Giả sử un là số hạng thứ n của dãy số (un)
Giải sách bài tập Toán 11 Bài tập ôn tập cuối năm - Kết nối tri thức
Bài 29 trang 70 SBT Toán 11 Tập 2: Giả sử un là số hạng thứ n của dãy số (un) và .
a) Chứng tỏ rằng u1 = 1, u2 = 1 và un + 2 = un + 1 + un với mọi n ℕ*. Từ đó suy ra (un) là dãy số Fibonacci.
b) Viết 11 số hạng đầu tiên của dãy Fibonacci và 10 tỉ số đầu tiên.
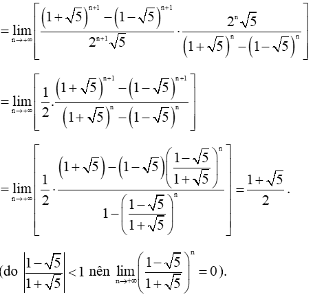
Tính .
Lời giải:
a) Ta có an + 2 – bn + 2 = an + 1.a − bn + 1.b
= an + 1.a + an + 1.b − bn + 1.b − bn + 1.a − an + 1.b + bn + 1.a
= an + 1.(a + b) − bn + 1.(a + b) – ab(an − bn)
= (an + 1 − bn + 1).(a + b) – ab(an − bn) (*)
Có .
.
Áp dụng (*), ta có:
= un+1 + un.
Vậy un + 2 = un+1 + un. Do đó (un) là dãy Fibonacci.
b) Ta có bảng sau
n |
1 |
2 |
3 |
4 |
5 |
6 |
7 |
8 |
9 |
10 |
11 |
un |
1 |
1 |
2 |
3 |
5 |
8 |
13 |
21 |
34 |
55 |
89 |
1 |
2 |
Ta có
Lời giải SBT Toán 11 Bài tập ôn tập cuối năm hay khác:
Bài 1 trang 66 SBT Toán 11 Tập 2: Khẳng định nào sau đây là sai? ....
Bài 2 trang 66 SBT Toán 11 Tập 2: Hàm số y = cos là hàm số tuần hoàn với chu kì ....
Bài 7 trang 67 SBT Toán 11 Tập 2: Trong các mệnh đề sau, mệnh đề sai là ....
Bài 8 trang 67 SBT Toán 11 Tập 2: Giá trị của m để hàm số
liên tục trên ℝ là ....
Bài 9 trang 67 SBT Toán 11 Tập 2: Hàm số đồng biến trên toàn bộ tập số thực ℝ là ....
Bài 10 trang 67 SBT Toán 11 Tập 2: Tập nghiệm của bất phương trình là ....
Bài 11 trang 68 SBT Toán 11 Tập 2: Đạo hàm của hàm số là ....
Bài 25 trang 70 SBT Toán 11 Tập 2: Cho sinx = -, x . Tính giá trị cos ....
Bài 26 trang 70 SBT Toán 11 Tập 2: Chứng minh rằng: a) sin3x = 4sinx sin(60° − x) sin(60° + x) ....
Bài 30 trang 70 SBT Toán 11 Tập 2: Tính các giới hạn sau: a) ; b) ....
Bài 31 trang 71 SBT Toán 11 Tập 2: Tìm m để hàm số sau liên tục trên toàn bộ tập số thực ℝ ....
Bài 32 trang 71 SBT Toán 11 Tập 2: Giải các phương trình sau: a) ....
Bài 34 trang 71 SBT Toán 11 Tập 2: Tính đạo hàm của các hàm số sau: a) ....
Xem thêm lời giải Sách bài tập Toán 11 Kết nối tri thức hay, chi tiết khác:
- SBT Toán 11 Chương 6: Hàm số mũ và hàm số lôgarit
- SBT Toán 11 Chương 7: Quan hệ vuông góc trong không gian
- SBT Toán 11 Chương 8: Các quy tắc tính xác suất
- SBT Toán 11 Chương 9: Đạo hàm
Xem thêm các tài liệu học tốt lớp 11 hay khác:
- Giải sgk Toán 11 Kết nối tri thức
- Giải Chuyên đề học tập Toán 11 Kết nối tri thức
- Giải SBT Toán 11 Kết nối tri thức
- Giải lớp 11 Kết nối tri thức (các môn học)
- Giải lớp 11 Chân trời sáng tạo (các môn học)
- Giải lớp 11 Cánh diều (các môn học)
Tủ sách VIETJACK shopee lớp 10-11 (cả 3 bộ sách):
Đã có app VietJack trên điện thoại, giải bài tập SGK, SBT Soạn văn, Văn mẫu, Thi online, Bài giảng....miễn phí. Tải ngay ứng dụng trên Android và iOS.
Theo dõi chúng tôi miễn phí trên mạng xã hội facebook và youtube:Nếu thấy hay, hãy động viên và chia sẻ nhé! Các bình luận không phù hợp với nội quy bình luận trang web sẽ bị cấm bình luận vĩnh viễn.
- Soạn văn 11 (hay nhất) - KNTT
- Soạn văn 11 (ngắn nhất) - KNTT
- Giải sgk Toán 11 - KNTT
- Giải Tiếng Anh 11 Global Success
- Giải sgk Tiếng Anh 11 Smart World
- Giải sgk Tiếng Anh 11 Friends Global
- Giải sgk Vật Lí 11 - KNTT
- Giải sgk Hóa học 11 - KNTT
- Giải sgk Sinh học 11 - KNTT
- Giải sgk Lịch Sử 11 - KNTT
- Giải sgk Địa Lí 11 - KNTT
- Giải sgk Giáo dục KTPL 11 - KNTT
- Giải sgk Tin học 11 - KNTT
- Giải sgk Công nghệ 11 - KNTT
- Giải sgk Hoạt động trải nghiệm 11 - KNTT
- Giải sgk Giáo dục quốc phòng 11 - KNTT
- Giải sgk Âm nhạc 11 - KNTT


Giải bài tập SGK & SBT
Tài liệu giáo viên
Sách
Khóa học
Thi online
Hỏi đáp

