Giải sgk, sbt Toán 11 Bài 16 Kết nối tri thức
Với lời giải Toán 11 Bài 16 đầy đủ sgk, sbt sách mới Kết nối tri thức hay, chi tiết giúp học sinh lớp 11 dễ dàng làm bài tập Toán 11 Bài 16.
Giải sgk, sbt Toán 11 Bài 16 Kết nối tri thức
Giải Toán 11 Bài 16 Kết nối tri thức
Lưu trữ: Giải Toán 11 Bài 16 (trang 181 SGK Đại số 11) (sách cũ)
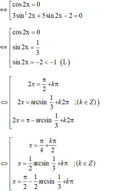
Bài 16 (trang 181 SGK Đại số 11): Giải các phương trình:
Lời giải:
b) Ta có:
f′(x) = 20.(cos3x)′ + 12(cos5x)′ − 15(cos4x)′
= 20.(−3sin3x) + 12.(−5sin5x) − 15.(−4sin4x)
= −60sin3x − 60sin5x + 60sin4x
Do đó:
f′(x) = 0
⇔ −60sin3x − 60sin5x + 60sin4x = 0
⇔ −sin3x − sin5x + sin4x = 0
⇔ sin5x + sin3x − sin4x = 0
⇔ 2sin4xcosx − sin4x = 0
⇔ sin4x(2cosx − 1) = 0
Các bài giải bài tập Toán 11 Đại số Ôn tập cuối năm khác:
Câu hỏi Ôn tập cuối năm
Bài 1 (trang 178 SGK Đại số 11): Nêu định nghĩa các hàm số lượng giác...
Bài 2 (trang 178 SGK Đại số 11): Cho biết chu kì của mỗi hàm số....
Bài 3 (trang 178 SGK Đại số 11): Nêu cách giải phương trình lượng ...
Bài 4 (trang 178 SGK Đại số 11): Viết công thức tính số hoán vị ...
Bài 5 (trang 178 SGK Đại số 11): Viết công thức tính số chỉnh hợp chập ....
Bài 6 (trang 178 SGK Đại số 11): Viết công thức nhị thức Niutơn...
Bài 7 (trang 178 SGK Đại số 11): Phát biểu định nghĩa xác suất của biến cố....
Bài 8 (trang 178 SGK Đại số 11): Nêu rõ các bước chứng minh bằng quy ...
Bài 9 (trang 178 SGK Đại số 11): Phát biểu định nghĩa cấp số cộng ....
Bài 10 (trang 178 SGK Đại số 11): Phát biểu định nghĩa cấp số nhân ...
Bài 11 (trang 178 SGK Đại số 11): Dãy số Un thỏa mãn điều kiện gì thì ...
Bài 12 (trang 178 SGK Đại số 11): Viết công thức tính tổng của một...
Bài 13 (trang 178 SGK Đại số 11): Định nghĩa hàm số có giới hạn là +∞ ...
Bài 14 (trang 178 SGK Đại số 11): Nêu các giới hạn đặc biệt của dãy số....
Bài 15 (trang 178 SGK Đại số 11): Nêu định nghĩa hàm liên túc tại một điểm,...
Bài 16 (trang 178 SGK Đại số 11): Phát biểu định nghĩa đạo hàm ...
Bài 17 (trang 178 SGK Đại số 11): Viết tất cả các quy tắc tính đạo hàm đã học...
Bài 18 (trang 178 SGK Đại số 11): Giả sử hàm số g = f(x) có đạo hàm tại...
Bài tập Ôn tập cuối năm
Bài 4 (trang 179 SGK Đại số 11): Trong một bệnh viện có 40 bác sĩ ngoại khoa....
Bài 5 (trang 179 SGK Đại số 11): Tìm số hạng không chứa trong khai ...
Bài 6 (trang 179 SGK Đại số 11): Chọn ngẫu nhiên 3 học sinh từ một tổ gồm ....
Bài 7 (trang 179 SGK Đại số 11): Một tiểu đội có 10 người được xếp ....
Bài 8 (trang 180 SGK Đại số 11): Tìm một cấp số cộng tăng, biết rằng...
Bài 9 (trang 180 SGK Đại số 11): Cho biết một cấp số nhân, hiệu của số ...
Bài 12 (trang 180 SGK Đại số 11): Chứng minh rằng hàm số y...
Bài 14 (trang 181 SGK Đại số 11): Chứng minh rằng phương trình sau ...
Bài 15 (trang 181 SGK Đại số 11): Phương trình sau có nghiệm hay...
Bài 17 (trang 181 SGK Đại số 11): Tính đạo hàm của các hàm số sau:...
Bài 18 (trang 181 SGK Đại số 11): Tính đạo hàm cấp hai của các hàm số sau: ...
Các bài giải Đại số 11 Chương 5 khác:
- Bài 3: Đạo hàm của hàm số lượng giác
- Bài 4: Vi phân
- Bài 5: Đạo hàm cấp hai
- Ôn tập chương 5
- Ôn tập cuối năm
Tủ sách VIETJACK shopee lớp 10-11 (cả 3 bộ sách):
Đã có app VietJack trên điện thoại, giải bài tập SGK, SBT Soạn văn, Văn mẫu, Thi online, Bài giảng....miễn phí. Tải ngay ứng dụng trên Android và iOS.
Theo dõi chúng tôi miễn phí trên mạng xã hội facebook và youtube:Nếu thấy hay, hãy động viên và chia sẻ nhé! Các bình luận không phù hợp với nội quy bình luận trang web sẽ bị cấm bình luận vĩnh viễn.
- Giải Tiếng Anh 11 Global Success
- Giải sgk Tiếng Anh 11 Smart World
- Giải sgk Tiếng Anh 11 Friends Global
- Lớp 11 - Kết nối tri thức
- Soạn văn 11 (hay nhất) - KNTT
- Soạn văn 11 (ngắn nhất) - KNTT
- Giải sgk Toán 11 - KNTT
- Giải sgk Vật Lí 11 - KNTT
- Giải sgk Hóa học 11 - KNTT
- Giải sgk Sinh học 11 - KNTT
- Giải sgk Lịch Sử 11 - KNTT
- Giải sgk Địa Lí 11 - KNTT
- Giải sgk Giáo dục KTPL 11 - KNTT
- Giải sgk Tin học 11 - KNTT
- Giải sgk Công nghệ 11 - KNTT
- Giải sgk Hoạt động trải nghiệm 11 - KNTT
- Giải sgk Giáo dục quốc phòng 11 - KNTT
- Giải sgk Âm nhạc 11 - KNTT
- Lớp 11 - Chân trời sáng tạo
- Soạn văn 11 (hay nhất) - CTST
- Soạn văn 11 (ngắn nhất) - CTST
- Giải sgk Toán 11 - CTST
- Giải sgk Vật Lí 11 - CTST
- Giải sgk Hóa học 11 - CTST
- Giải sgk Sinh học 11 - CTST
- Giải sgk Lịch Sử 11 - CTST
- Giải sgk Địa Lí 11 - CTST
- Giải sgk Giáo dục KTPL 11 - CTST
- Giải sgk Hoạt động trải nghiệm 11 - CTST
- Giải sgk Âm nhạc 11 - CTST
- Lớp 11 - Cánh diều
- Soạn văn 11 Cánh diều (hay nhất)
- Soạn văn 11 Cánh diều (ngắn nhất)
- Giải sgk Toán 11 - Cánh diều
- Giải sgk Vật Lí 11 - Cánh diều
- Giải sgk Hóa học 11 - Cánh diều
- Giải sgk Sinh học 11 - Cánh diều
- Giải sgk Lịch Sử 11 - Cánh diều
- Giải sgk Địa Lí 11 - Cánh diều
- Giải sgk Giáo dục KTPL 11 - Cánh diều
- Giải sgk Tin học 11 - Cánh diều
- Giải sgk Công nghệ 11 - Cánh diều
- Giải sgk Hoạt động trải nghiệm 11 - Cánh diều
- Giải sgk Giáo dục quốc phòng 11 - Cánh diều
- Giải sgk Âm nhạc 11 - Cánh diều


Giải bài tập SGK & SBT
Tài liệu giáo viên
Sách
Khóa học
Thi online
Hỏi đáp

