Vở bài tập Toán lớp 4 trang 28 (Tập 1, Tập 2 sách mới)
Với giải vở bài tập Toán lớp 4 trang 28 Tập 1 & Tập 2 sách mới Kết nối tri thức, Chân trời sáng tạo, Cánh diều hay, chi tiết sẽ giúp học sinh lớp 4 biết cách làm bài tập trong VBT Toán lớp 4 trang 28.
Vở bài tập Toán lớp 4 trang 28 (Tập 1, Tập 2 sách mới)
- Giải Vở bài tập Toán lớp 4 trang 28 Tập 1 (sách mới):
Giải Vở bài tập Toán lớp 4 trang 27, 28 Tập 1 Kết nối tri thức (Bài 8 Tiết 1)
Giải Vở bài tập Toán lớp 4 trang 28 Tập 1 Chân trời sáng tạo
- Giải Vở bài tập Toán lớp 4 trang 28 Tập 2 (sách mới):
Giải Vở bài tập Toán lớp 4 trang 27, 28 Tập 2 Kết nối tri thức (Bài 44 Tiết 3)
Giải Vở bài tập Toán lớp 4 trang 28 Tập 2 Chân trời sáng tạo
Lưu trữ: Giải Vở bài tập Toán lớp 4 trang 28 Bài 109: So sánh hai phân số khác mẫu số (sách cũ)
Giải Vở bài tập Toán lớp 4 trang 28, 29 Bài 109: So sánh hai phân số khác mẫu số - Cô Nguyễn Oanh (Giáo viên VietJack)
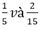
Vở bài tập Toán lớp 4 trang 28 Bài 1: So sánh hai phân số (theo mẫu):
Mẫu: So sánh Quy đồng mẫu số của
Mà
Lời giải:
a, So sánh:
Quy đồng mẫu số của
Mà
b, So sánh:
Quy đồng mẫu số của
Mà
c, So sánh:
Quy đồng mẫu số của
Mà
Vở bài tập Toán lớp 4 trang 29 Bài 2: So sánh hai phân số (theo mẫu):
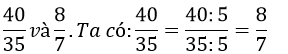
Mẫu: So sánh
Ta có:
Mà:
Lời giải:
a, So sánh:
So sánh:
Mà:
b, So sánh:
So sánh:
Mà:
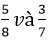
Vở bài tập Toán lớp 4 trang 29 Bài 3: Vân ăn cái bánh, Lan ăn cái bánh đó. Ai ăn nhiều bánh hơn?
Lời giải:
Bài toán đưa về so sánh hai phân số Vậy ta đưa hai phân số về cùng mẫu số để dễ
So sánh.
Quy đồng mẫu số của
Mà:
Vậy Lan ăn nhiều bánh hơn Vân.
Bài tập So sánh hai phân số khác mẫu số
- Giải sgk Toán lớp 4 So sánh hai phân số khác mẫu số
- Giải Toán 4 VNEN Bài 71: So sánh hai phân số khác mẫu
- Bài tập So sánh hai phân số nâng cao
Xem thêm các bài Giải vở bài tập Toán lớp 4 hay, chi tiết khác:
- Giải vở bài tập Toán lớp 4 Bài 110: Luyện tập
- Giải vở bài tập Toán lớp 4 Bài 111: Luyện tập chung
- Giải vở bài tập Toán lớp 4 Bài 112: Luyện tập chung
- Giải vở bài tập Toán lớp 4 Bài 113: Luyện tập chung
- Giải vở bài tập Toán lớp 4 Bài 114: Phép cộng phân số
Xem thêm các loạt bài Để học tốt môn Toán lớp 4:
Tủ sách VIETJACK shopee lớp 1-5 (2025):
Đã có app VietJack trên điện thoại, giải bài tập SGK, SBT Soạn văn, Văn mẫu, Thi online, Bài giảng....miễn phí. Tải ngay ứng dụng trên Android và iOS.
Theo dõi chúng tôi miễn phí trên mạng xã hội facebook và youtube:Loạt bài Giải vở bài tập Toán lớp 4 Tập 1 và Tập 2 | Giải vở bài tập Toán lớp 4 Tập 1, Tập 2 được biên soạn bám sát nội dung VBT Toán lớp 4.
Nếu thấy hay, hãy động viên và chia sẻ nhé! Các bình luận không phù hợp với nội quy bình luận trang web sẽ bị cấm bình luận vĩnh viễn.
- Giải Tiếng Anh lớp 4 Global Success
- Giải sgk Tiếng Anh lớp 4 Smart Start
- Giải sgk Tiếng Anh lớp 4 Family and Friends
- Giải sgk Tiếng Anh lớp 4 Wonderful World
- Giải sgk Tiếng Anh lớp 4 Explore Our World
- Lớp 4 - Kết nối tri thức
- Giải sgk Tiếng Việt lớp 4 - KNTT
- Giải Vở bài tập Tiếng Việt lớp 4 - KNTT
- Giải sgk Toán lớp 4 - KNTT
- Giải Vở bài tập Toán lớp 4 - KNTT
- Giải sgk Đạo đức lớp 4 - KNTT
- Giải sgk Khoa học lớp 4 - KNTT
- Giải sgk Lịch Sử và Địa Lí lớp 4 - KNTT
- Giải sgk Hoạt động trải nghiệm lớp 4 - KNTT
- Giải sgk Tin học lớp 4 - KNTT
- Giải sgk Công nghệ lớp 4 - KNTT
- Lớp 4 - Chân trời sáng tạo
- Giải sgk Tiếng Việt lớp 4 - CTST
- Giải Vở bài tập Tiếng Việt lớp 4 - CTST
- Giải sgk Toán lớp 4 - CTST
- Giải Vở bài tập Toán lớp 4 - CTST
- Giải sgk Đạo đức lớp 4 - CTST
- Giải sgk Khoa học lớp 4 - CTST
- Giải sgk Lịch Sử và Địa Lí lớp 4 - CTST
- Giải sgk Hoạt động trải nghiệm lớp 4 - CTST
- Giải sgk Tin học lớp 4 - CTST
- Giải sgk Công nghệ lớp 4 - CTST
- Lớp 4 - Cánh diều
- Giải sgk Tiếng Việt lớp 4 - Cánh diều
- Giải Vở bài tập Tiếng Việt lớp 4 - Cánh diều
- Giải sgk Toán lớp 4 - Cánh diều
- Giải Vở bài tập Toán lớp 4 - Cánh diều
- Giải sgk Đạo đức lớp 4 - Cánh diều
- Giải sgk Khoa học lớp 4 - Cánh diều
- Giải sgk Lịch Sử và Địa Lí lớp 4 - Cánh diều
- Giải sgk Hoạt động trải nghiệm lớp 4 - Cánh diều
- Giải sgk Tin học lớp 4 - Cánh diều
- Giải sgk Công nghệ lớp 4 - Cánh diều
- Giáo án lớp 4 (các môn học)
- Bài tập cuối tuần lớp 4 Toán, Tiếng Việt (có đáp án)
- Đề thi lớp 4 (các môn học)


Giải bài tập SGK & SBT
Tài liệu giáo viên
Sách
Khóa học
Thi online
Hỏi đáp

