Giải các phương trình sau trang 29 SBT Toán 11
Giải sách bài tập Toán 11 Bài tập cuối chương 1 - Kết nối tri thức
Bài 1.62 trang 29 SBT Toán 11 Tập 1: Giải các phương trình sau:
a) ;
b) ;
c) sin 3x – cos 5x = 0;
d) tan 3x tan x = 1.
Lời giải:
a) Ta có
b) Ta có
⇔ + 10° = – 30° + k180° (k ∈ ℤ)
⇔ x = – 120° + k540° (k ∈ ℤ).
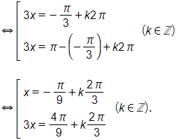
c) Ta có sin 3x – cos 5x = 0
⇔ sin 3x = cos 5x
d) Điều kiện cos 3x ≠ 0 và cos x ≠ 0 ⇔ cos3x ≠ 0 .
Ta có tan 3x tan x = 1
⇔ tan 3x = cot x
.
Ta thấy thoả mãn điều kiện.
Vậy nghiệm của phương trình là .
Lời giải SBT Toán 11 Bài tập cuối chương 1 hay khác:
Bài 1.31 trang 25 SBT Toán 11 Tập 1: Đổi số đo góc α = 105° sang rađian ta được ....
Bài 1.34 trang 25 SBT Toán 11 Tập 1: Cho . Mệnh đề nào sau đây đúng? ....
Bài 1.35 trang 25 SBT Toán 11 Tập 1: Trong các đẳng thức sau, đẳng thức nào sai? ....
Bài 1.36 trang 26 SBT Toán 11 Tập 1: Trong các đẳng thức sau, đẳng thức nào đúng? ....
Bài 1.37 trang 26 SBT Toán 11 Tập 1: Biết sin x =. Giá trị của cos2 x bằng ....
Bài 1.38 trang 26 SBT Toán 11 Tập 1: Biết cot x =. Giá trị của biểu thức bằng ....
Bài 1.39 trang 26 SBT Toán 11 Tập 1: Trong các đẳng thức sau, đẳng thức nào sai? ....
Bài 1.40 trang 26 SBT Toán 11 Tập 1: Trong các đẳng thức sau, đẳng thức nào sai? ....
Bài 1.41 trang 26 SBT Toán 11 Tập 1: Tập xác định của hàm số là ....
Bài 1.42 trang 26 SBT Toán 11 Tập 1: Khẳng định nào sau đây đúng? ....
Bài 1.43 trang 27 SBT Toán 11 Tập 1: Khẳng định nào sau đây sai? ....
Bài 1.45 trang 27 SBT Toán 11 Tập 1: Mệnh đề nào sau đây sai? ....
Bài 1.46 trang 27 SBT Toán 11 Tập 1: Mệnh đề nào sau đây sai? ....
Bài 1.47 trang 27 SBT Toán 11 Tập 1: Mệnh đề nào dưới đây đúng? ....
Bài 1.48 trang 27 SBT Toán 11 Tập 1: Số nghiệm của phương trình trên đoạn
là ....
Bài 1.55 trang 28 SBT Toán 11 Tập 1: Rút gọn các biểu thức sau a) ; ....
Bài 1.56 trang 28 SBT Toán 11 Tập 1: Chứng minh các biểu thức sau không phụ thuộc vào x: ....
Bài 1.58 trang 29 SBT Toán 11 Tập 1: Tìm tập xác định của các hàm số sau: a) ; ....
Bài 1.59 trang 29 SBT Toán 11 Tập 1: Tìm giá trị lớn nhất và giá trị nhỏ nhất của p ....
Bài 1.60 trang 29 SBT Toán 11 Tập 1: Xét tính chẵn lẻ của các hàm số sau: ....
Bài 1.61 trang 29 SBT Toán 11 Tập 1: Xét tính tuần hoàn của các hàm số sau: ....
Bài 1.63 trang 30 SBT Toán 11 Tập 1: Giải các phương trình sau: a) sin 5x + cos 5x = – 1; ....
Xem thêm lời giải Sách bài tập Toán 11 Kết nối tri thức hay, chi tiết khác:
Xem thêm các tài liệu học tốt lớp 11 hay khác:
- Giải sgk Toán 11 Kết nối tri thức
- Giải Chuyên đề học tập Toán 11 Kết nối tri thức
- Giải SBT Toán 11 Kết nối tri thức
- Giải lớp 11 Kết nối tri thức (các môn học)
- Giải lớp 11 Chân trời sáng tạo (các môn học)
- Giải lớp 11 Cánh diều (các môn học)
Tủ sách VIETJACK shopee lớp 10-11 (cả 3 bộ sách):
Đã có app VietJack trên điện thoại, giải bài tập SGK, SBT Soạn văn, Văn mẫu, Thi online, Bài giảng....miễn phí. Tải ngay ứng dụng trên Android và iOS.
Theo dõi chúng tôi miễn phí trên mạng xã hội facebook và youtube:Nếu thấy hay, hãy động viên và chia sẻ nhé! Các bình luận không phù hợp với nội quy bình luận trang web sẽ bị cấm bình luận vĩnh viễn.
- Soạn văn 11 (hay nhất) - KNTT
- Soạn văn 11 (ngắn nhất) - KNTT
- Giải sgk Toán 11 - KNTT
- Giải Tiếng Anh 11 Global Success
- Giải sgk Tiếng Anh 11 Smart World
- Giải sgk Tiếng Anh 11 Friends Global
- Giải sgk Vật Lí 11 - KNTT
- Giải sgk Hóa học 11 - KNTT
- Giải sgk Sinh học 11 - KNTT
- Giải sgk Lịch Sử 11 - KNTT
- Giải sgk Địa Lí 11 - KNTT
- Giải sgk Giáo dục KTPL 11 - KNTT
- Giải sgk Tin học 11 - KNTT
- Giải sgk Công nghệ 11 - KNTT
- Giải sgk Hoạt động trải nghiệm 11 - KNTT
- Giải sgk Giáo dục quốc phòng 11 - KNTT
- Giải sgk Âm nhạc 11 - KNTT


Giải bài tập SGK & SBT
Tài liệu giáo viên
Sách
Khóa học
Thi online
Hỏi đáp

