Bài tập về ester của amino acid và cách giải
Với Bài tập về ester của amino acid và cách giải sẽ giúp học sinh nắm vững lý thuyết, biết cách làm bài tập từ đó có kế hoạch ôn tập hiệu quả để đạt kết quả cao trong các bài thi môn Hóa 12.
Bài tập về ester của amino acid và cách giải
Thi online Hóa 12 KNTTThi online Hóa 12 CDThi online Hóa 12 CTST

I. Lý thuyết và phương pháp giải
Xét amino acid có một nhóm -COOH
+ Phản ứng hóa học:
+ Sản phẩm của phản ứng ester hóa có dạng (NH2)a-R-COOR'.
+ (NH2)a-R-COOR' vừa có thể phản ứng trong môi trường axit vừa phản ứng trong môi trường bazơ nhưng đây không phải là chất lưỡng tính:
(NH2)a-R-COOR' + NaOH → (NH2)a-R-COONa + R'OH
(NH2)a-R-COOR' + aHCl → (NH3Cl)a-R-COOR'
II. Ví dụ minh họa
Câu 1: amino acid có khả năng tham gia phản ứng ester hóa vì:
A. amino acid là chất lưỡng tính
B. amino acid chứa nhóm chức –COOH
C. amino acid chứa nhóm chức –NH2
D. Tất cả đều sai
Hướng dẫn giải:
Đáp án B
amino acid chứa nhóm –COOH trong phân tử
⇒ Mang đầy đủ tính chất của axit cacbonxylic, do đó amino acid có phản ứng ester hóa.
→ Đáp án B
Câu 2:Thựchiệnphảnứng esterhoágiữa -amino acidXvàancolCH3OH thuđượceste A có tỷ khối hơi so với không khí bằng 3,07. Xác định công thức cấu tạo của X?
A. H2N – CH2- COOH
B. H2N – CH2- CH2- COOH
C. H2N-CH(NH2)-COOH
D. CH3-NH-CH2-COOH
Hướng dẫn giải:
Đáp án A
MA= 29 . 3,07 = 89
⇒ A chỉ có 1 nhóm chức ester
⇒ A có dạng (H2N)a-R-COOCH3
⇒16a + R + 59 = 89
⇒16a + R = 30
⇒ a = 1, R = 14
⇒ A là : H2N –CH2–COOCH3.
⇒ X là H2N –CH2–COOH
Câu 3: X là ester của α - amino acid có công thức là C5H11O2N. X tác dụng vừa đủ với dung dịch NaOH thì thu được 13,32 gam muối Y và 5,52 gam ancol đơn chức Z. Vậy công thức cấu tạo của X là:
A.CH3CH2CH(NH2)COOCH3.
B. CH3CH2CH(NH2)COOC2H5.
C. H2NCH2CH2COOC2H5.
D. H2NCH2COOC3H7.
Hướng dẫn giải:
Đáp án B
X là ester của α - amino acid có công thức là C5H11O2N ⇒ X chứa 1 nhóm -COOH và 1 -NH2.
Gọi nX= a (mol) ⇒ nNaOH = a (mol)
Bảo toàn khối lượng cho phương trình ta có:
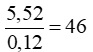
117a + 40a=13,32+5,52
⇒ a=0,12 mol
⇒ MZ =
( C2H5OH)
⇒ X là CH3CH2CH(NH2)COOC2H5

III. Bài tập tự luyện
Câu 1: ester A được điều chế từ α - amino acid và methyl alcohol. Tỉ khối hơi của A so với hidro bằng 44,5. Công thức cấu tạo của A là:
A. CH3–CH(NH2)–COOCH3.
B. H2N-CH2-CH2-COOH
C. H2N –CH2–COOCH3.
D.H2N –CH2–CH(NH2)–COOCH3.
Câu 2: Hợp chất hữu cơ X (C5H11O2N) tác dụng với dung dịch NaOH dư, đun nóng thu được muối natri của α - amino acid và ancol. Số công thức cấu tạo của X là:
A. 6
B. 2
C. 5
D. 3
Câu 3: ester A được điều chế từ amino acid B (chỉ chứa C, H, O, N) và methyl alcohol. Tỉ khối hơi của A so với H2 là 44,5. Đốt cháy hoàn toàn 8,9g ester A thu được 13,2g CO2; 6,3g H2O và 1,12 lít N2 (đktc). Công thức cấu tạo thu gọn của A, B lần lượt là:
A. CH2(NH2)COOCH3; CH2(NH2)COOH.
B. CH(NH2)2COOH; CH(NH2)2COOCH3.
C. CH2(NH2)COOH; CH2(NH2)COOCH3.
D. CH(NH2)2COOCH3; CH(NH2)2COOH.
Câu 4: X là ester của α - amino acid ( chứa 1 nhóm -COOH và 1 -NH2) với ancol đơn chức. Đun nóng 2,314 gam X trong dung dịch NaOH ( vừa đủ ) sau phản ứng thu được 2,522 gam muối Y. Vậy công thức của X là:
A.H2N-CH2-COOCH3.
B. H2N-C2H4-COOCH3.
C. H2N-C3H6-COOC2H5.
D. H2N-CH2COOC2H5..
Câu 5: Cho axit acrylic tác dụng với ancol đơn chức X, thu được ester Y. Trong Y, oxi chiếm 32% về khối lượng. Công thức của Y là
A. C2H3COOCH3.
B. C2H3COOC2H5.
C. C2H5COOC2H5.
D. CH3COOC2H5.
Câu 6: Khi đun nóng chất X có công thức phân tử C4H8O2 với dung dịch NaOH, thu được CH3COONa. Công thức cấu tạo của X là
A. CH3COOC2H5
B. HCOOC3H7
C. CH3CH2COOCH3.
D. CH3COOC2H3
Câu 7: Cho α - amino acid X tác dụng với ancol đơn chức Y trong HCl khan thu được chất hữu cơ Z có công thức phân tử là C5H12O2NCl. Cho Z tác dụng vừa đủ với 100 ml dung dịch NaOH 2M, đun nóng, thu được 18,35 gam muối. Công thức cấu tạo của X là:
A. CH3-CH2-CH(NH2)-COOH.
B. CH3-CH(NH2)-COOH.
C. CH3-CH(NH2)-CH2-COOH.
D. H2N-CH2-CH2-COOH.
Câu 8: Cho glycine tác dụng với ethyl alcohol trong môi trường HCl khan thu được chất X. CTPT của X là:
A. C4H10O2NCl
B. C4H9O2N
C. C5H13O2NCl
D. C4H9O2NCl.
Câu 9: ester X được điều chế từ α - amino acid và ethyl alcohol. Tỉ khối hơn của X so với hiđro là 51,5. Đun nóng 10,3 gam X trong 200 ml dung dịch KOH 1,4 M sau đó cô cạn dung dịch thu được chất rắn Y. Cho Y vào dung dịch HCl dư, sau đó cô cạn thu được chất rắn G (quá trình cô cạn không xảy ra phản ứng). Vậy khối lượng chất rắn G là:
A. 11,15 gam
B. 32,13 gam
C. 32,01 gam
D. 27,53 gam
Câu 10: Hòa tan 30 gam glycine trong 60 gam ethanol, rồi thêm từ từ 10 ml dung dịch H2SO4 đặc,sau đó đun nóng 1 thời gian. Để nguội, cho hỗn hợp vào nước lạnh, rồi trung hòa bằng NH3 dư thu được một sản phẩm hữu cơ có khối lượng 32,96 gam. Hiệu suất của phản ứng là :
A. 75%
B. 80%
C. 85%
D. 60%
Đáp án tham khảo
1. C |
2. C |
3. A |
4. A |
5. B |
6. A |
7. A |
8. A |
9. D |
10. B |
Thi online Hóa 12 KNTTThi online Hóa 12 CDThi online Hóa 12 CTST
Xem thêm các phương pháp giải nhanh bài tập Hóa học hay khác:
- Bài tập về phản ứng trùng ngưng amino acid và cách giải
- Bài tập thủy phân peptit và protein và cách giải
- Trắc nghiệm lý thuyết Chương 4 polymer và vật liệu polymer có lời giải
- Bài tập tính số mắt xích, tỉ lệ số mắt xích polymer và cách giải
- Bài tập liên quan đến hiệu suất phản ứng polymer hóa và cách giải
Đã có app VietJack trên điện thoại, giải bài tập SGK, SBT Soạn văn, Văn mẫu, Thi online, Bài giảng....miễn phí. Tải ngay ứng dụng trên Android và iOS.
Theo dõi chúng tôi miễn phí trên mạng xã hội facebook và youtube:Nếu thấy hay, hãy động viên và chia sẻ nhé! Các bình luận không phù hợp với nội quy bình luận trang web sẽ bị cấm bình luận vĩnh viễn.
- Giải Tiếng Anh 12 Global Success
- Giải sgk Tiếng Anh 12 Smart World
- Giải sgk Tiếng Anh 12 Friends Global
- Lớp 12 Kết nối tri thức
- Soạn văn 12 (hay nhất) - KNTT
- Soạn văn 12 (ngắn nhất) - KNTT
- Giải sgk Toán 12 - KNTT
- Giải sgk Vật Lí 12 - KNTT
- Giải sgk Hóa học 12 - KNTT
- Giải sgk Sinh học 12 - KNTT
- Giải sgk Lịch Sử 12 - KNTT
- Giải sgk Địa Lí 12 - KNTT
- Giải sgk Giáo dục KTPL 12 - KNTT
- Giải sgk Tin học 12 - KNTT
- Giải sgk Công nghệ 12 - KNTT
- Giải sgk Hoạt động trải nghiệm 12 - KNTT
- Giải sgk Giáo dục quốc phòng 12 - KNTT
- Giải sgk Âm nhạc 12 - KNTT
- Giải sgk Mĩ thuật 12 - KNTT
- Lớp 12 Chân trời sáng tạo
- Soạn văn 12 (hay nhất) - CTST
- Soạn văn 12 (ngắn nhất) - CTST
- Giải sgk Toán 12 - CTST
- Giải sgk Vật Lí 12 - CTST
- Giải sgk Hóa học 12 - CTST
- Giải sgk Sinh học 12 - CTST
- Giải sgk Lịch Sử 12 - CTST
- Giải sgk Địa Lí 12 - CTST
- Giải sgk Giáo dục KTPL 12 - CTST
- Giải sgk Tin học 12 - CTST
- Giải sgk Hoạt động trải nghiệm 12 - CTST
- Giải sgk Âm nhạc 12 - CTST
- Lớp 12 Cánh diều
- Soạn văn 12 Cánh diều (hay nhất)
- Soạn văn 12 Cánh diều (ngắn nhất)
- Giải sgk Toán 12 Cánh diều
- Giải sgk Vật Lí 12 - Cánh diều
- Giải sgk Hóa học 12 - Cánh diều
- Giải sgk Sinh học 12 - Cánh diều
- Giải sgk Lịch Sử 12 - Cánh diều
- Giải sgk Địa Lí 12 - Cánh diều
- Giải sgk Giáo dục KTPL 12 - Cánh diều
- Giải sgk Tin học 12 - Cánh diều
- Giải sgk Công nghệ 12 - Cánh diều
- Giải sgk Hoạt động trải nghiệm 12 - Cánh diều
- Giải sgk Giáo dục quốc phòng 12 - Cánh diều
- Giải sgk Âm nhạc 12 - Cánh diều


Giải bài tập SGK & SBT
Tài liệu giáo viên
Sách
Khóa học
Thi online
Hỏi đáp

