Giải Toán 8 VNEN Bài 2: Tính chất cơ bản của phân thức
A. Hoạt động khởi động
1 (Trang 36 Toán 8 VNEN Tập 1)
2 (Trang 36 Toán 8 VNEN Tập 1)
B. Hoạt động hình thành kiến thức
2 (Trang 5 Toán 8 VNEN Tập 1)
1 (Trang 36 Toán 8 VNEN Tập 1)
2 (Trang 37 Toán 8 VNEN Tập 1)
Nếu nhân cả tử và mẫu của một phân thức với cùng một đa thức khác đa thức 0 thì được một phân thức bằng một phân thức đã cho.
(M là một đa thức khác đa thức 0)
Nếu chia cả tử và mẫu của một phân thức cho cùng một nhân tử chung của chúng thì được một phân thức bằng một phân thức đã cho.
(N là một nhân tử chung của A và B)
Đẳng thức cho ta quy tắc đổi dấu:
Nếu đổi dấu cả tử và mẫu của một phân thức thì được một phân thức mới bằng phân thức đã cho (ta xem như cả tử và mẫu của phân thức đều nhân với đa thức -1)
Tính chất này gọi là tính chất cơ bản của phân thức
3 (Trang 37 Toán 8 VNEN Tập 1)
C. Hoạt động luyện tập
1 (Trang 38 Toán 8 VNEN Tập 1)
Khoanh vào chữ đặt trước câu trả lời đúng (hoặc chọn đáp án A/B/C/D trước câu trả lời đúng)
Lời giải:
Hướng dẫn giải:
Câu A: Sai vì khi cả tử và mẫu của phân thức nhân với đa thức x sẽ trở thành
tuy nhiên thiếu điều khiện đa thức x phải khác đa thức 0 do đó biểu thức này chưa đúng hoàn toàn; nó chỉ đúng hoàn toàn khi thêm điều kiện x#0
Câu B: Đúng vì ta chia cả tử và mẫu của phân thức cho nhân tử chung của chúng là x + 1 sẽ được phân thức mới
bằng chính nó
Câu C: Đúng vì Ta dùng tính chất đổi dấu cả tử và mẫu của phân thức sẽ được kết quả
Câu D: Sai vì (x − 9)3 = (x − 9)(x − 9)2 = (x − 9)(9 − x)2 nên khi chia cho 9 - x thì phải đổi dấu
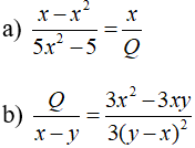
2 (Trang 38 Toán 8 VNEN Tập 1)
Dùng tính chất cơ bản của phân thức, hãy điền đa thức thích hợp vào chỗ trống (...) trong mỗi đẳng thức sau:
Lời giải:
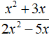
3 (Trang 38 Toán 8 VNEN Tập 1)
Hãy viết phân thức dưới dạng phân thức có mẫu số lần lượt là:
a) x2 − 2x
b) x2 − 4
c) 6 − 3x
d) (x − 2)2
Lời giải:
4 (Trang 38 Toán 8 VNEN Tập 1)
Dùng tính chất cơ bản của phân thức, hãy viết mỗi phân thức sau dưới dạng phân thức có mẫu số là 12x2y:
Lời giải:
5 (Trang 38 Toán 8 VNEN Tập 1)
Hãy biểu diễn đa thức 3x − y dưới dạng phân thức có mẫu số lần lượt là:
a) 7
b) x
c) 9x + y
d) 3x − y
Lời giải:
Hướng dẫn giải:
a) 3x − y dưới dạng phân thức có mẫu số là 7
Ta có
b) 3x − y dưới dạng phân thức có mẫu số là x
c) 3x − y dưới dạng phân thức có mẫu số là 9x + y
d) 3x − y dưới dạng phân thức có mẫu số là 3x − y
D. Hoạt động vận dụng
E. Hoạt động tìm tòi mở rộng
Xem thêm các bài Giải bài tập Toán lớp 8 chương trình VNEN hay khác:
- Bài 1: Phân thức đại số
- Bài 3: Rút gọn phân thức
- Bài 4: Quy đồng mẫu thức nhiều phân thức
- Bài 5: Phép cộng các phân thức đại số
- Bài 6: Phép trừ các phân thức đại số
Tủ sách VIETJACK shopee lớp 6-8 (2025):
Đã có app VietJack trên điện thoại, giải bài tập SGK, SBT Soạn văn, Văn mẫu, Thi online, Bài giảng....miễn phí. Tải ngay ứng dụng trên Android và iOS.
Theo dõi chúng tôi miễn phí trên mạng xã hội facebook và youtube:Loạt bài Giải bài tập Toán 8 (sgk, sbt, vbt) của chúng tôi được biên soạn bám sát sách Toán 8 Tập 1 & Tập 2 chương trình mới.
Nếu thấy hay, hãy động viên và chia sẻ nhé! Các bình luận không phù hợp với nội quy bình luận trang web sẽ bị cấm bình luận vĩnh viễn.
- Giải Tiếng Anh 8 Global Success
- Giải sgk Tiếng Anh 8 Smart World
- Giải sgk Tiếng Anh 8 Friends plus
- Lớp 8 - Kết nối tri thức
- Soạn văn 8 (hay nhất) - KNTT
- Soạn văn 8 (ngắn nhất) KNTT
- Giải sgk Toán 8 - KNTT
- Giải sgk Khoa học tự nhiên 8 - KNTT
- Giải sgk Lịch Sử 8 - KNTT
- Giải sgk Địa Lí 8 - KNTT
- Giải sgk Giáo dục công dân 8 - KNTT
- Giải sgk Tin học 8 - KNTT
- Giải sgk Công nghệ 8 - KNTT
- Giải sgk Hoạt động trải nghiệm 8 - KNTT
- Giải sgk Âm nhạc 8 - KNTT
- Lớp 8 - Chân trời sáng tạo
- Soạn văn 8 (hay nhất) - CTST
- Soạn văn 8 (ngắn nhất) - CTST
- Giải sgk Toán 8 - CTST
- Giải sgk Khoa học tự nhiên 8 - CTST
- Giải sgk Lịch Sử 8 - CTST
- Giải sgk Địa Lí 8 - CTST
- Giải sgk Giáo dục công dân 8 - CTST
- Giải sgk Tin học 8 - CTST
- Giải sgk Công nghệ 8 - CTST
- Giải sgk Hoạt động trải nghiệm 8 - CTST
- Giải sgk Âm nhạc 8 - CTST
- Lớp 8 - Cánh diều
- Soạn văn 8 Cánh diều (hay nhất)
- Soạn văn 8 Cánh diều (ngắn nhất)
- Giải sgk Toán 8 - Cánh diều
- Giải sgk Khoa học tự nhiên 8 - Cánh diều
- Giải sgk Lịch Sử 8 - Cánh diều
- Giải sgk Địa Lí 8 - Cánh diều
- Giải sgk Giáo dục công dân 8 - Cánh diều
- Giải sgk Tin học 8 - Cánh diều
- Giải sgk Công nghệ 8 - Cánh diều
- Giải sgk Hoạt động trải nghiệm 8 - Cánh diều
- Giải sgk Âm nhạc 8 - Cánh diều


Giải bài tập SGK & SBT
Tài liệu giáo viên
Sách
Khóa học
Thi online
Hỏi đáp

