Toán 9 Bài 3: Giải hệ phương trình bằng phương pháp thế
Giải sgk Toán 9 Bài 3: Giải hệ phương trình bằng phương pháp thế
Video Giải bài tập Toán 9 Bài 3: Giải hệ phương trình bằng phương pháp thế
Lời giải
Ta có ( biểu diễn y theo x từ phương trình thứ hai):
Vậy hệ phương trình có nghiệm duy nhất (7;5)
Lời giải
Hai đường thẳng trên trùng nhau nên hệ phương trình (III) có vô số nghiệm
Trả lời câu hỏi Toán 9 Tập 2 Bài 3 trang 15 - Video giải tại 10:11 : Cho hệ phương trình
Bằng minh họa hình học và phương pháp thế, chứng tỏ rằng hệ (IV) vô nghiệm.
Lời giải
Hai đường thẳng trên song song nên chúng không có điểm chung hay hệ phương trình (IV) vô nghiệm.
Phương pháp thế:
Ta có ( biểu diễn y theo x từ phương trình thứ nhất):
Vậy hệ phương trình (IV) vô nghiệm.
Lời giải
Cách 1
Từ (1) rút ra được y = x – 3
Thế vào phương trình (2) ta được:
3x – 4.(x – 3) = 2 ⇔ 3x – 4x + 12 = 2 ⇔ x = 10
Từ x = 10 ⇒ y = x – 3 = 7.
Vậy hệ phương trình có nghiệm duy nhất (10 ; 7).
Từ (2) rút ra được y = -4x + 2.
Thế y = -4x + 2 vào phương trình (1) ta được :
7x – 3.(-4x+2) = 5 ⇔ 7x + 12x – 6 = 5 ⇔ 19x = 11 ⇔
Vậy hệ phương trình có nghiệm duy nhất
Từ (1) rút x theo y ta được: x = -3y – 2
Thế x = -3y – 2 vào phương trình (2) ta được :
5.(-3y – 2) – 4y = 11 ⇔ -15y – 10 – 4y = 11 ⇔ -19y = 21 ⇔
Vậy hệ phương trình có nghiệm duy nhất
Cách 2
Lời giải
Bài toán giải hệ phương trình bằng phương pháp thế có 2 cách trình bày.
Cách 1:
Từ (1) ta rút ra được
(*)
Thế (*) vào phương trình (2) ta được :
Thay x = 7 vào (*) ta suy ra
Vậy hệ phương trình có nghiệm duy nhất (7 ; 5).
Từ (1) ta rút ra được :
(*)
Thế (*) vào phương trình (2) ta được :
Thay x = 3 vào (*) ta suy ra
Vậy hệ phương trình có nghiệm duy nhất
Cách 2:
Vậy hệ phương trình có nghiệm duy nhất (7; 5).
Vậy hệ phương trình có nghiệm duy nhất
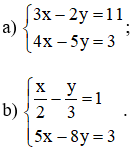
Lời giải
Bài toán giải hệ phương trình bằng phương pháp thế có 2 cách trình bày.
Cách 1:
Từ (1) ta rút ra được x = -y√5 (*)
Thế (*) vào phương trình (2) ta được :
Thay
vào (*) ta được:
Vậy hệ phương trình có nghiệm
Từ (2) ta rút ra được y = -4x + 4 - 2 √3 (*)
Thế (*) vào phương trình (1) ta được:
Thay x = 1 vào (*) ta được y = -4.1 + 4 - 2√3 = -2√3
Vậy hệ phương trình có nghiệm duy nhất (1; -2√3)
Cách 2 :
Vậy hệ phương trình có nghiệm duy nhất
Vậy hệ phương trình có nghiệm duy nhất (1; -2√3)
Xem thêm các bài Giải bài tập Toán lớp 9 hay và chi tiết khác:
- Luyện tập trang 15-16 (Tập 2)
- Bài 4: Giải hệ phương trình bằng phương pháp cộng đại số
- Luyện tập trang 19-20 (Tập 2)
- Bài 5: Giải bài toán bằng cách lập hệ phương trình
- Bài 6: Giải bài toán bằng cách lập hệ phương trình (Tiếp theo)
Tủ sách VIETJACK luyện thi vào 10 cho 2k11 (2026):
Đã có app VietJack trên điện thoại, giải bài tập SGK, SBT Soạn văn, Văn mẫu, Thi online, Bài giảng....miễn phí. Tải ngay ứng dụng trên Android và iOS.
Theo dõi chúng tôi miễn phí trên mạng xã hội facebook và youtube:Loạt bài Video Giải bài tập Toán lớp 9 hay, chi tiết của chúng tôi được các Thầy / Cô giáo biên soạn bám sát chương trình sách giáo khoa Toán 9 Tập 1, Tập 2 Đại số & Hình học.
Nếu thấy hay, hãy động viên và chia sẻ nhé! Các bình luận không phù hợp với nội quy bình luận trang web sẽ bị cấm bình luận vĩnh viễn.
- Giải Tiếng Anh 9 Global Success
- Giải sgk Tiếng Anh 9 Smart World
- Giải sgk Tiếng Anh 9 Friends plus
- Lớp 9 Kết nối tri thức
- Soạn văn 9 (hay nhất) - KNTT
- Soạn văn 9 (ngắn nhất) - KNTT
- Giải sgk Toán 9 - KNTT
- Giải sgk Khoa học tự nhiên 9 - KNTT
- Giải sgk Lịch Sử 9 - KNTT
- Giải sgk Địa Lí 9 - KNTT
- Giải sgk Giáo dục công dân 9 - KNTT
- Giải sgk Tin học 9 - KNTT
- Giải sgk Công nghệ 9 - KNTT
- Giải sgk Hoạt động trải nghiệm 9 - KNTT
- Giải sgk Âm nhạc 9 - KNTT
- Giải sgk Mĩ thuật 9 - KNTT
- Lớp 9 Chân trời sáng tạo
- Soạn văn 9 (hay nhất) - CTST
- Soạn văn 9 (ngắn nhất) - CTST
- Giải sgk Toán 9 - CTST
- Giải sgk Khoa học tự nhiên 9 - CTST
- Giải sgk Lịch Sử 9 - CTST
- Giải sgk Địa Lí 9 - CTST
- Giải sgk Giáo dục công dân 9 - CTST
- Giải sgk Tin học 9 - CTST
- Giải sgk Công nghệ 9 - CTST
- Giải sgk Hoạt động trải nghiệm 9 - CTST
- Giải sgk Âm nhạc 9 - CTST
- Giải sgk Mĩ thuật 9 - CTST
- Lớp 9 Cánh diều
- Soạn văn 9 Cánh diều (hay nhất)
- Soạn văn 9 Cánh diều (ngắn nhất)
- Giải sgk Toán 9 - Cánh diều
- Giải sgk Khoa học tự nhiên 9 - Cánh diều
- Giải sgk Lịch Sử 9 - Cánh diều
- Giải sgk Địa Lí 9 - Cánh diều
- Giải sgk Giáo dục công dân 9 - Cánh diều
- Giải sgk Tin học 9 - Cánh diều
- Giải sgk Công nghệ 9 - Cánh diều
- Giải sgk Hoạt động trải nghiệm 9 - Cánh diều
- Giải sgk Âm nhạc 9 - Cánh diều
- Giải sgk Mĩ thuật 9 - Cánh diều


Giải bài tập SGK & SBT
Tài liệu giáo viên
Sách
Khóa học
Thi online
Hỏi đáp

