Giải bài 3 trang 43 sgk Giải tích 12
Bài 5: Khảo sát sự biến thiên và vẽ đồ thị của hàm số
Bài 3 (trang 43 SGK Giải tích 12): Khảo sát sự biến thiên và vẽ đồ thị các hàm số phân thức:
Lời giải:
a) Hàm số
1) Tập xác định: D = ℝ \ {1}
2) Sự biến thiên:
+ Chiều biến thiên:
Suy ra hàm số nghịch biến trên (-∞; 1) và (1; +∞).
+ Cực trị: Hàm số không có cực trị.
+ Tiệm cận:
Suy ra x = 1 là tiệm cận đứng.
Lại có:
Suy ra y = 1 là tiệm cận ngang.
+ Bảng biến thiên:
3) Đồ thị:
+ Giao với Oy: (0; -3)
+ Giao với Ox: (-3; 0)
+ Đồ thị nhận (1; 1) là tâm đối xứng.
b) Hàm số
1) Tập xác định: D = ℝ \ {2}
2) Sự biến thiên:
+ Chiều biến thiên:
Suy ra hàm số đồng biến trên (-∞; 2) và (2; +∞).
+ Cực trị: Hàm số không có cực trị.
+ Tiệm cận:
Suy ra x = 2 là tiệm cận đứng của đồ thị hàm số.
Lại có:
Suy ra y = -1 là tiệm cận ngang.
+ Bảng biến thiên:
3) Đồ thị:
+ Giao với Oy: (0; )
+ Giao với Ox: (; 0)
+ Đồ thị hàm số nhận (2; -1) là tâm đối xứng.
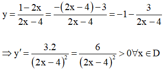
c) Hàm số
1) Tập xác định: D = ℝ \ {-1/2}
2) Sự biến thiên:
+ Chiều biến thiên:
Suy ra hàm số nghịch biến trên (-∞; ) và (; +∞).
+ Cực trị: Hàm số không có cực trị.
+ Tiệm cận:
Suy ra
là tiệm cận đứng của đồ thị hàm số.
Lại có
Suy ra
là tiệm cận ngang của đồ thị hàm số.
+ Bảng biến thiên:
3) Đồ thị:
+ Giao với Oy: (0; 2)
+ Giao với Ox: (2; 0)
+ Đồ thị hàm số nhận là tâm đối xứng.
Kiến thức áp dụng
Các bước khảo sát hàm số và vẽ đồ thị:
1, Tìm tập xác định.
2, Khảo sát sự biến thiên
+ Tính y’
⇒ Chiều biến thiên của hàm số.
+ Tìm cực trị.
+ Tính các giới hạn
Từ đó suy ra Bảng biến thiên.
3, Vẽ đồ thị hàm số.
Tham khảo lời giải các bài tập Toán 12 bài 5 khác:
Trả lời câu hỏi Toán 12 Giải tích Bài 5 trang 32 : Khảo sát sự biến thiên và vẽ đồ ....
Trả lời câu hỏi Toán 12 Giải tích Bài 5 trang 33 : Khảo sát sự biến thiên và vẽ đồ thị....
Trả lời câu hỏi Toán 12 Giải tích Bài 5 trang 35 : Khảo sát sự biến thiên và vẽ đồ thị....
Trả lời câu hỏi Toán 12 Giải tích Bài 5 trang 36 : Khảo sát sự biến thiên và vẽ đồ....
Trả lời câu hỏi Toán 12 Giải tích Bài 5 trang 38 : Lấy một ví dụ về hàm số dạng....
Trả lời câu hỏi Toán 12 Giải tích Bài 5 trang 42 : Tìm tọa độ giao điểm của đồ thị....
Bài 1 (trang 43 SGK Giải tích 12): Khảo sát sự biến thiên và vẽ đồ thị...
Bài 2 (trang 43 SGK Giải tích 12): Khảo sát tự biến thiên và vẽ đồ thị của ...
Bài 3 (trang 43 SGK Giải tích 12): Khảo sát sự biến thiên và vẽ đồ thị...
Bài 4 (trang 43 SGK Giải tích 12): Tìm nghiệm của các phương trình sau:...
Bài 5 (trang 43 SGK Giải tích 12): Khảo sát sự biến thiên và vẽ đồ thị (C) ...
Bài 6 (trang 43 SGK Giải tích 12): Cho hàm số...
Bài 7 (trang 43 SGK Giải tích 12): Cho hàm số: ...
Bài 8 (trang 43 SGK Giải tích 12): Cho hàm số: y=x3+(m+3) x2+1-m
Bài 9 (trang 43 SGK Giải tích 12): Cho hàm số : ...
Các bài giải Toán 12 Giải tích Tập 1 Chương 1 khác:
- Bài 5: Khảo sát sự biến thiên và vẽ đồ thị của hàm số
- Bài ôn tập chương I
- Bài 1: Lũy thừa
- Bài 2: Hàm số lũy thừa
- Bài 3: Lôgarit
Đã có app VietJack trên điện thoại, giải bài tập SGK, SBT Soạn văn, Văn mẫu, Thi online, Bài giảng....miễn phí. Tải ngay ứng dụng trên Android và iOS.
Theo dõi chúng tôi miễn phí trên mạng xã hội facebook và youtube:Nếu thấy hay, hãy động viên và chia sẻ nhé! Các bình luận không phù hợp với nội quy bình luận trang web sẽ bị cấm bình luận vĩnh viễn.
- Giải Tiếng Anh 12 Global Success
- Giải sgk Tiếng Anh 12 Smart World
- Giải sgk Tiếng Anh 12 Friends Global
- Lớp 12 Kết nối tri thức
- Soạn văn 12 (hay nhất) - KNTT
- Soạn văn 12 (ngắn nhất) - KNTT
- Giải sgk Toán 12 - KNTT
- Giải sgk Vật Lí 12 - KNTT
- Giải sgk Hóa học 12 - KNTT
- Giải sgk Sinh học 12 - KNTT
- Giải sgk Lịch Sử 12 - KNTT
- Giải sgk Địa Lí 12 - KNTT
- Giải sgk Giáo dục KTPL 12 - KNTT
- Giải sgk Tin học 12 - KNTT
- Giải sgk Công nghệ 12 - KNTT
- Giải sgk Hoạt động trải nghiệm 12 - KNTT
- Giải sgk Giáo dục quốc phòng 12 - KNTT
- Giải sgk Âm nhạc 12 - KNTT
- Giải sgk Mĩ thuật 12 - KNTT
- Lớp 12 Chân trời sáng tạo
- Soạn văn 12 (hay nhất) - CTST
- Soạn văn 12 (ngắn nhất) - CTST
- Giải sgk Toán 12 - CTST
- Giải sgk Vật Lí 12 - CTST
- Giải sgk Hóa học 12 - CTST
- Giải sgk Sinh học 12 - CTST
- Giải sgk Lịch Sử 12 - CTST
- Giải sgk Địa Lí 12 - CTST
- Giải sgk Giáo dục KTPL 12 - CTST
- Giải sgk Tin học 12 - CTST
- Giải sgk Hoạt động trải nghiệm 12 - CTST
- Giải sgk Âm nhạc 12 - CTST
- Lớp 12 Cánh diều
- Soạn văn 12 Cánh diều (hay nhất)
- Soạn văn 12 Cánh diều (ngắn nhất)
- Giải sgk Toán 12 Cánh diều
- Giải sgk Vật Lí 12 - Cánh diều
- Giải sgk Hóa học 12 - Cánh diều
- Giải sgk Sinh học 12 - Cánh diều
- Giải sgk Lịch Sử 12 - Cánh diều
- Giải sgk Địa Lí 12 - Cánh diều
- Giải sgk Giáo dục KTPL 12 - Cánh diều
- Giải sgk Tin học 12 - Cánh diều
- Giải sgk Công nghệ 12 - Cánh diều
- Giải sgk Hoạt động trải nghiệm 12 - Cánh diều
- Giải sgk Giáo dục quốc phòng 12 - Cánh diều
- Giải sgk Âm nhạc 12 - Cánh diều


Giải bài tập SGK & SBT
Tài liệu giáo viên
Sách
Khóa học
Thi online
Hỏi đáp

