Tìm số hạng đầu và công bội của cấp số nhân (un), biết
Giải SBT Toán 11 Cánh diều Bài 3: Cấp số nhân
Bài 39 trang 55 SBT Toán 11 Tập 1: Tìm số hạng đầu và công bội của cấp số nhân (un), biết:
Lời giải:
a) Ta có u2 + u4 = .
Mà u2 + u4 = 40 nên ⇒ 16 + 16q2 = 40q
⇔ 2q2 – 5q + 2 = 0 .
Lại có u3 = u1 q2 = 16, suy ra u1 = .
Với thì .
Với q = 2 thì .
Vậy u1 = 64, q = hoặc u1 = 4, q = 2.
b) Ta có u1 + u6 = u1 + u1 . q5 = 244, suy ra u1 . q5 = 244 – u1.
Lại có u2 . u5 = (u1 . q) . (u1 . q4) = u1 . (u1 . q5) = u1 . (244 – u1) = 244u1 – u12.
Suy ra 244u1 – u12 = 243 .
Với u1 = 1 thì q5 = 244 – 1 = 243 = 35, suy ra q = 3.
Với u1 = 243 thì 243q5 = 244 – 243 ⇔ 243q5 = 1 .
Vậy u1 = 1, q = 3 hoặc u1 = 243, .
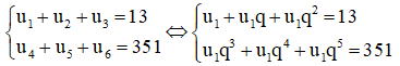
c) Ta có
Lấy (2) chia vế theo vế cho 1, ta được q3 = 27, suy ra q = 3.
Ta có u1 (1 + 3 + 32) = 13 ⇔ 13u1 = 13 ⇔ u1 = 1.
Vậy u1 = 1, q = 3.
Lời giải SBT Toán 11 Bài 3: Cấp số nhân hay khác:
Xem thêm lời giải Sách bài tập Toán 11 Cánh diều hay, chi tiết khác:
Xem thêm các tài liệu học tốt lớp 11 hay khác:
- Giải sgk Toán 11 Cánh diều
- Giải Chuyên đề học tập Toán 11 Cánh diều
- Giải SBT Toán 11 Cánh diều
- Giải lớp 11 Cánh diều (các môn học)
- Giải lớp 11 Kết nối tri thức (các môn học)
- Giải lớp 11 Chân trời sáng tạo (các môn học)
Tủ sách VIETJACK shopee lớp 10-11 (cả 3 bộ sách):
Đã có app VietJack trên điện thoại, giải bài tập SGK, SBT Soạn văn, Văn mẫu, Thi online, Bài giảng....miễn phí. Tải ngay ứng dụng trên Android và iOS.
Theo dõi chúng tôi miễn phí trên mạng xã hội facebook và youtube:Nếu thấy hay, hãy động viên và chia sẻ nhé! Các bình luận không phù hợp với nội quy bình luận trang web sẽ bị cấm bình luận vĩnh viễn.
- Soạn văn 11 Cánh diều (hay nhất)
- Soạn văn 11 Cánh diều (ngắn nhất)
- Giải sgk Toán 11 - Cánh diều
- Giải Tiếng Anh 11 Global Success
- Giải sgk Tiếng Anh 11 Smart World
- Giải sgk Tiếng Anh 11 Friends Global
- Giải sgk Vật Lí 11 - Cánh diều
- Giải sgk Hóa học 11 - Cánh diều
- Giải sgk Sinh học 11 - Cánh diều
- Giải sgk Lịch Sử 11 - Cánh diều
- Giải sgk Địa Lí 11 - Cánh diều
- Giải sgk Giáo dục KTPL 11 - Cánh diều
- Giải sgk Tin học 11 - Cánh diều
- Giải sgk Công nghệ 11 - Cánh diều
- Giải sgk Hoạt động trải nghiệm 11 - Cánh diều
- Giải sgk Giáo dục quốc phòng 11 - Cánh diều
- Giải sgk Âm nhạc 11 - Cánh diều


Giải bài tập SGK & SBT
Tài liệu giáo viên
Sách
Khóa học
Thi online
Hỏi đáp

