Bài 47 trang 45 SGK Toán 7 Tập 2
Bài 8: Cộng, trừ đa thức một biến
Video Giải Bài 47 trang 45 SGK Toán 7 tập 2 - Cô Nguyễn Hà Nguyên (Giáo viên VietJack)
Bài 47 (trang 45 SGK Toán 7 tập 2): Cho các đa thức:
P(x) = 2x4 – x – 2x3 + 1
Q(x) = 5x2 – x3 + 4x
H(x) = –2x4 + x2 + 5
Tính P(x) + Q(x) + H(x) và P(x) – Q(x) – H(x).
Lời giải:
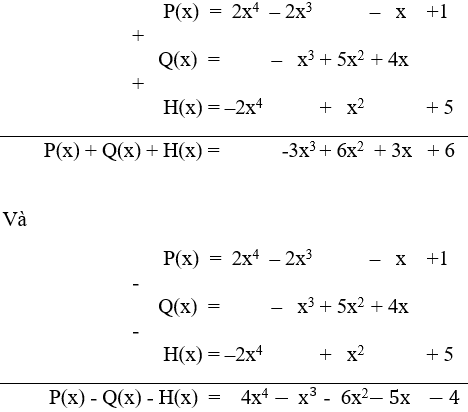
Sắp xếp các đa thức theo lũy thừa giảm dần rồi xếp các số hạng đồng dạng theo cùng cột dọc ta được:
P(x) = 2x4– 2x3 – x +1
Q(x) = – x3 + 5x2+ 4x
H(x) = –2x4 + x2+ 5
Đặt và thực hiện các phép tính ta có:
Vậy: P(x) + Q(x) + H(x) = -3x3+ 6x2 + 3x + 6.
P(x) - Q(x) - H(x) = 4x4 - x3 - 6x2 – 5x – 4.
Kiến thức áp dụng
Sắp xếp các hạng tử của hai đa thức cùng theo lũy thừa giảm (hoặc tăng) của biến, rồi đặt phép tính theo cột dọc tương tự như cộng, trừ các số (chú ý đặt các đơn thức đồng dạng ở cùng một cột).
Các bài giải bài tập Toán 7 Bài 8 khác:
Trả lời câu hỏi Toán 7 Tập 2 Bài 8 trang 45 : Cho hai đa thức....
Bài 44 (trang 45 SGK Toán 7 tập 2): Cho hai đa thức: P(x) = -5x3 - ...
Bài 45 (trang 45 SGK Toán 7 tập 2): Cho đa thức: P(x) = x4 - 32 + ... Tìm các đa thức Q(x), ...
Bài 46 (trang 45 SGK Toán 7 tập 2): Viết đa thức P(x) = 5x3 – 4x2 + 7x – 2 dưới dạng: ...
Bài 47 (trang 45 SGK Toán 7 tập 2): Cho các đa thức P(x) = 2x4 - x - ...
Bài 48 (trang 46 SGK Toán 7 tập 2): Chọn đa thức mà em cho là kết quả đúng: ...
Bài 49 (trang 46 SGK Toán 7 tập 2): Hãy tìm bậc của mỗi đa thức sau: ...
Bài 50 (trang 46 SGK Toán 7 tập 2): Cho các đa thức: N = 15y3 + 5y2 - ...
Bài 51 (trang 46 SGK Toán 7 tập 2): Cho hai đa thức: P(x) = 3x2 - 5 + ...
Bài 52 (trang 46 SGK Toán 7 tập 2): Tính giá trị của đa thức P(x) = x2 - 2x - 8 tại: ...
Bài 53 (trang 46 SGK Toán 7 tập 2): Cho các đa thức: P(x) = x5 - 2x4 + ...
Lời giải bài tập lớp 7 sách mới:
- Giải bài tập Lớp 7 Kết nối tri thức
- Giải bài tập Lớp 7 Chân trời sáng tạo
- Giải bài tập Lớp 7 Cánh diều
Tủ sách VIETJACK shopee lớp 6-8 (2025):
Đã có app VietJack trên điện thoại, giải bài tập SGK, SBT Soạn văn, Văn mẫu, Thi online, Bài giảng....miễn phí. Tải ngay ứng dụng trên Android và iOS.
Theo dõi chúng tôi miễn phí trên mạng xã hội facebook và youtube:Loạt bài Giải bài tập Toán lớp 7 | Để học tốt Toán 7 của chúng tôi được biên soạn bám sát theo chương trình Sách giáo khoa Toán 7 (Tập 1 & Tập 2) và một phần dựa trên quyển sách Giải bài tập Toán 7 và Để học tốt Toán lớp 7.
Nếu thấy hay, hãy động viên và chia sẻ nhé! Các bình luận không phù hợp với nội quy bình luận trang web sẽ bị cấm bình luận vĩnh viễn.
- Giải Tiếng Anh 7 Global Success
- Giải Tiếng Anh 7 Friends plus
- Giải sgk Tiếng Anh 7 Smart World
- Giải Tiếng Anh 7 Explore English
- Lớp 7 - Kết nối tri thức
- Soạn văn 7 (hay nhất) - KNTT
- Soạn văn 7 (ngắn nhất) - KNTT
- Giải sgk Toán 7 - KNTT
- Giải sgk Khoa học tự nhiên 7 - KNTT
- Giải sgk Lịch Sử 7 - KNTT
- Giải sgk Địa Lí 7 - KNTT
- Giải sgk Giáo dục công dân 7 - KNTT
- Giải sgk Tin học 7 - KNTT
- Giải sgk Công nghệ 7 - KNTT
- Giải sgk Hoạt động trải nghiệm 7 - KNTT
- Giải sgk Âm nhạc 7 - KNTT
- Lớp 7 - Chân trời sáng tạo
- Soạn văn 7 (hay nhất) - CTST
- Soạn văn 7 (ngắn nhất) - CTST
- Giải sgk Toán 7 - CTST
- Giải sgk Khoa học tự nhiên 7 - CTST
- Giải sgk Lịch Sử 7 - CTST
- Giải sgk Địa Lí 7 - CTST
- Giải sgk Giáo dục công dân 7 - CTST
- Giải sgk Công nghệ 7 - CTST
- Giải sgk Tin học 7 - CTST
- Giải sgk Hoạt động trải nghiệm 7 - CTST
- Giải sgk Âm nhạc 7 - CTST
- Lớp 7 - Cánh diều
- Soạn văn 7 (hay nhất) - Cánh diều
- Soạn văn 7 (ngắn nhất) - Cánh diều
- Giải sgk Toán 7 - Cánh diều
- Giải sgk Khoa học tự nhiên 7 - Cánh diều
- Giải sgk Lịch Sử 7 - Cánh diều
- Giải sgk Địa Lí 7 - Cánh diều
- Giải sgk Giáo dục công dân 7 - Cánh diều
- Giải sgk Công nghệ 7 - Cánh diều
- Giải sgk Tin học 7 - Cánh diều
- Giải sgk Hoạt động trải nghiệm 7 - Cánh diều
- Giải sgk Âm nhạc 7 - Cánh diều


Giải bài tập SGK & SBT
Tài liệu giáo viên
Sách
Khóa học
Thi online
Hỏi đáp

