Giải sgk, sbt Toán 9 trang 14 (sách mới)
Lời giải sgk, sbt Toán 9 trang 14 sách mới Kết nối tri thức, Cánh diều, Chân trời sáng tạo. Mời các bạn đón đọc:
Giải sgk, sbt Toán 9 trang 14 (sách mới)
- Toán lớp 9 trang 14 Tập 1 (sách mới):
- Toán lớp 9 trang 14 Tập 2 (sách mới):
Lưu trữ: Giải Toán 9 trang 14 Tập 2 (sách cũ)
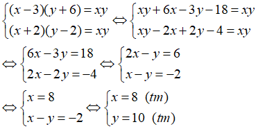
Bài 49 trang 14 Sách bài tập Toán 9 Tập 2: Để sửa một ngôi nhà cần một số thợ làm việc trong một thời gian quy định. Nếu giảm ba người thì thời gian kéo dài sáu ngày. Nếu tăng thêm hai người thì xong sớm hai ngày. Hỏi theo quy định cần bao nhiêu thợ và làm trong bao nhiêu ngày. Biết rằng khả năng lao động của mọi thợ đều như nhau?
Lời giải:
Gọi số thợ cần thiết là x (người),x ∈ N* , thời gian cần thiết là y (ngày), y > 0.
Coi toàn bộ công việc như một đơn vị công việc, thì một người thợ trong 1 ngày làm được ( công việc).
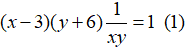
Nếu giảm đi 3 người thì thời gian kéo dài 6 ngày. Như vậy, x – 3 người làm trong y + 6 ngày thì xong công việc. Do đó, ta có phương trình:
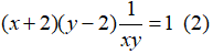
Nếu tăng thêm 2 người thì xong sớm 2 ngày. Như vậy, x + 2 người làm trong y – 2 ngày thì xong công việc. Do đó, ta có phương trình:
Từ (1) và (2) ta có hệ phương trình:
Vậy cần 8 người làm trong 10 ngày thì xong công việc.
Các bài giải bài tập sách bài tập Toán 9 (SBT Toán 9) khác:
Bài 35 (trang 13 Sách bài tập Toán 9 Tập 2): Tổng của hai số ...
Bài 36 (trang 13 Sách bài tập Toán 9 Tập 2): Bảy năm trước tuổi ...
Bài 37 (trang 13 Sách bài tập Toán 9 Tập 2): Cho một số có ...
Bài 38 (trang 13 Sách bài tập Toán 9 Tập 2): Hai anh Quang và ...
Bài 39 (trang 13 Sách bài tập Toán 9 Tập 2): Hôm qua mẹ của Lan ...
Bài 40 (trang 13 Sách bài tập Toán 9 Tập 2): Một sân trường hình ...
Bài 41 (trang 13 Sách bài tập Toán 9 Tập 2): Làm trần tầng một ...
Bài 42 (trang 14 Sách bài tập Toán 9 Tập 2): Trong phòng học có ...
Bài 43 (trang 14 Sách bài tập Toán 9 Tập 2): Trên một cánh đồng ...
Bài 44 (trang 14 Sách bài tập Toán 9 Tập 2): Hai người thợ cùng ...
Bài 45 (trang 14 Sách bài tập Toán 9 Tập 2): Hai công nhân cùng ...
Xem thêm các loạt bài Để học tốt Toán lớp 9 hay khác:
- Giải bài tập sgk Toán 9
- Các dạng bài tập Toán 9 chọn lọc
- Các dạng bài tập Toán 9 cực hay
- Đề thi vào 10 môn Toán
Tủ sách VIETJACK luyện thi vào 10 cho 2k11 (2026):
Đã có app VietJack trên điện thoại, giải bài tập SGK, SBT Soạn văn, Văn mẫu, Thi online, Bài giảng....miễn phí. Tải ngay ứng dụng trên Android và iOS.
Theo dõi chúng tôi miễn phí trên mạng xã hội facebook và youtube:Loạt bài Giải sách bài tập Toán 9 | Giải sbt Toán 9 của chúng tôi được biên soạn bám sát nội dung Sách bài tập Toán 9 Tập 1 và Tập 2.
Nếu thấy hay, hãy động viên và chia sẻ nhé! Các bình luận không phù hợp với nội quy bình luận trang web sẽ bị cấm bình luận vĩnh viễn.
- Giải Tiếng Anh 9 Global Success
- Giải sgk Tiếng Anh 9 Smart World
- Giải sgk Tiếng Anh 9 Friends plus
- Lớp 9 Kết nối tri thức
- Soạn văn 9 (hay nhất) - KNTT
- Soạn văn 9 (ngắn nhất) - KNTT
- Giải sgk Toán 9 - KNTT
- Giải sgk Khoa học tự nhiên 9 - KNTT
- Giải sgk Lịch Sử 9 - KNTT
- Giải sgk Địa Lí 9 - KNTT
- Giải sgk Giáo dục công dân 9 - KNTT
- Giải sgk Tin học 9 - KNTT
- Giải sgk Công nghệ 9 - KNTT
- Giải sgk Hoạt động trải nghiệm 9 - KNTT
- Giải sgk Âm nhạc 9 - KNTT
- Giải sgk Mĩ thuật 9 - KNTT
- Lớp 9 Chân trời sáng tạo
- Soạn văn 9 (hay nhất) - CTST
- Soạn văn 9 (ngắn nhất) - CTST
- Giải sgk Toán 9 - CTST
- Giải sgk Khoa học tự nhiên 9 - CTST
- Giải sgk Lịch Sử 9 - CTST
- Giải sgk Địa Lí 9 - CTST
- Giải sgk Giáo dục công dân 9 - CTST
- Giải sgk Tin học 9 - CTST
- Giải sgk Công nghệ 9 - CTST
- Giải sgk Hoạt động trải nghiệm 9 - CTST
- Giải sgk Âm nhạc 9 - CTST
- Giải sgk Mĩ thuật 9 - CTST
- Lớp 9 Cánh diều
- Soạn văn 9 Cánh diều (hay nhất)
- Soạn văn 9 Cánh diều (ngắn nhất)
- Giải sgk Toán 9 - Cánh diều
- Giải sgk Khoa học tự nhiên 9 - Cánh diều
- Giải sgk Lịch Sử 9 - Cánh diều
- Giải sgk Địa Lí 9 - Cánh diều
- Giải sgk Giáo dục công dân 9 - Cánh diều
- Giải sgk Tin học 9 - Cánh diều
- Giải sgk Công nghệ 9 - Cánh diều
- Giải sgk Hoạt động trải nghiệm 9 - Cánh diều
- Giải sgk Âm nhạc 9 - Cánh diều
- Giải sgk Mĩ thuật 9 - Cánh diều


Giải bài tập SGK & SBT
Tài liệu giáo viên
Sách
Khóa học
Thi online
Hỏi đáp

