Giải Toán 8 VNEN Bài 3: Rút gọn phân thức
A. Hoạt động khởi động
B. Hoạt động hình thành kiến thức
C. Hoạt động luyện tập
1 (Trang 40 Toán 8 VNEN Tập 1)
Rút gọn phân thức:
Lời giải:
2 (Trang 40 Toán 8 VNEN Tập 1)
Rút gọn phân thức:
Lời giải:
3 (Trang 41 Toán 8 VNEN Tập 1)
Rút gọn phân thức:
Lời giải:
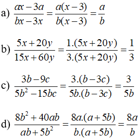
4 (Trang 41 Toán 8 VNEN Tập 1)
Phân tích tử và mẫu thành nhân tử rồi rút gọn phân thức:
Lời giải:
a) Ta có:
b) Ta có:
5 (Trang 41 Toán 8 VNEN Tập 1)
Áp dụng quy tắc đổi dấu rồi rút gọn phân thức:
Lời giải:
D+E. Hoạt động vận dụng và tìm tòi mở rộng
1 (Trang 41 Toán 8 VNEN Tập 1)
Rút gọn phân thức:
Lời giải:
Ta có:
2 (Trang 41 Toán 8 VNEN Tập 1)
Sử dụng các hằng đẳng thức để biến đổi và rút gọn phân thức sau:
Lời giải:
Ta có:
Gợi ý: Hằng đằng thức được áp dụng:
(a − b)2 = a2 − 2ab + b2
a2 – b2 = (a - b)(a + b)
3 (Trang 41 Toán 8 VNEN Tập 1)
Chứng minh:
Lời giải:
Ta có:
Vậy sau khi rút gọn phân thức ta thu được
(điều phải chứng minh)
Xem thêm các bài Giải bài tập Toán lớp 8 chương trình VNEN hay khác:
- Bài 1: Phân thức đại số
- Bài 2: Tính chất cơ bản của phân thức
- Bài 4: Quy đồng mẫu thức nhiều phân thức
- Bài 5: Phép cộng các phân thức đại số
- Bài 6: Phép trừ các phân thức đại số
Tủ sách VIETJACK shopee lớp 6-8 (2025):
Đã có app VietJack trên điện thoại, giải bài tập SGK, SBT Soạn văn, Văn mẫu, Thi online, Bài giảng....miễn phí. Tải ngay ứng dụng trên Android và iOS.
Theo dõi chúng tôi miễn phí trên mạng xã hội facebook và youtube:Loạt bài Giải bài tập Toán 8 (sgk, sbt, vbt) của chúng tôi được biên soạn bám sát sách Toán 8 Tập 1 & Tập 2 chương trình mới.
Nếu thấy hay, hãy động viên và chia sẻ nhé! Các bình luận không phù hợp với nội quy bình luận trang web sẽ bị cấm bình luận vĩnh viễn.
- Giải Tiếng Anh 8 Global Success
- Giải sgk Tiếng Anh 8 Smart World
- Giải sgk Tiếng Anh 8 Friends plus
- Lớp 8 - Kết nối tri thức
- Soạn văn 8 (hay nhất) - KNTT
- Soạn văn 8 (ngắn nhất) KNTT
- Giải sgk Toán 8 - KNTT
- Giải sgk Khoa học tự nhiên 8 - KNTT
- Giải sgk Lịch Sử 8 - KNTT
- Giải sgk Địa Lí 8 - KNTT
- Giải sgk Giáo dục công dân 8 - KNTT
- Giải sgk Tin học 8 - KNTT
- Giải sgk Công nghệ 8 - KNTT
- Giải sgk Hoạt động trải nghiệm 8 - KNTT
- Giải sgk Âm nhạc 8 - KNTT
- Lớp 8 - Chân trời sáng tạo
- Soạn văn 8 (hay nhất) - CTST
- Soạn văn 8 (ngắn nhất) - CTST
- Giải sgk Toán 8 - CTST
- Giải sgk Khoa học tự nhiên 8 - CTST
- Giải sgk Lịch Sử 8 - CTST
- Giải sgk Địa Lí 8 - CTST
- Giải sgk Giáo dục công dân 8 - CTST
- Giải sgk Tin học 8 - CTST
- Giải sgk Công nghệ 8 - CTST
- Giải sgk Hoạt động trải nghiệm 8 - CTST
- Giải sgk Âm nhạc 8 - CTST
- Lớp 8 - Cánh diều
- Soạn văn 8 Cánh diều (hay nhất)
- Soạn văn 8 Cánh diều (ngắn nhất)
- Giải sgk Toán 8 - Cánh diều
- Giải sgk Khoa học tự nhiên 8 - Cánh diều
- Giải sgk Lịch Sử 8 - Cánh diều
- Giải sgk Địa Lí 8 - Cánh diều
- Giải sgk Giáo dục công dân 8 - Cánh diều
- Giải sgk Tin học 8 - Cánh diều
- Giải sgk Công nghệ 8 - Cánh diều
- Giải sgk Hoạt động trải nghiệm 8 - Cánh diều
- Giải sgk Âm nhạc 8 - Cánh diều


Giải bài tập SGK & SBT
Tài liệu giáo viên
Sách
Khóa học
Thi online
Hỏi đáp

