Giải bài 3 trang 125 SGK Hình Học 12 nâng cao
Ôn tập cuối năm
Bài 3 (trang 125 sgk Hình Học 12 nâng cao): Cho khối lăng trụ tam giác ABC.A’B’C’, M là trung điểm cạnh AB. Trong các đẳng thức sau đây, đẳng thức nào sai.
A. VA’B’C’C=VMA’B’C’
B. VABCC’=VA’BCC’
C. VMA'B'C'=VA'ABC
D. VMA'B'C'=VAA'B'C'/2
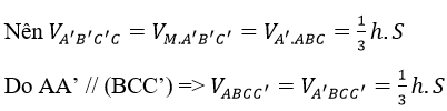
Lời giải:
Gọi h là độ dài đường cao của lăng trụ, và S là diện tích tam giác ABC. Ta có:
d(C,(A' B' C' ))=d(M,(A' B' C'))=h
Vậy (A) và (B) và (C) là các đẳng thức đúng.
Chọn D.
Các bài giải bài tập Hình học 12 nâng cao Ôn tập cuối năm khác:
Bài tập tự luận
Bài 1 (trang 122 SGK Hình Học 12 nâng cao): Chon hình lăng trụ ABC.A’B’C’ với cạnh bên....
Bài 2 (trang 122 SGK Hình Học 12 nâng cao): Cho tứ diện ABCD có thể tích V....
Bài 3 (trang 122 SGK Hình Học 12 nâng cao): Cho hình hộp ABCD.A’B’C’D’ có thể tích V...
Bài 4 (trang 122 SGK Hình Học 12 nâng cao): Chứng minh rằng trung điểm các cạnh của một...
Bài 5 (trang 122 SGK Hình Học 12 nâng cao): Cho hình vuông ABCD nội tiếp đường tròn (O; R)....
Bài 6 (trang 123 SGK Hình Học 12 nâng cao): Cho lục giác đều ABCDEF cạnh a.....
Bài 7 (trang 123 SGK Hình Học 12 nâng cao): Cho hình trụ có bán kính R và đường cao R √2. ...
Bài 8 (trang 123 SGK Hình Học 12 nâng cao): Trong không gian tọa độ OXyz cho các điểm A(1; 5; 3);...
Bài 9 (trang 123 SGK Hình Học 12 nâng cao): Trong không gian tọa độ Oxyz, cho đường thẳng Δ có...
Bài 10 (trang 124 SGK Hình Học 12 nâng cao): Trong không gian tọa đọ Oxyz cho hai...
Bài 11 (trang 124 SGK Hình Học 12 nâng cao): Trong không gian tọa độ Oxyz, cho đường thẳng Δ...
Bài 12 (trang 124 SGK Hình Học 12 nâng cao): Cho hình hộp chữ nhật ABCD.A’B’C’D’ với:...
Câu hỏi trắc nghiệm
Bài 1 (trang 124 SGK Hình Học 12 nâng cao): Cho H là hình chóp tứ giác đều S.ABCD. ....
Bài 2 (trang 124 SGK Hình Học 12 nâng cao): Gọi H lăng trụ đều ABCDEF.A’B’C’D’E’F’. ...
Bài 3 (trang 125 SGK Hình Học 12 nâng cao): Cho khối lăng trụ tam giác ABC.A’B’C’, M là...
Bài 4 (trang 125 SGK Hình Học 12 nâng cao): Cho khối lăng trụ tam giác ABC.A’B’C’. Trong các...
Bài 5 (trang 125 SGK Hình Học 12 nâng cao): Cho khối chóp tứ giác S.ABCD và các điểm...
Bài 6 (trang 125 SGK Hình Học 12 nâng cao): Trong các mệnh đề sau, mệnh đề nào đúng?....
Bài 7 (trang 125 SGK Hình Học 12 nâng cao): Trong các mệnh đề sau, mệnh đề nào đúng?...
Bài 8 (trang 126 SGK Hình Học 12 nâng cao): Cho khối trụ có bán kính a √3 và chiều cao...
Bài 9 (trang 126 SGK Hình Học 12 nâng cao): Đáy hình chóp là hình vuông diện tích bằng 4....
Bài 10 (trang 126 SGK Hình Học 12 nâng cao): Một hình nón có đường sinh bằng l và bằng...
Bài 11 (trang 126 SGK Hình Học 12 nâng cao): Một hình cầu có thể tích 4π/3 nội tiếp một hình ....
Bài 12 (trang 126 SGK Hình Học 12 nâng cao): Cho hình chữ nhật có tọa độ hai đỉnh A(-2; 3; 0);...
Bài 13 (trang 126 SGK Hình Học 12 nâng cao): Cho vectơ u→(1;0;2) và v→(0; -1;1). Trong ...
Bài 14 (trang 127 SGK Hình Học 12 nâng cao): Cho tam giác ABC có diện tích bằng 6 nằm trong...
Bài 15 (trang 127 SGK Hình Học 12 nâng cao): Mặt cầu có tâm I(6; 3; -4) tiếp xúc với Ox...
Bài 16 (trang 127 SGK Hình Học 12 nâng cao): Cho đường thẳng d có phương trình....
Bài 17 (trang 127 SGK Hình Học 12 nâng cao): Cho hai đường thẳng d:...
Bài 18 (trang 127 SGK Hình Học 12 nâng cao): Cho mặt phẳng (P): 3x+4z+12=0 và...
Bài 19 (trang 128 SGK Hình Học 12 nâng cao): Tọa độ hình chiếu vuông góc của điểm M(2; 0; 1)...
Bài 20 (trang 128 SGK Hình Học 12 nâng cao): Cho đường thẳng d: ...
Bài 21 (trang 128 SGK Hình Học 12 nâng cao): Cho đường thẳng d: ...
Bài 22 (trang 128 SGK Hình Học 12 nâng cao): Cho mặt phẳng (P): mx+y+(n-2)z+m+2=0...
Bài 23 (trang 129 SGK Hình Học 12 nâng cao): Cho mặt cầu (S): x2+y2+z2-2x-4y-4z=0...
Đã có app VietJack trên điện thoại, giải bài tập SGK, SBT Soạn văn, Văn mẫu, Thi online, Bài giảng....miễn phí. Tải ngay ứng dụng trên Android và iOS.
Theo dõi chúng tôi miễn phí trên mạng xã hội facebook và youtube:Nếu thấy hay, hãy động viên và chia sẻ nhé! Các bình luận không phù hợp với nội quy bình luận trang web sẽ bị cấm bình luận vĩnh viễn.
- Giải Tiếng Anh 12 Global Success
- Giải sgk Tiếng Anh 12 Smart World
- Giải sgk Tiếng Anh 12 Friends Global
- Lớp 12 Kết nối tri thức
- Soạn văn 12 (hay nhất) - KNTT
- Soạn văn 12 (ngắn nhất) - KNTT
- Giải sgk Toán 12 - KNTT
- Giải sgk Vật Lí 12 - KNTT
- Giải sgk Hóa học 12 - KNTT
- Giải sgk Sinh học 12 - KNTT
- Giải sgk Lịch Sử 12 - KNTT
- Giải sgk Địa Lí 12 - KNTT
- Giải sgk Giáo dục KTPL 12 - KNTT
- Giải sgk Tin học 12 - KNTT
- Giải sgk Công nghệ 12 - KNTT
- Giải sgk Hoạt động trải nghiệm 12 - KNTT
- Giải sgk Giáo dục quốc phòng 12 - KNTT
- Giải sgk Âm nhạc 12 - KNTT
- Giải sgk Mĩ thuật 12 - KNTT
- Lớp 12 Chân trời sáng tạo
- Soạn văn 12 (hay nhất) - CTST
- Soạn văn 12 (ngắn nhất) - CTST
- Giải sgk Toán 12 - CTST
- Giải sgk Vật Lí 12 - CTST
- Giải sgk Hóa học 12 - CTST
- Giải sgk Sinh học 12 - CTST
- Giải sgk Lịch Sử 12 - CTST
- Giải sgk Địa Lí 12 - CTST
- Giải sgk Giáo dục KTPL 12 - CTST
- Giải sgk Tin học 12 - CTST
- Giải sgk Hoạt động trải nghiệm 12 - CTST
- Giải sgk Âm nhạc 12 - CTST
- Lớp 12 Cánh diều
- Soạn văn 12 Cánh diều (hay nhất)
- Soạn văn 12 Cánh diều (ngắn nhất)
- Giải sgk Toán 12 Cánh diều
- Giải sgk Vật Lí 12 - Cánh diều
- Giải sgk Hóa học 12 - Cánh diều
- Giải sgk Sinh học 12 - Cánh diều
- Giải sgk Lịch Sử 12 - Cánh diều
- Giải sgk Địa Lí 12 - Cánh diều
- Giải sgk Giáo dục KTPL 12 - Cánh diều
- Giải sgk Tin học 12 - Cánh diều
- Giải sgk Công nghệ 12 - Cánh diều
- Giải sgk Hoạt động trải nghiệm 12 - Cánh diều
- Giải sgk Giáo dục quốc phòng 12 - Cánh diều
- Giải sgk Âm nhạc 12 - Cánh diều


Giải bài tập SGK & SBT
Tài liệu giáo viên
Sách
Khóa học
Thi online
Hỏi đáp

