Giải bài 51 trang 49 SGK Giải Tích 12 nâng cao
Bài 7: Khảo sát sự biến thiên và vẽ đồ thị của một số hàm phân thức hữu tỉ
Bài 51 (trang 49 sgk Giải Tích 12 nâng cao):
a) Khảo sát và vẽ đồ thị của hàm số
b) Chứng minh rằng giao điểm I của hai tiệm cận của đồ thị là tâm đối xứng của nó.
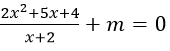
c) Tùy giá trị của m hay biện luận số nghiệm của phương trình
Lời giải:
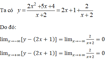
a) TXĐ: D = R \{-2}
Hàm số đồng biến trên khoảng (-∞; -3) và (-1; +∞)
Hàm số nghịch biến trên (-3; -2)và (-2; -1)
yCĐ=y(-3)=-7
yCT=y(-1)=1
Vậy đường thẳng x = -2 là tiệm cận đứng.
Vậy đường thẳng y = 2x + 1 là tiệm cận xiên.
Bảng biến thiên.
Đồ thị giao với Oy là A(0; 2)
Đi qua B(-1;1)
b) Giao điểm của 2 đường tiệm cận I(-2; -3)
Áp dụng công thức trục tọa độ
Khi đó hàm số đã cho có phương trình
Đây là hàm số lẻ nên đồ thị có tâm đối xứng là điểm I.
C) Xét phương trình
(*)
Suy ra, số nghiệm của phương trình (*) chính là số giao điểm của đồ thị hàm số
và đường thẳng y= - m.
Dựa vào đồ thị hàm số
ta suy ra:
+ -m > 1 ⇔ m < -1, đường thẳng y =-m cắt đồ thị tại 2 điểm ⇒ Phương trình có 2 nghiệm phân biệt.
+ -7 < -m < 1 ⇔ -1 < m < 7, đường thẳng y=-m không cắt đồ thị ⇒ Phương trình vô nghiệm.
+ -m < -7 hay m > 7, đường thẳng y = -m cắt đồ thị tại 2 điểm ⇒ phương trình có 2 nghiệm phân biệt.
+ Nếu
thì đường thẳng y= - m cắt đồ thị hàm số tại 1 điểm.
Kết luận:
m=-1,m=7 phương trình có 1 nghiệm.
-1<m<7 phương trình vô nghiệm.
Các bài giải bài tập Giải Tích 12 nâng cao Bài 7 Chương 1 khác:
Bài 49 (trang 49 SGK Giải Tích 12 nâng cao): a) Khảo sát sự biến thiên và vẽ đồ thị của....
Bài 50 (trang 49 SGK Giải Tích 12 nâng cao): Khảo sát sự biến thiên và vẽ đồ thị của hàm số...
Bài 51 (trang 49 SGK Giải Tích 12 nâng cao): a) Khảo sát sự biến thiên và vẽ đồ thị của hàm số...
Bài 52 (trang 50 SGK Giải Tích 12 nâng cao): Khảo sát sự biến thiên và vẽ đồ thị của hàm số...
Đã có app VietJack trên điện thoại, giải bài tập SGK, SBT Soạn văn, Văn mẫu, Thi online, Bài giảng....miễn phí. Tải ngay ứng dụng trên Android và iOS.
Theo dõi chúng tôi miễn phí trên mạng xã hội facebook và youtube:Nếu thấy hay, hãy động viên và chia sẻ nhé! Các bình luận không phù hợp với nội quy bình luận trang web sẽ bị cấm bình luận vĩnh viễn.
- Giải Tiếng Anh 12 Global Success
- Giải sgk Tiếng Anh 12 Smart World
- Giải sgk Tiếng Anh 12 Friends Global
- Lớp 12 Kết nối tri thức
- Soạn văn 12 (hay nhất) - KNTT
- Soạn văn 12 (ngắn nhất) - KNTT
- Giải sgk Toán 12 - KNTT
- Giải sgk Vật Lí 12 - KNTT
- Giải sgk Hóa học 12 - KNTT
- Giải sgk Sinh học 12 - KNTT
- Giải sgk Lịch Sử 12 - KNTT
- Giải sgk Địa Lí 12 - KNTT
- Giải sgk Giáo dục KTPL 12 - KNTT
- Giải sgk Tin học 12 - KNTT
- Giải sgk Công nghệ 12 - KNTT
- Giải sgk Hoạt động trải nghiệm 12 - KNTT
- Giải sgk Giáo dục quốc phòng 12 - KNTT
- Giải sgk Âm nhạc 12 - KNTT
- Giải sgk Mĩ thuật 12 - KNTT
- Lớp 12 Chân trời sáng tạo
- Soạn văn 12 (hay nhất) - CTST
- Soạn văn 12 (ngắn nhất) - CTST
- Giải sgk Toán 12 - CTST
- Giải sgk Vật Lí 12 - CTST
- Giải sgk Hóa học 12 - CTST
- Giải sgk Sinh học 12 - CTST
- Giải sgk Lịch Sử 12 - CTST
- Giải sgk Địa Lí 12 - CTST
- Giải sgk Giáo dục KTPL 12 - CTST
- Giải sgk Tin học 12 - CTST
- Giải sgk Hoạt động trải nghiệm 12 - CTST
- Giải sgk Âm nhạc 12 - CTST
- Lớp 12 Cánh diều
- Soạn văn 12 Cánh diều (hay nhất)
- Soạn văn 12 Cánh diều (ngắn nhất)
- Giải sgk Toán 12 Cánh diều
- Giải sgk Vật Lí 12 - Cánh diều
- Giải sgk Hóa học 12 - Cánh diều
- Giải sgk Sinh học 12 - Cánh diều
- Giải sgk Lịch Sử 12 - Cánh diều
- Giải sgk Địa Lí 12 - Cánh diều
- Giải sgk Giáo dục KTPL 12 - Cánh diều
- Giải sgk Tin học 12 - Cánh diều
- Giải sgk Công nghệ 12 - Cánh diều
- Giải sgk Hoạt động trải nghiệm 12 - Cánh diều
- Giải sgk Giáo dục quốc phòng 12 - Cánh diều
- Giải sgk Âm nhạc 12 - Cánh diều


Giải bài tập SGK & SBT
Tài liệu giáo viên
Sách
Khóa học
Thi online
Hỏi đáp

