạn văn 8 (hay nhất) - CTST
- Soạn văn 8 (ngắn nhất) - CTST
- Giải sgk Toán 8 - CTST
- Giải sgk Khoa học tự nhiên 8 - CTST
- Giải sgk Lịch Sử 8 - CTST
- Giải sgk Địa Lí 8 - CTST
- Giải sgk Giáo dục công dân 8 - CTST
- Giải sgk Tin học 8 - CTST
- Giải sgk Công nghệ 8 - CTST
- Giải sgk Hoạt động trải nghiệm 8 - CTST
- Giải sgk Âm nhạc 8 - CTST
- Lớp 8 - Cánh diều
- Soạn văn 8 Cánh diều (hay nhất)
- Soạn văn 8 Cánh diều (ngắn nhất)
- Giải sgk Toán 8 - Cánh diều
- Giải sgk Khoa học tự nhiên 8 - Cánh diều
- Giải sgk Lịch Sử 8 - Cánh diều
- Giải sgk Địa Lí 8 - Cánh diều
- Giải sgk Giáo dục công dân 8 - Cánh diều
- Giải sgk Tin học 8 - Cánh diều
- Giải sgk Công nghệ 8 - Cánh diều
- Giải sgk Hoạt động trải nghiệm 8 - Cánh diều
- Giải sgk Âm nhạc 8 - Cánh diều


Giải bài tập SGK & SBT
Tài liệu giáo viên
Sách
Khóa học
Thi online
Hỏi đáp

