Bài tập trắc nghiệm trang 8, 9 Sách bài tập Giải tích 12
Bài 1: Sự đồng biến, nghịch biến của hàm số
Bài tập trắc nghiệm trang 8, 9 Sách bài tập Giải tích 12:
Bài 1.9: Khẳng định nào sau đây đúng?
A. y = sin3x là hàm số chẵn
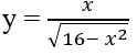
B. Hàm số
xác định trên R
C. Hàm số y = x3 + 4x - 5 đồng biến trên R
D. Hàm số y = sinx + 3x - 1 nghịch biến trên R
Bài 1.10: Hàm số
nghịch biến trên khoảng:
A. (-∞; 0) B. (-5; 0)
C. (0; 5) D. (5; +∞)
Bài 1.11: Hàm số
đồng biến trên khoảng:
A. (4; +∞) B. (-4; 4)
C. (-∞; -4) D. R
Bài 1.12: Phương trình nào sau đây có nghiệm duy nhất trên R?
A. 3sin2x - cos2x + 5 = 0 B. x2 + 5x + 6 = 0
C. x5 + x3 - 7 = 0 D. 3tanx - 4 = 0
Bài 1.13: Phương trình nào sau đây có nghiệm duy nhất trên R?
A. x2 - 7x + 12 = 0 B. x3 + 5x + 6 = 0
C. x4 - 3x2 + 1 = 0 D. 2sinx.cos2x - 2sinx - cos2x + 1 = 0
Bài 1.14: Phương trình nào sau đây có nghiệm duy nhất trên R?
A. (x - 5)(x2 - x - 12) = 0 B. -x3 + x2 - 3x + 2 = 0
C. sin2x - 5sinx + 4 = 0 D. sinx - cosx + 1 = 0
Bài 1.15: Tìm giá trị của tham số m để các hàm số y = x3 - 2mx2 + 12x - 7 đồng biến trên R.
A. m = 4 B. m ∈ (0; ∞)
C. m ∈ (-∞; 0) D. -3 ≤ m ≤ 3
Bài 1.16: Tìm giá trị của tham số m để hàm số y nghịch biến trên từng khoảng xác định
A. m < 1 hoặc m > 4 B. 0 < m < 1
C. m > 4 D. 1 ≤ m ≤ 4
Lời giải:
Đáp án và hướng dẫn giải
| Bài | 1.9 | 1.10 | 1.11 | 1.12 | 1.13 | 1.14 | 1.15 | 1.16 |
| Đáp án | C | C | B | C | B | B | D | A |
Bài 1.9: Đáp án: C.
Vì y' = 3x2 + 4 > 0, ∀x ∈ R.
Bài 1.10: Đáp án: C.
Gợi ý: Loại A, D vì tập xác định của hàm số là 25 - x2 ≥ 0 ⇔ -5 ≤ x ≤ 5.
Loại B, vì
| x | -5 | 0 |
| y | 0 | 5 |
Bài 1.11: Đáp án: B.
Vì
trên tập xác định (-4;4)
Cách khác: Loại A, C, D vì tập xác định của hàm số là (-4;4)
Bài 1.12: Đáp án: C
Vì f'(x) = (x5 + x3 - 7)' = 5x4 + 3x2 ≥ 0, ∀x ∈ R (dấu "=" xảy ra ⇔ x = 0). Suy ra f(x) đồng biến trên R. Mặt khác f(0) = -7, f(2) = 32 + 8 - 7 = 33 > 0. Hàm f(x) liên tục trên đoạn [0;2] nên tồn tại x0 ∈ (0;2) để f(x0) = 0. Suy ra f(x) = 0 có nghiệm duy nhất trên R.
Cách khác: Phương trình 3sin2x - cos2x + 5 = 0
⇔ 3sin2x + sin2x + 4 = 4(sin2x + 1) = 0, vô nghiệm
Các phương trình x2 - 5x + 6 = 0 và 3tanx - 4 = 0 có nhiều hơn một nghiệm. Từ đó suy ra phương trình x5 + x3 - 7 = 0 có nghiệm duy nhất trên R.
Bài 1.13: Đáp án:B.
Với f(x) = x3 + 5x + 6 thì vì f'(x) = 3x2 + 5 > 0, ∀x ∈ R nên hàm số f(x) luôn đồng biến trên R. Mặt khác f(-1) = 0. Vậy phương trình f(x) = 0 có nghiệm duy nhất trên R.
Bài 1.14: Đáp án: B.
Các phương trình còn lại có nhiều hơn một nghiệm:
(x - 5)(x2 - x - 12) = 0 có các nghiệm x = 5, 4, -3.
sin2x - 5sinx + 4 = 0 ⇔ sinx = 1, có vô số nghiệm
sinx - cosx + 1 = 0 có các nghiệm x = 0, x = 3π/2.
Bài 1.15: Đáp án: D.
Hàm số đồng biến trên tập xác định R khi và chỉ khi
y' = 3x2 - 4mx + 12 ≥ 0, ∀x ⇔ Δ' = 4m2 - 36 ≤ 0 ⇔ -3 ≤ m ≤ 3.
Bài 1.16: Đáp án: A.
Hàm số nghịch biến trên từng khoảng (-∞; -m), (-m; +∞) khi và chỉ khi
⇔ -m2 + 5m - 4 < 0
⇔
Các bài giải sách bài tập Giải tích 12 khác:
- Bài 1.5 trang 8 Sách bài tập Giải tích 12: Xác định tham số m để hàm số sau....
- Bài 1.6 trang 8 Sách bài tập Giải tích 12: Chứng minh phương trình sau có nghiệm....
- Bài 1.7 trang 8 Sách bài tập Giải tích 12: Chứng minh các bất đẳng thức sau....
- Bài 1.8 trang 8 Sách bài tập Giải tích 12: Xác định giá trị của b để hàm số....
Đã có app VietJack trên điện thoại, giải bài tập SGK, SBT Soạn văn, Văn mẫu, Thi online, Bài giảng....miễn phí. Tải ngay ứng dụng trên Android và iOS.
Theo dõi chúng tôi miễn phí trên mạng xã hội facebook và youtube:Nếu thấy hay, hãy động viên và chia sẻ nhé! Các bình luận không phù hợp với nội quy bình luận trang web sẽ bị cấm bình luận vĩnh viễn.
- Giải Tiếng Anh 12 Global Success
- Giải sgk Tiếng Anh 12 Smart World
- Giải sgk Tiếng Anh 12 Friends Global
- Lớp 12 Kết nối tri thức
- Soạn văn 12 (hay nhất) - KNTT
- Soạn văn 12 (ngắn nhất) - KNTT
- Giải sgk Toán 12 - KNTT
- Giải sgk Vật Lí 12 - KNTT
- Giải sgk Hóa học 12 - KNTT
- Giải sgk Sinh học 12 - KNTT
- Giải sgk Lịch Sử 12 - KNTT
- Giải sgk Địa Lí 12 - KNTT
- Giải sgk Giáo dục KTPL 12 - KNTT
- Giải sgk Tin học 12 - KNTT
- Giải sgk Công nghệ 12 - KNTT
- Giải sgk Hoạt động trải nghiệm 12 - KNTT
- Giải sgk Giáo dục quốc phòng 12 - KNTT
- Giải sgk Âm nhạc 12 - KNTT
- Giải sgk Mĩ thuật 12 - KNTT
- Lớp 12 Chân trời sáng tạo
- Soạn văn 12 (hay nhất) - CTST
- Soạn văn 12 (ngắn nhất) - CTST
- Giải sgk Toán 12 - CTST
- Giải sgk Vật Lí 12 - CTST
- Giải sgk Hóa học 12 - CTST
- Giải sgk Sinh học 12 - CTST
- Giải sgk Lịch Sử 12 - CTST
- Giải sgk Địa Lí 12 - CTST
- Giải sgk Giáo dục KTPL 12 - CTST
- Giải sgk Tin học 12 - CTST
- Giải sgk Hoạt động trải nghiệm 12 - CTST
- Giải sgk Âm nhạc 12 - CTST
- Lớp 12 Cánh diều
- Soạn văn 12 Cánh diều (hay nhất)
- Soạn văn 12 Cánh diều (ngắn nhất)
- Giải sgk Toán 12 Cánh diều
- Giải sgk Vật Lí 12 - Cánh diều
- Giải sgk Hóa học 12 - Cánh diều
- Giải sgk Sinh học 12 - Cánh diều
- Giải sgk Lịch Sử 12 - Cánh diều
- Giải sgk Địa Lí 12 - Cánh diều
- Giải sgk Giáo dục KTPL 12 - Cánh diều
- Giải sgk Tin học 12 - Cánh diều
- Giải sgk Công nghệ 12 - Cánh diều
- Giải sgk Hoạt động trải nghiệm 12 - Cánh diều
- Giải sgk Giáo dục quốc phòng 12 - Cánh diều
- Giải sgk Âm nhạc 12 - Cánh diều


Giải bài tập SGK & SBT
Tài liệu giáo viên
Sách
Khóa học
Thi online
Hỏi đáp

