Giải Toán 12 trang 16 Kết nối tri thức, Chân trời sáng tạo, Cánh diều
Trọn bộ lời giải bài tập Toán 12 trang 16 Kết nối tri thức, Chân trời sáng tạo, Cánh diều sẽ giúp học sinh lớp 12 dễ dàng làm bài tập Toán 12 trang 16. Bạn vào trang hoặc Xem lời giải để theo dõi chi tiết.
Giải Toán 12 trang 16 Kết nối tri thức, Chân trời sáng tạo, Cánh diều
- Toán lớp 12 trang 16 Tập 1 (sách mới):
- Toán lớp 12 trang 16 Tập 2 (sách mới):
Lưu trữ: Giải Toán 12 trang 16 (sách cũ)
Bài 11 (trang 16 sgk Giải Tích 12 nâng cao): Tìm cực trị của các hàm số sau:
Lời giải:
a) Hàm số đã cho xác định trên R.
Ta có: f’(x) = x2+4x+3
Từ đó f’(x) = 0 ⇔ x = -1 hoặc x = -3
Cách 1.
Bảng biến thiên
Vậy hàm số đạt cực đại tại điểm x = -3, giá trị cực đại của hàm số là: fCĐ = f(-3) = -1.
Hàm số đạt cực tiểu tại điểm x = -1, giá trị cực tiển của hàm số là fCT = f(-1) = -7/3
Cách 2. f’’(x) = 2x + 4 ⇒ f’’(-3) = -2 < 0; f’’(-1) = 2 > 0
Vậy hàm đạt cực đại tại điểm x = -3 giá trị cực đại của hàm số là:
fCĐ = f(-3) = -1.
Hàm số đạt cực tiểu tại điểm x = -1, fCT = f(-1) = -7/3
b) Tập xác định: R
f' (x)=x2-2x+2=(x-1)2+1>0,∀x ∈R=>f(x) luôn đồng biến nên hàm số không có cực trị.
c) Tập xác định: R \ {0}
Cách 1.
Bảng biến thiên
Vậy hàm số cực đại tại x = -1; fCĐ=f(-1)=-2
Hàm số cực tiểu tại x = 1; fCT=f(1)=2
Cách 2.
Vì f’’(- 1) = -2 < 0 nên hàm số đạt cực đại tại x = -1; fCĐ = f(-1) = -2
f'' (1) = 2 > 0 nên hàm số đạt cực tiểu tại x = 1; fCT = f(1) = 2
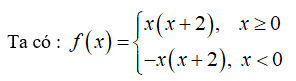
d) f(x) xác định liên tục trên R.
Với x > 0, f'(x) = 2x + 2
Từ đó f'(x) = 0 ⇔ x = -1 (loại)
Với x < 0, f'(x) = -2x - 2
Từ đó f'(x) = 0 ⇔ x = -1 (thỏa mãn)
Với x = 0, hàm số không có đạo hàm (chú ý sgk giải tích 12 nâng cao trang 12)
Hàm số đạt cực đại tại x = -1, fCĐ = f(-1) = 1
Hàm số đạt cực tiểu tại x = 0, fCT = f(0) = 0
Chú ý: mặc dù không tồn tại đạo hàm tại điểm , nhưng hàm số vẫn có thể đạt cực trị tại điểm này.
e) Tập xác định D = R
f’(x) = x4-x2
f' (x)=0 ⇔ x = 0 hoặc x = ±1
Bảng biến thiên:
Vậy hàm số đạt cực đại tại x = -1, fCD = f(-1) = 32/15 và hàm số cực tiểu tại x = 1; fCT = f(1) = 28/15
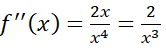
f) Tập xác định D = R \ {1}
Ta có:
f'(x)=0 ⇔ x = 0 hoặc x = 2. Ta có bảng biến thiên:
Vậy hàm số cực đại tại x = 0, fCĐ = f(0) = -3 và hàm số cực tiểu tại x = 2; fCT = f(2) = 1
Các bài giải bài tập Giải Tích 12 nâng cao Bài 2 Chương 1 khác:
Bài 11 (trang 16 SGK Giải Tích 12 nâng cao): Tìm cực trị của các hàm số sau....
Bài 12 (trang 17 SGK Giải Tích 12 nâng cao): Tìm cực trị của các hàm số sau:...
Bài 13 (trang 17 SGK Giải Tích 12 nâng cao): Tìm các hệ số a, b, c, d của hàm số...
Bài 14 (trang 17 SGK Giải Tích 12 nâng cao): Xác định các hệ số a, b, c sao cho hàm số...
Bài 15 (trang 17 SGK Giải Tích 12 nâng cao): Chứng minh rằng với mọi giá trị của m, hàm số...
Đã có app VietJack trên điện thoại, giải bài tập SGK, SBT Soạn văn, Văn mẫu, Thi online, Bài giảng....miễn phí. Tải ngay ứng dụng trên Android và iOS.
Theo dõi chúng tôi miễn phí trên mạng xã hội facebook và youtube:Nếu thấy hay, hãy động viên và chia sẻ nhé! Các bình luận không phù hợp với nội quy bình luận trang web sẽ bị cấm bình luận vĩnh viễn.
- Giải Tiếng Anh 12 Global Success
- Giải sgk Tiếng Anh 12 Smart World
- Giải sgk Tiếng Anh 12 Friends Global
- Lớp 12 Kết nối tri thức
- Soạn văn 12 (hay nhất) - KNTT
- Soạn văn 12 (ngắn nhất) - KNTT
- Giải sgk Toán 12 - KNTT
- Giải sgk Vật Lí 12 - KNTT
- Giải sgk Hóa học 12 - KNTT
- Giải sgk Sinh học 12 - KNTT
- Giải sgk Lịch Sử 12 - KNTT
- Giải sgk Địa Lí 12 - KNTT
- Giải sgk Giáo dục KTPL 12 - KNTT
- Giải sgk Tin học 12 - KNTT
- Giải sgk Công nghệ 12 - KNTT
- Giải sgk Hoạt động trải nghiệm 12 - KNTT
- Giải sgk Giáo dục quốc phòng 12 - KNTT
- Giải sgk Âm nhạc 12 - KNTT
- Giải sgk Mĩ thuật 12 - KNTT
- Lớp 12 Chân trời sáng tạo
- Soạn văn 12 (hay nhất) - CTST
- Soạn văn 12 (ngắn nhất) - CTST
- Giải sgk Toán 12 - CTST
- Giải sgk Vật Lí 12 - CTST
- Giải sgk Hóa học 12 - CTST
- Giải sgk Sinh học 12 - CTST
- Giải sgk Lịch Sử 12 - CTST
- Giải sgk Địa Lí 12 - CTST
- Giải sgk Giáo dục KTPL 12 - CTST
- Giải sgk Tin học 12 - CTST
- Giải sgk Hoạt động trải nghiệm 12 - CTST
- Giải sgk Âm nhạc 12 - CTST
- Lớp 12 Cánh diều
- Soạn văn 12 Cánh diều (hay nhất)
- Soạn văn 12 Cánh diều (ngắn nhất)
- Giải sgk Toán 12 Cánh diều
- Giải sgk Vật Lí 12 - Cánh diều
- Giải sgk Hóa học 12 - Cánh diều
- Giải sgk Sinh học 12 - Cánh diều
- Giải sgk Lịch Sử 12 - Cánh diều
- Giải sgk Địa Lí 12 - Cánh diều
- Giải sgk Giáo dục KTPL 12 - Cánh diều
- Giải sgk Tin học 12 - Cánh diều
- Giải sgk Công nghệ 12 - Cánh diều
- Giải sgk Hoạt động trải nghiệm 12 - Cánh diều
- Giải sgk Giáo dục quốc phòng 12 - Cánh diều
- Giải sgk Âm nhạc 12 - Cánh diều


Giải bài tập SGK & SBT
Tài liệu giáo viên
Sách
Khóa học
Thi online
Hỏi đáp

