Giáo án Toán 9 Bài 4: Giải hệ phương trình bằng phương pháp cộng đại số mới nhất
Giáo án Toán 9 Bài 4: Giải hệ phương trình bằng phương pháp cộng đại số mới nhất
Chỉ từ 300k mua trọn bộ Kế hoạch bài dạy (KHBD) hay Giáo án Toán 9 (cả năm) bản word có lời giải chi tiết:
- B1: gửi phí vào tk:
1133836868- CT TNHH DAU TU VA DV GD VIETJACK - Ngân hàng MB (QR) - B2: Nhắn tin tới Zalo VietJack Official - nhấn vào đây để thông báo và nhận giáo án
I. Mục tiêu:
Qua bài này giúp HS:
1. Kiến thức
- Biết được 2 bước trong quy tắc cộng đại số giải hệ phương trình.
- Biết được 2 trường hợp áp dụng của phương pháp cộng đại số trong giải hệ phương trình.
- Tóm tắc được cách giải hệ phương trình bẳng phương pháp cộng đại số.
- Vận dụng kiến thức giải các hệ phương trình.
2. Kỹ năng
- Tính và giải được các hệ phương trình bằng phương pháp công đại số.
- Biết cách áp dụng các trường hợp giải hệ phương trình bằng phương pháp cộng đại số.
3. Thái độ
- Nghiêm túc và hứng thú học tập.
- Yêu thích môn học.
4. Định hướng năng lực
- Năng lực tính toán
- Năng lực giải quyết vấn đề
- Năng lực hợp tác.
- Năng lực ngôn ngữ
- Năng lực giao tiếp.
- Năng lực tự học.
Phẩm chất: Tự tin, tự chủ.
II. Chuẩn bị:
- Gv : Thước thẳng, bảng phụ, phấn mầu.
- Hs : Thước thẳng, ôn tập kiến thức.
III. Tiến trình dạy học:
1.Ổn định (1 phút)
2.Nội dung
| Giáo viên | Học sinh | Nội dung ghi bài |
|---|---|---|
|
A – Hoạt động khởi động – 6p Mục tiêu: HS giải được hpt bằng pp thế PP: Vấn đáp, thuyết trình |
||
ND kiểm tra: Nêu cách giải hệ phương trình bằng phương pháp thế? Áp dụng giải hệ: |
1Học sinh lên bảng kiểm tra, lớp theo dõi nhận xét. |
Kết quả: x = 1 và y = 1 |
|
B – Hoạt động hình thành kiến thức -12p 1: Quy tắc cộng đại số (12 phút) - Mục tiêu: HS thực hiện được bước cộng từng vế hai phương trình, qua đó khái quát và nêu được quy tắc của phương pháp cộng đại số. - Phương pháp: Nêu vấn đề, thuyết trình, vấn đáp. |
||
| Gv: Xét hệ phương trình:
? Cộng từng vế hai phương trình của (I) ta được phương trình nào? ? Dùng phương trình mới đó thay thế cho phương trình thứ nhất, ta được hệ nào? ? Hãy giải tiếp hệ phương trình vừa tìm được? GV lưu ý hs: có thể thay thế cho phương trình thứ hai. ? nêu các bước giải hpt bắng PP cộng đại số GV: Cho HS làm ?1 Gv gợi ý: Trừ từng vế hai phương trình của (I) ta được phương trình mới ? Phương trình mới này còn lại mấy biến? ? Nếu kết hợp với 1 phương trình của hệ (I) đã tìm được x hoặc y chưa? Kết luận: Trong trường hợp này ta nên cộng. Bởi vì hệ số của biến trong hai phương trình là đối nhau. |
Hs theo dõi ví dụ 1 thông qua hướng dẫn của gv. Hs: (2x - y) + (x + y) = 3 hay 3x = 3 Ta được hệ sau:
Một hs lên bảng giải tiếp theo
Hs ghi nhận. Hs làm việc cá nhân thực hiện ?1 Một Hs lên bảng thực hiện Hs trả lời |
1. Quy tắc cộng đại số Ví dụ: Giải hệ phương trình
Vậy HPT (I) có nghiệm duy nhất
|
|
C – Hoạt động luyện tập – 19p - Mục tiêu: HS nêu được 2 trường hợp ứng dụng của quy tắc cộng đại số, qua đó tóm tắc được cách giải hệ phương trình bằng phương pháp cộng đại số. - Phương pháp: Nêu vấn đề, thuyết trình, vấn đáp. |
||
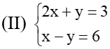
| (Hoạt động cá nhân, cặp đôi) GV: Xét hpt sau:
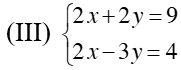
? Các hệ số của y trong hai phương trình của hệ (II) có đặc điểm gì? ? Để khử mất một biến ta nên cộng hay trừ? Gv yêu cầu một HS lên bảng giải. Gv nhận xét sửa chữa. Gv: Xét hpt sau:
? Các hệ số của x trong hai phương trình của hệ (III) có đặc điểm gì? ? Để khử mất một biến ta nên cộng hay trừ. Gv yêu cầu một HS lên bảng giải.
Gv: Xét hệ phương trình (IV) ? Có cộng (trừ) được không. Gv gợi ý : Nhân hai vết của phương trình thứ nhất với 2 và của phương trình thứ hai với 3 ta có hệ tương đương. Gv yêu cầu hs thảo luận nhóm 5phút thực hiện: ?4Hệ phương trình mới bây giờ giống ví dụ nào, có giải được không? ?5Nêu một cách khác để đưa hpt (IV) về trường hợp thứ nhất. Gv nhận xét sửa chữa. ? Qua ví dụ trên, hay tóm tắt cách giải hệ phương trình bằng phương pháp cộng đại số. Gv yêu cầu một vài HS nhắc lại. Gv chốt kiến thức |
Hs quan sát HS : các hệ số của y trong hai phương trình của hệ (II) đối nhau HS: nên cộng. Hs thực hiện Hs: Các hệ số của x trong hai phương trình của hệ (III) bằng nhau. Hs: Nên trừ Hs suy nghĩ trả lời. Hs thảo luận theo nhóm 4 giải. Sau đó đại diện một HS lên bảng giải. Hs suy nghĩ trả lời. Một vài HS nhắc lại Hs chú ý lắng nghe và ghi bài |
2. Áp dụng 1. Trường hợp thứ nhất VD2: Xét hệ phương trình:
Giải:
Vậy hệ có nghiệm duy nhất (3; -3) VD 3: Xét hệ phương trình
Vậy hệ phương trình có nghiệm duy nhất (3,5; 1) 2. Trường hợp thứ hai. VD 4: Xét hệ phương trình
Giải:
Hệ có ngh duy nhất (3; -1)
Hệ có ngh duy nhất (3; -1)
Tóm tắt cách giải trong sách giáo khoa |
|
D – Hoạt động vận dụng – 6p - Mục tiêu: HS vận dụng được kiến thức đã học giải hệ đơn giản. - Phương pháp: Nêu vấn đề, thuyết trình, vấn đáp. |
||
|
Gọi 3 học sinh lên bảng thực hiện làm bài 20a; 20b; 20e |
3 hs lên bảng thực hiện - Hs làm bài và báo cáo kết quả |
Bài 20-sgk:
|
|
E – Hoạt động tìm tòi, mở rộng (1p) - Mục tiêu: - HS chủ động làm các bài tập về nhà để củng cố kiến thức đã học. - HS chuẩn bị bài mới giúp tiếp thu tri thức sẽ học trong buổi sau. |
||
+Yêu cầu học sinh về nhà nắm vững cách giải phương trình bằng phương pháp cộng đại số. + Làm các bài tập 21; 22; 23-sgk; 16; 17-sbt + Chuẩn bị tiết luyện tập |
||
Xem thêm các bài soạn Giáo án Toán lớp 9 theo hướng phát triển năng lực mới nhất, hay khác:
- Giáo án Toán 9 Luyện tập trang 19-20 (Tập 2)
- Giáo án Toán 9 Bài 5: Giải bài toán bằng cách lập hệ phương trình
- Giáo án Toán 9 Bài 6: Giải bài toán bằng cách lập hệ phương trình (Tiếp theo)
- Giáo án Toán 9 Luyện tập trang 24-25
- Giáo án Toán 9 Ôn tập chương 3 Đại số
Tủ sách VIETJACK luyện thi vào 10 cho 2k11 (2026):
Đã có app VietJack trên điện thoại, giải bài tập SGK, SBT Soạn văn, Văn mẫu, Thi online, Bài giảng....miễn phí. Tải ngay ứng dụng trên Android và iOS.
Loạt bài Giáo án Toán lớp 9 mới, chuẩn nhất, theo hướng phát triển năng lực của chúng tôi được biên soạn bám sát mẫu Giáo án chuẩn môn Toán 9 của Bộ GD & ĐT.
Nếu thấy hay, hãy động viên và chia sẻ nhé! Các bình luận không phù hợp với nội quy bình luận trang web sẽ bị cấm bình luận vĩnh viễn.
- Giáo án lớp 9 (các môn học)
- Giáo án điện tử lớp 9 (các môn học)
- Giáo án Toán 9
- Giáo án Ngữ văn 9
- Giáo án Tiếng Anh 9
- Giáo án Khoa học tự nhiên 9
- Giáo án Vật Lí 9
- Giáo án Hóa học 9
- Giáo án Sinh học 9
- Giáo án Địa Lí 9
- Giáo án Lịch Sử 9
- Giáo án GDCD 9
- Giáo án Tin học 9
- Giáo án Công nghệ 9
- Đề thi lớp 9 (các môn học)
- Đề thi Ngữ Văn 9 (có đáp án)
- Đề thi Toán 9 (có đáp án)
- Đề thi Tiếng Anh 9 mới (có đáp án)
- Đề thi Tiếng Anh 9 (có đáp án)
- Đề thi Khoa học tự nhiên 9 (có đáp án)
- Đề thi Lịch Sử và Địa Lí 9 (có đáp án)
- Đề thi GDCD 9 (có đáp án)
- Đề thi Tin học 9 (có đáp án)
- Đề thi Công nghệ 9 (có đáp án)


Giải bài tập SGK & SBT
Tài liệu giáo viên
Sách
Khóa học
Thi online
Hỏi đáp

