Giải bài 19 trang 90 SGK Hình Học 12 nâng cao
Bài 2: Phương trình mặt phẳng
Bài 19 (trang 90 sgk Hình Học 12 nâng cao): Tìm tập hợp các điểm cách đều 2 mặt phẳng (α) và (α') trong mỗi trường hợp sau:
a) (α): 2x-y+4z+5=0, (α' ):3x+5y-z-1=0
b) (α):2x+y-2z-1=0, (α' ):6x-3y+2z=0
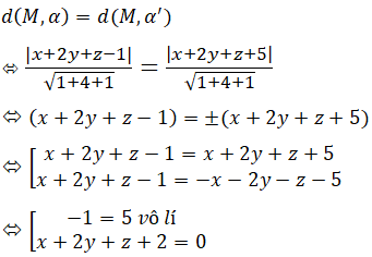
c) (α):x+2y+z-1=0, (α' ):x+2y+z+5=0
Lời giải:
a) Gọi điểm M(x, y, z) là điểm cách đều (α) và (α' ),khi đó:
Vậy quỹ tích các điểm M cách đều 2 mặt phẳng đã cho là mặt phẳng có phương trình (1) và (2)
b) Cách giải tương tự cầu a, ta có tập hợp các điểm M cách đều 2 mặt phẳng đã cho có phương trình sau : -4x+16y-20z-1=0 và 23x-2y-8z-13=0
c) Gọi điểm M(x, y, z) là điểm cách đều (α) và (α'),khi đó:
Vậy quỹ tích điểm M cần tìm cần tìm là mặt phẳng Phương trình x + 2y +z +2 = 0
Các bài giải bài tập Hình Học 12 nâng cao Bài 2 Chương 3 khác:
Bài 15 (trang 89 SGK Hình Học 12 nâng cao): Viết Phương trình mặt phẳng trong mỗi....
Bài 16 (trang 89 SGK Hình Học 12 nâng cao): Xét các vị trị tương đối của mỗi cặp phẳng cho bởi ...
Bài 17 (trang 89 SGK Hình Học 12 nâng cao): Xác định giá trị của m và n để mỗi cặp sau đây ...
Bài 18 (trang 90 SGK Hình Học 12 nâng cao): Cho hai mặt phẳng có phương trình lần lượt là:...
Bài 20 (trang 90 SGK Hình Học 12 nâng cao): Tìm khoảng cách giửa hai mặt phẳng:....
Bài 21 (trang 90 SGK Hình Học 12 nâng cao): Tìm điểm M trên trục Oz trong mỗi trường hợp...
Bài 22 (trang 90 SGK Hình Học 12 nâng cao): Cho tứ diện OABC có tam giác OAB, OBC, OCA ...
Bài 23 (trang 90 SGK Hình Học 12 nâng cao): Viết Phương trình mặt phẳng song song với...
Đã có app VietJack trên điện thoại, giải bài tập SGK, SBT Soạn văn, Văn mẫu, Thi online, Bài giảng....miễn phí. Tải ngay ứng dụng trên Android và iOS.
Theo dõi chúng tôi miễn phí trên mạng xã hội facebook và youtube:Nếu thấy hay, hãy động viên và chia sẻ nhé! Các bình luận không phù hợp với nội quy bình luận trang web sẽ bị cấm bình luận vĩnh viễn.
- Giải Tiếng Anh 12 Global Success
- Giải sgk Tiếng Anh 12 Smart World
- Giải sgk Tiếng Anh 12 Friends Global
- Lớp 12 Kết nối tri thức
- Soạn văn 12 (hay nhất) - KNTT
- Soạn văn 12 (ngắn nhất) - KNTT
- Giải sgk Toán 12 - KNTT
- Giải sgk Vật Lí 12 - KNTT
- Giải sgk Hóa học 12 - KNTT
- Giải sgk Sinh học 12 - KNTT
- Giải sgk Lịch Sử 12 - KNTT
- Giải sgk Địa Lí 12 - KNTT
- Giải sgk Giáo dục KTPL 12 - KNTT
- Giải sgk Tin học 12 - KNTT
- Giải sgk Công nghệ 12 - KNTT
- Giải sgk Hoạt động trải nghiệm 12 - KNTT
- Giải sgk Giáo dục quốc phòng 12 - KNTT
- Giải sgk Âm nhạc 12 - KNTT
- Giải sgk Mĩ thuật 12 - KNTT
- Lớp 12 Chân trời sáng tạo
- Soạn văn 12 (hay nhất) - CTST
- Soạn văn 12 (ngắn nhất) - CTST
- Giải sgk Toán 12 - CTST
- Giải sgk Vật Lí 12 - CTST
- Giải sgk Hóa học 12 - CTST
- Giải sgk Sinh học 12 - CTST
- Giải sgk Lịch Sử 12 - CTST
- Giải sgk Địa Lí 12 - CTST
- Giải sgk Giáo dục KTPL 12 - CTST
- Giải sgk Tin học 12 - CTST
- Giải sgk Hoạt động trải nghiệm 12 - CTST
- Giải sgk Âm nhạc 12 - CTST
- Lớp 12 Cánh diều
- Soạn văn 12 Cánh diều (hay nhất)
- Soạn văn 12 Cánh diều (ngắn nhất)
- Giải sgk Toán 12 Cánh diều
- Giải sgk Vật Lí 12 - Cánh diều
- Giải sgk Hóa học 12 - Cánh diều
- Giải sgk Sinh học 12 - Cánh diều
- Giải sgk Lịch Sử 12 - Cánh diều
- Giải sgk Địa Lí 12 - Cánh diều
- Giải sgk Giáo dục KTPL 12 - Cánh diều
- Giải sgk Tin học 12 - Cánh diều
- Giải sgk Công nghệ 12 - Cánh diều
- Giải sgk Hoạt động trải nghiệm 12 - Cánh diều
- Giải sgk Giáo dục quốc phòng 12 - Cánh diều
- Giải sgk Âm nhạc 12 - Cánh diều


Giải bài tập SGK & SBT
Tài liệu giáo viên
Sách
Khóa học
Thi online
Hỏi đáp

