Giáo án Toán 9 Luyện tập trang 19-20 (Tập 2) mới nhất
Giáo án Toán 9 Luyện tập trang 19-20 (Tập 2) mới nhất
Chỉ từ 300k mua trọn bộ Kế hoạch bài dạy (KHBD) hay Giáo án Toán 9 (cả năm) bản word có lời giải chi tiết:
- B1: gửi phí vào tk:
1133836868- CT TNHH DAU TU VA DV GD VIETJACK - Ngân hàng MB (QR) - B2: Nhắn tin tới Zalo VietJack Official - nhấn vào đây để thông báo và nhận giáo án
I. Mục tiêu:
Qua bài này giúp HS:
1. Kiến thức
- Nhắc lại được cách giải hệ phương trình bằng phương pháp cộng đại số, phương pháp thế.
- Vận dụng được kiến thức để giải hệ phương trình bằng phương pháp cộng đại số, qua đó mở rộng với các bài chứa tham số. (làm được bài tập)
- HS có mối liên hệ tương ứng giữa nghiệm của hệ hai phương trình và số giao điểm của 2 đường thẳng, bước đầu áp dụng tìm nghiệm của hệ và bài toán tìm tọa độ giao điểm của hai đường thẳng cho trước. (B26-SGK)
2. Kỹ năng
- Nhận biết được hệ phương trình để có cách giải phù hợp nhất.
- Ren kĩ năng trình bày giải hệ phương trình thành thạo, chính xác.
3. Thái độ
- Nghiêm túc và hứng thú học tập.
- Yêu thích môn học.
4. Định hướng năng lực, phẩm chất
- Năng lực tính toán
- Năng lực giải quyết vấn đề
- Năng lực hợp tác.
- Năng lực ngôn ngữ
- Năng lực giao tiếp.
- Năng lực tự học.
Phẩm chất: Tự tin, tự chủ.
II. Chuẩn bị:
- Gv : Thước thẳng, bảng phụ, phấn mầu, máy tính casio.
- Hs : Học bài, chuẩn bị bài ở nhà, máy tính casio.
III. Tiến trình dạy học:
1.Ổn định
2.Nội dung
| Giáo viên | Học sinh | Nội dung ghi bài |
|---|---|---|
Hoạt động 1: Khởi động – 10p Mục tiêu: HS biết giải HPT bằng 2 phương pháp PP: Vấn đáp, thuyết trình |
||
| GV nêu yêu cầu kiểm tra: Cho hpt
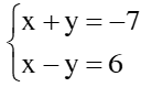
HS1: Giải hpt trên = pp thế HS2: Giải hpt trên = pp cộng đại số GV nx, cho điểm |
2 HS lên bảng kiểm tra HS1: Giải hpt = pp thế
Vậy hpt có 1 nghiệm duy nhất: (x; y) = (3; 4) HS2: giải hpt = pp cộng đại số
Vậy hpt có 1 nghiệm duy nhất: (x; y) = (3; 4) HS lớp nx, chữa bài |
|
|
Họat động 2: Luyện tập – 33p Mục tiêu: HS biết giải HPT bằng pp cộng |
||
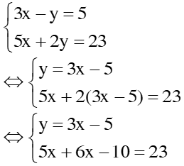
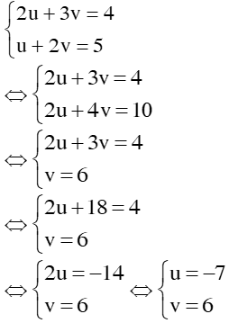
| GV yêu cầu HS làm bài tập 22(SGK – tr19) - GV: vì hệ số của ẩn y trong 2pt nhỏ hơn hệ số của ẩn x -> nên khử ẩn y ? Ta khử ẩn y ntn? GV gọi 1 HS lên bảng GV nhận xét bài làm của HS GV yêu cầu 1HS lên bảng làm câu b GV lưu ý: phương trình 0x + 0y = c (với c là 1 số khác 0) vô nghiệm => hpt đã cho vô nghiệm GV gọi 1 HS lên bảng làm câu c ? trước hết ta phải làm gì? Ta sẽ được hpt nào? ? Ta giải hệ này ntn? GV: pt 0x + 0y = 0 là 1 pt luôn đúng với mọi x,y. Vậy hpt đã cho có bao nhiêu nghiệm? Và CT nghiệm TQ là gì? GV yêu cầu HS làm bài tập 24ª SGK GV: Hpt đã có dang TQ của hpt bậc nhất 2 ẩn chưa? ? Làm cách nào để đưa về dạng TQ? GV yêu cầu 1 HS lên bảng làm GV nhận xét bài làm của HS và hướng dẫn HS giải hpt này theo cách 2 bằng pp đặt ẩn phụ: Đặt x + y = u; x – y = v. Khi đó hpt đã cho trở thành hpt nào? Với ẩn là ẩn nào? GV hãy giải hpt này GV: Sau khi giải xong hpt với biến mới, các em phải thay trở lại bước đổi biến để tìm biến ban đầu Cụ thể: Thay GV: pp đặt ẩn phụ được dùng nhiều trong TH hpt có biểu thức lặp lại nhiều lần. Tuy nhiên khi đặt ẩn phụ các em cần lưu y tới đk nếu có GV yêu cầu HS làm bài tập 26a(SGK) ?Với GT đồ thị hsố đi qua 2 điểm A và B đã biết tọa độ ta sẽ có được điều gì? ? Với A(2; – 2) thuộc đồ thị hsố ta sẽ có được hệ thức nào? Hãy đưa về pt bậc nhất 2 ẩn a, b ? Tương tự với điểm B Từ (1) và (2) ta có hpt nào ? Giải hpt này tìm a, b |
HS làm bài tập 22 HS: Nhân 2 vế của pt(1) với 3 và nhân 2 vế của pt(2) với 2 HS:
Vậy hpt có 1 nghiệm duy nhất: (x; y) = HS lớp nhận xét, chữa bài
Vậy hpt đã cho vô nghiệm HS: Nhân cả 2 vế của pt(2) với 3, ta được hpt:
HS: trừ từng vế của 2 pt:
HS: hpt có vô số nghiệm, nghiệm TQ của hpt là:
HS suy nghĩ làm bài tập 24 HS: Hpt chưa có dạng TQ HS: Áp dụng qtắc bỏ ngoặc HS:
Vậy hpt có 1 nghiệm duy nhất:
HS: hpt trở thành:
HS suy nghĩ làm bài tập 26 HS: Tọa độ 2 điểm A, B sẽ thỏa mãn CT hsố y = ax + b HS: – 2 = a.2 + b <=> 2a + b = – 2 (1) HS: Vì B(– 1; 3) thuộc đồ thị hsố nên ta có: 3 = a.(– 1) + b <=> – a + b = 3 (2) HS: Từ (1) và (2) ta có hpt:
Vậy HS lớp chữa bài |
1. Bài 22(SGK – tr19): a.
Vậy hpt có 1 nghiệm duy nhất: (x; y) = b. Vậy hpt đã cho vô nghiệm c. <=> Vậy hpt có vô số nghiệm, nghiệm TQ của hpt là:
2. Bài 24(SGK – tr19): a. * Cách 1:
Vậy hpt có 1 nghiệm duy nhất:
* Cách 2: Đặt
Thay ta được:
Vậy hpt có 1 nghiệm duy nhất:
3. Bài 26(SGK – tr19): Xác định hệ số a, b của đồ thị hsố y = ax + b đi qua 2 điểm A, B trong trường hợp sau: a. A(2; – 2) và B(– 1; 3) Giải: + Vì A(2; – 2) thuộc đồ thị hsố nên ta có: – 2 = a.2 + b <=> 2a + b = – 2 (1) + Vì B(– 1; 3) thuộc đồ thị hsố nên ta có: 3 = a.(– 1) + b <=> – a + b = 3(2) + Từ (1) và (2) ta có hpt:
Vậy |
|
Hoạt động 3: Tìm tòi, mở rộng. – 2p - Mục tiêu: - HS chủ động làm các bài tập về nhà để củng cố kiến thức đã học. - HS chuẩn bị bài mới giúp tiếp thu tri thức sẽ học trong buổi sau. - Kĩ thuật sử dụng: Kĩ thuật viết tích cực |
||
|
- Nắm vững các cách giải hpt. - BTVN: 23; 24b; 26 (SGK) - Chuẩn bị tiết luyện tập. |
||
Xem thêm các bài soạn Giáo án Toán lớp 9 theo hướng phát triển năng lực mới nhất, hay khác:
- Giáo án Toán 9 Bài 5: Giải bài toán bằng cách lập hệ phương trình
- Giáo án Toán 9 Bài 6: Giải bài toán bằng cách lập hệ phương trình (Tiếp theo)
- Giáo án Toán 9 Luyện tập trang 24-25
- Giáo án Toán 9 Ôn tập chương 3 Đại số
- Giáo án Toán 9 Bài 1: Hàm số y = ax2 (a ≠ 0)
Tủ sách VIETJACK luyện thi vào 10 cho 2k11 (2026):
Đã có app VietJack trên điện thoại, giải bài tập SGK, SBT Soạn văn, Văn mẫu, Thi online, Bài giảng....miễn phí. Tải ngay ứng dụng trên Android và iOS.
Loạt bài Giáo án Toán lớp 9 mới, chuẩn nhất, theo hướng phát triển năng lực của chúng tôi được biên soạn bám sát mẫu Giáo án chuẩn môn Toán 9 của Bộ GD & ĐT.
Nếu thấy hay, hãy động viên và chia sẻ nhé! Các bình luận không phù hợp với nội quy bình luận trang web sẽ bị cấm bình luận vĩnh viễn.
- Giáo án lớp 9 (các môn học)
- Giáo án điện tử lớp 9 (các môn học)
- Giáo án Toán 9
- Giáo án Ngữ văn 9
- Giáo án Tiếng Anh 9
- Giáo án Khoa học tự nhiên 9
- Giáo án Vật Lí 9
- Giáo án Hóa học 9
- Giáo án Sinh học 9
- Giáo án Địa Lí 9
- Giáo án Lịch Sử 9
- Giáo án GDCD 9
- Giáo án Tin học 9
- Giáo án Công nghệ 9
- Đề thi lớp 9 (các môn học)
- Đề thi Ngữ Văn 9 (có đáp án)
- Đề thi Toán 9 (có đáp án)
- Đề thi Tiếng Anh 9 mới (có đáp án)
- Đề thi Tiếng Anh 9 (có đáp án)
- Đề thi Khoa học tự nhiên 9 (có đáp án)
- Đề thi Lịch Sử và Địa Lí 9 (có đáp án)
- Đề thi GDCD 9 (có đáp án)
- Đề thi Tin học 9 (có đáp án)
- Đề thi Công nghệ 9 (có đáp án)


Giải bài tập SGK & SBT
Tài liệu giáo viên
Sách
Khóa học
Thi online
Hỏi đáp

