Sách bài tập Toán 9 Ôn tập chương 3 phần Đại số
Sách bài tập Toán 9 Ôn tập chương 3 phần Đại số
Bài 51 trang 15 Sách bài tập Toán 9 Tập 2: Giải các hệ phương trình sau:
Lời giải:
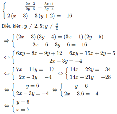
Bài 52 trang 15 Sách bài tập Toán 9 Tập 2: Giải các hệ phương trình sau:
Lời giải:
Bài 53 trang 15 Sách bài tập Toán 9 Tập 2: Tìm các giá trị của a và b để hệ phương trình:
có nghiệm là (3; -2).
Lời giải:
Hệ phương trình
có nghiệm là (3; -2) nên ta có:
Vậy a = 3 và b = 3 thì hệ phương trình:
có nghiệm là (3; -2).
Bài 54 trang 15 Sách bài tập Toán 9 Tập 2: Tìm một số có hai chữ số biết rằng hai lần chữ số hàng chục lớn hơn 5 lần chữ số hàng đơn vị là 1 và chữ số hàng chục chia cho chữ số hàng đơn vị được thương là 2 và dư cũng là 2.
Lời giải:
Gọi x là chữ số hàng chục, y là chữ số hàng đơn vị.
Điều kiện: x, y ∈N*, 0 < x ≤ 9; 0 < y ≤ 9
Vì hai lần chữ số hàng chục lớn hơn 5 lần chữ số hàng đơn vị là 1 nên ta có: 2x – 5y = 1
Vì chữ số hàng chục chia cho chữ số hàng đơn vị được thương là 2 và dư cũng là 2 nên ta có: x = 2y + 2
Ta có hệ phương trình:
Giá trị của x và y thỏa mãn điều kiện bài toán.
Vậy số cần tìm là 83.
Bài 55 trang 16 Sách bài tập Toán 9 Tập 2: Một xe lửa phải vận chuyển một lượng hàng. Nếu xếp vào mỗi toa 15 tấn hàng thì còn thừa lại 3 tấn, nếu xếp vào mỗi toa 16 tấn thì còn có thể chứa thêm 5 tấn nữa. Hỏi xe lửa có mấy toa và phải chở bao nhiêu tấn hàng?
Lời giải:
Gọi x (tấn) là số hàng cần chuyển, y (toa) là số toa tàu để chở.
Điều kiện: x > 3, y ∈N*
Vì xếp vào mỗi toa 15 tấn hàng thì còn thừa lại 3 tấn nên ta có:
15y = x – 3
Vì xếp vào mỗi toa 16 tấn thì còn có thể chứa thêm 5 tấn nữa nên ta có:
16y = x + 5
Ta có hệ phương trình:
Giá trị của x và y thỏa mãn điều kiện bài toán.
Vậy xe lửa có 8 toa và số hàng cần chở là 123 tấn.
Bài 56 trang 16 Sách bài tập Toán 9 Tập 2: Hai đội xe chở cát để san lấp một khu đất. Nếu hai đội cùng làm thì trong 12 ngày xong việc. Nhưng hai đội chỉ cùng làm trong 8 ngày. Sau đó đội thứ nhất làm tiếp một mình trong 7 ngày nữa thì xong việc. Hỏi mỗi đội làm một mình bao lâu thì xong việc?
Lời giải:
Gọi x, y (ngày) lần lượt là thời gian mà đội thứ nhất và đội thứ hai làm riêng xong công việc. Điều kiện: x > 12, y > 12
Như vậy, trong 1 ngày đội thứ nhất làm được 1/x (công việc), đội thứ hai làm được 1/y (công việc).
Trong 1 ngày, cả hai đội làm được 1/12 (công việc)
Ta có phương trình: 1/x + 1/y = 1/12
Vì hai đội chỉ cùng làm trong 8 ngày, sau đó đội thứ nhất làm tiếp một mình trong 7 ngày nữa thì xong việc nên ta có: 8/12 + 7/x = 1
Ta có hệ phương trình:
Đặt m = 1/x , n = 1/y , ta có:
Ta có: 1/x = 1/21 ⇔ x = 21
1/y = 1/28 ⇔ y = 28
Giá trị của x và y thỏa điều kiện bài toán.
Vậy đội thứ nhất làm một mình xong công việc trong 21 ngày, đội thứ hai làm một mình xong công việc trong 28 ngày.
Bài 57 trang 16 Sách bài tập Toán 9 Tập 2: Hai xe lửa khởi hành đồng thời từ hai ga cách nhau 750km và đi ngược chiều nhau, sau 10 giờ chúng gặp nhau. Nếu xe thứ nhất khởi hành trước xe thứ hai 3 giờ 45 phút thì sau khi xe thứ hai đi được 8 giờ chúng gặp nhau. Tính vận tốc của mỗi xe.
Lời giải:
Gọi x, y (km/h) lần lượt là vận tốc của xe thứ nhất và xe thứ hai. Điều kiện: x > 0, y > 0.
Vì hai xe khởi hành đồng thời và đi ngược chiều nhau, sau 10 giờ chúng gặp nhau nên ta có:
10x + 10y = 750
Vì xe thứ nhất khởi hành trước xe thứ hai 3 giờ 45 phút thì sau khi xe thứ hai đi được 8 giờ chúng gặp nhau nên thời gian xe thứ nhất đi được là:
3 giờ 45 phút + 8 giờ = 11 giờ 45 phút = 11(3/4) = 47/4 giờ
Ta có phương trình: (47/4)x + 8y = 750
Ta có hệ phương trình:
Giá trị của x và y thỏa điều kiện bài toán.
Vậy vận tốc của xe thứ nhất là 40 km/h, vận tốc của xe thứ hai là 35 km/h.
Bài 1 trang 16 Sách bài tập Toán 9 Tập 2: Giải các hệ phương trình:
Lời giải:
Vậy hệ phương trình đã cho có một nghiệm (x; y) = (3; 1)
Vậy hệ phương trình đã cho có một nghiệm (x; y) = (7; 6)
Bài 2 trang 16 Sách bài tập Toán 9 Tập 2: Năm nay người ta áp dụng kĩ thuật mới trên hai cánh đồng trồng lúa ở ấp Minh Châu. Vì thế lượng lúa thu được trên cánh đồng thứ nhất tăng lên 30% so với năm ngoái, trên cánh đồng thứ hai lượng lúa thu được tăng 20%. Tổng cộng cả hai cánh đồng thu được 630 tấn. Hỏi trên mỗi cánh đồng năm nay thu được bao nhiêu lúa, biết rằng trên cả hai cánh đồng này năm ngoái chỉ thu được 500 tấn?
Lời giải:
Gọi khối lượng lúa thu được năm ngoái của cánh đồng thứ nhất là x (tấn)
Cánh đồng thứ hai thu được là y (tấn)
Điều kiện: x > 0; y > 0
Năm ngoái cả hai cánh đồng thu được là 500 tấn, ta có phương trình:
x + y = 500
Số lượng lúa cánh đồng thứ nhất năm nay tăng 30% bằng
(tấn)
Lượng lúa cánh đồng thứ hai tăng 20% bằng
(tấn)
Năm nay cả 2 cánh đồng tăng được 630 – 500 = 130 tấn, ta có phương trình:
Ta có hệ phương trình:
Giá trị x = 300; y = 200 thỏa mãn điều kiện bài toán.
Vậy năm nay thuở ruộng thứ nhất thu được:
tấn
Thuở ruộng thứ hai năm nay thu được: 630 – 390 = 240 tấn
Bài 3 trang 16 Sách bài tập Toán 9 Tập 2: Người ta trộn hai loại quặng sắt với nhau, một loại chứa 72% sắt, loại thứ hai chứa 58% sắt được một loại quặng chứa 62% sắt. Nếu tăng khối lượng của mỗi loại quặng thêm 15 tấn thì được một loại quặng chứa 63,25% sắt. Tìm khối lượng quặng của mỗi loại đã trộn.
Lời giải:
Gọi khối lượng quặng loại thứ nhất là x ( tấn), loại thứ hai là y (tấn)
Điều kiện: x > 0; y > 0
Lượng sắt nguyên chất có trong mỗi loại quặng bằng lượng sắt có trong hỗn hợp ta có phương trình:
Thêm mỗi loại quặng 15 tấn ta được hỗn hợp chứa 63,25% sắt, ta có phương trình:
Ta có hệ phương trình:
Cả hai giá trị x = 12; y = 30 thỏa mãn điều kiện bài toán.
Vậy loại quặng thứ nhất có 12 tấn, loại quặng thứ hai có 30 tấn.
Bài 4 trang 16 Sách bài tập Toán 9 Tập 2: Một người đi ngựa và một người đi bộ đều đi từ bản A đến bản B. Người đi ngựa đến B trước người đi bộ 50 phút rồi lập tức quay trở về A và gặp người đi bộ tại một địa điểm cách B là 2km. Trên cả quãng đường từ A đến B và ngược lại, người đi ngựa đi hết 1 giờ 40 phút. Hãy tính khoảng cách AB và vận tốc của mỗi người.
Lời giải:
Giả sử khoảng cách AB = d (km).
Gọi vận tốc của người đi bộ là x km/h, x > 0.
Theo đầu bài, người đi ngựa đi quãng đường AB hết 5/6 giờ. Do đó vận tốc của người đi ngựa là d: 5/6 = 6d/5 (km).
Người đi ngựa đến trước người đi bộ 5/6 giờ. Điều đó có nghĩa là
Từ đó cũng suy ra 6d/5 = 2x; nghĩa là vận tốc của người đi ngựa là 2x km/h. Vì người đi ngựa khi quay lại gặp người đi bộ ở điểm cách B một khoảng là 2km nên:
Từ (1) và (2), ta có hệ phương trình
Giải hệ này ta được d = 6, x = 3,6.
Vậy: Khoảng cách AB = d = 6 km,
Vận tốc của người đi bộ là 3,6 km/h,
Vận tốc của người đi ngựa là 7,2 km/h.
Xem thêm Video Giải sách bài tập Toán lớp 9 (SBT Toán 9) hay và chi tiết khác:
- Bài 1: Hàm số y = ax2 (a ≠ 0)
- Bài 2: Đồ thị hàm số y = ax2 (a ≠ 0)
- Bài 3: Phương trình bậc hai một ẩn
- Bài 4: Công thức nghiệm của phương trình bậc hai
Xem thêm các loạt bài Để học tốt Toán lớp 9 hay khác:
- Giải bài tập Toán 9
- Chuyên đề Toán 9 (có đáp án - cực hay)
- Lý thuyết & 500 Bài tập Toán 9 (có đáp án)
- Các dạng bài tập Toán 9 cực hay
- Đề thi Toán 9
- Đề thi vào 10 môn Toán
Tủ sách VIETJACK luyện thi vào 10 cho 2k11 (2026):
Đã có app VietJack trên điện thoại, giải bài tập SGK, SBT Soạn văn, Văn mẫu, Thi online, Bài giảng....miễn phí. Tải ngay ứng dụng trên Android và iOS.
Theo dõi chúng tôi miễn phí trên mạng xã hội facebook và youtube:Loạt bài Giải sách bài tập Toán 9 hay, chi tiết của chúng tôi được biên soạn bám sát nội dung Sách bài tập Toán 9 Tập 1 & Tập 2.
Nếu thấy hay, hãy động viên và chia sẻ nhé! Các bình luận không phù hợp với nội quy bình luận trang web sẽ bị cấm bình luận vĩnh viễn.
- Giải Tiếng Anh 9 Global Success
- Giải sgk Tiếng Anh 9 Smart World
- Giải sgk Tiếng Anh 9 Friends plus
- Lớp 9 Kết nối tri thức
- Soạn văn 9 (hay nhất) - KNTT
- Soạn văn 9 (ngắn nhất) - KNTT
- Giải sgk Toán 9 - KNTT
- Giải sgk Khoa học tự nhiên 9 - KNTT
- Giải sgk Lịch Sử 9 - KNTT
- Giải sgk Địa Lí 9 - KNTT
- Giải sgk Giáo dục công dân 9 - KNTT
- Giải sgk Tin học 9 - KNTT
- Giải sgk Công nghệ 9 - KNTT
- Giải sgk Hoạt động trải nghiệm 9 - KNTT
- Giải sgk Âm nhạc 9 - KNTT
- Giải sgk Mĩ thuật 9 - KNTT
- Lớp 9 Chân trời sáng tạo
- Soạn văn 9 (hay nhất) - CTST
- Soạn văn 9 (ngắn nhất) - CTST
- Giải sgk Toán 9 - CTST
- Giải sgk Khoa học tự nhiên 9 - CTST
- Giải sgk Lịch Sử 9 - CTST
- Giải sgk Địa Lí 9 - CTST
- Giải sgk Giáo dục công dân 9 - CTST
- Giải sgk Tin học 9 - CTST
- Giải sgk Công nghệ 9 - CTST
- Giải sgk Hoạt động trải nghiệm 9 - CTST
- Giải sgk Âm nhạc 9 - CTST
- Giải sgk Mĩ thuật 9 - CTST
- Lớp 9 Cánh diều
- Soạn văn 9 Cánh diều (hay nhất)
- Soạn văn 9 Cánh diều (ngắn nhất)
- Giải sgk Toán 9 - Cánh diều
- Giải sgk Khoa học tự nhiên 9 - Cánh diều
- Giải sgk Lịch Sử 9 - Cánh diều
- Giải sgk Địa Lí 9 - Cánh diều
- Giải sgk Giáo dục công dân 9 - Cánh diều
- Giải sgk Tin học 9 - Cánh diều
- Giải sgk Công nghệ 9 - Cánh diều
- Giải sgk Hoạt động trải nghiệm 9 - Cánh diều
- Giải sgk Âm nhạc 9 - Cánh diều
- Giải sgk Mĩ thuật 9 - Cánh diều


Giải bài tập SGK & SBT
Tài liệu giáo viên
Sách
Khóa học
Thi online
Hỏi đáp

