Trọn bộ Công thức Vật Lí lớp 11 Chương 6: Khúc xạ ánh sáng quan trọng
Trọn bộ Công thức Vật Lí lớp 11 Chương 6: Khúc xạ ánh sáng quan trọng
Nhằm mục đích giúp học sinh dễ dàng nhớ và nắm vững các công thức Vật Lí lớp 11, VietJack biên soạn tài liệu trọn bộ công thức Vật Lí 11 Chương 6: Khúc xạ ánh sáng đầy đủ công thức quan trọng, lý thuyết và bài tập tự luyện giúp học sinh vận dụng và làm bài tập thật tốt môn Vật Lí lớp 11.
Công thức định luật khúc xạ ánh sáng hay, chi tiết
1. Định nghĩa
- Khúc xạ ánh sáng là hiện tượng lệch phương (gãy) của các tia sáng khi truyền xiên góc qua mặt phân cách giữa hai môi trường trong suốt khác nhau.
Ví dụ: hình ảnh chiếc bút chì bị gãy khúc tại mặt phân cách giữa không khí và nước.

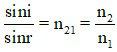
- Định luật khúc xạ ánh sáng:
+ Tia khúc xạ nằm trong mặt phẳng tới (tạo bởi tia tới và pháp tuyến) và ở phía bên kia pháp tuyến so với tia tới.
+ Với hai môi trường trong suốt nhất định, tỉ số giữa sin góc tới (sini) và sin góc khúc xạ (sinr) luôn luôn không đổi.
- Hình vẽ mô tả hiện tượng khúc xạ ánh sáng truyền từ không khí vào nước:

Trong hình có:
+ SI là tia tới
+ I là điểm tới
+ IK là tia khúc xạ
+ PQ là mặt phân các giữa hai môi trường
+ NN’ là pháp tuyến
+ Góc i là góc tới
+ Góc r là góc khúc xạ
2. Công thức – đơn vị
- Công thức của định luật khúc xạ:
Trong đó:
+ góc i là góc tới
+ góc r là góc khúc xạ
+ n21 là chiết suất tỉ đối của môi trường 2 đối với môi trường 1;
+ n1 là chiết suất tuyệt đối của môi trường 1;
+ n2 là chiết suất tuyệt đối của môi trường 2.
- Công thức của định luật khúc xạ có thể viết dưới dạng đối xứng: n1sini = n2sinr.
3. Mở rộng
- Nguyên nhân của hiện tượng khúc xạ là sự thay đổi tốc độ truyền ánh sáng. Người ta thiết lập được hệ thức về chiết suất tuyệt đối n của một môi trường như sau:
Chiết suất tuyệt đối (thường gọi tắt là chiết suất) của một môi trường là chiết suất tỉ đối của môi trường đó đối với chân không. Chiết suất tuyệt đối của một môi trường đặc trưng cho độ giảm tốc hay mức độ gãy khúc của tia sáng (hay bức xạ điện từ nói chung) khi truyển từ môi trường vật chất này sang một môi trường vật chất khác.

Từ công thức định luật khúc xạ, ta có thể suy ra công thức tính sini hoặc sinr
Hoặc:
+ Nếu n21 > 1 thì r < i: Tia khúc xạ lệch gần pháp tuyến hơn.
+ Nếu n21 < 1 thì r > i: Tia khúc xạ lệch xa pháp tuyến hơn.
4. Bài tập ví dụ
Bài 1: Chiếu một tia sáng từ không khí có chiết suất bằng 1 vào nước với góc tới 300. Tính góc khúc xạ, biết chiết suất của nước là 1,33.
Bài giải:
Áp dụng định luật khúc xạ ánh sáng

Đáp án : r = 220
Bài 2: Tia sáng truyền trong không khí đến gặp mặt thoáng chất lỏng có n=√3 . Tia phản xạ và khúc xạ vuông góc với nhau.Tính góc tới?
Bài giải:
Ta có hình vẽ:

Từ hình vẽ, ta có: i’ + r + 900 = 1800 => i’ + r = 90
Mà i = i’ => i + r = 900 => tức là cosr = sini và cosi = sinr.
Áp dụng định luật khúc xạ ánh sáng:
Đáp án: góc i = 600
Công thức tính góc khúc xạ hay, chi tiết
1. Định nghĩa
- Khúc xạ ánh sáng là hiện tượng lệch phương (gãy) của các tia sáng khi truyền xiên góc qua mặt phân cách giữa hai môi trường trong suốt khác nhau.
- Nguyên nhân của hiện tượng khúc xạ là sự thay đổi tốc độ truyền ánh sáng. Người ta thiết lập được hệ thức về chiết suất tuyệt đối n của một môi trường như sau:
Chiết suất tuyệt đối (thường gọi tắt là chiết suất) của một môi trường là chiết suất tỉ đối của môi trường đó đối với chân không. Chiết suất tuyệt đối của một môi trường đặc trưng cho độ giảm tốc hay mức độ gãy khúc của tia sáng khi truyển từ môi trường vật chất này sang một môi trường vật chất khác.
Ví dụ: hình ảnh chiếc bút chì bị gãy khúc tại mặt phân cách giữa không khí và nước.

Góc tới là góc tạo bởi tia tới và pháp tuyến, kí hiệu là i.
Góc khúc xạ là góc tạo bởi tia khúc xạ và pháp tuyến, kí hiệu là r.
- Định luật khúc xạ ánh sáng
+ Tia khúc xạ nằm trong mặt phẳng tới (tạo bởi tia tới và pháp tuyến) và ở phía bên kia pháp tuyến so với tia tới.
+ Với hai môi trường trong suốt nhất định, tỉ số giữa sin góc tới (sini) và sin góc khúc xạ (sinr) luôn luôn không đổi.
Trong đó:
+ góc i là góc tới
+ góc r là góc khúc xạ
+ n21 là chiết suất tỉ đối của môi trường 2 đối với môi trường 1;
+ n1 là chiết suất tuyệt đối của môi trường 1;
+ n2 là chiết suất tuyệt đối của môi trường 2.
Hình vẽ mô tả hiện tượng khúc xạ ánh sáng truyền từ không khí vào nước:

Trong hình có:
SI là tia tới
I là điểm tới
IK là tia khúc xạ
PQ là mặt phân các giữa hai môi trường
NN’ là pháp tuyến
Góc i là góc tới
Góc r là góc khúc xạ
2. Công thức – đơn vị
Từ công thức định luật khúc xạ ánh sáng, ta suy ra công thức tính góc khúc xạ:
Trong đó:
+ góc i là góc tới
+ góc r là góc khúc xạ
+ n21 là chiết suất tỉ đối của môi trường 2 đối với môi trường 1;
+ n1 là chiết suất tuyệt đối của môi trường 1;
+ n2 là chiết suất tuyệt đối của môi trường 2.
Đơn vị của góc là độ (0) hoặc radian.
Chú ý: i và r phải có cùng đơn vị đo.
Cách đổi từ độ sang radian (rad): 1800 = π rad; 10 =
rad; 1rad = 57017’
3. Mở rộng
+ Nếu n21 > 1 thì r < i: Tia khúc xạ lệch gần pháp tuyến hơn.
+ Nếu n21 < 1 thì r > i: Tia khúc xạ lệch xa pháp tuyến hơn.
Nếu môi trường tới là không khí có chiết suất bằng 1 và môi trường khúc xạ có chiết suất n thì sinr =
sini
Nếu môi trường tới có chiết suất n và môi trường khúc xạ là không khí có chiết suất bằng 1 thì: sinr = nsini.
4. Bài tập ví dụ
Bài 1: Chiếu một tia sáng từ không khí có chiết suất bằng 1 vào nước với góc tới 300. Tính góc khúc xạ, biết chiết suất của nước là 1,33.
Bài giải:
Áp dụng định luật khúc xạ ánh sáng
Đáp án : r = 220
Bài 2: Một tia sáng đi từ nước (có chiết suất n1 = 1,33) sang thủy tinh (có chiết suất n2 = 1,5) với góc tới 600. Tính góc khúc xạ.
Bài giải:
Áp dụng định luật khúc xạ ánh sáng
Đáp án : r = 5009’
Công thức tính góc giới hạn phản xạ toàn phần hay, chi tiết
1. Định nghĩa
- Phản xạ toàn phần là hiện tượng phản xạ toàn bộ ánh sáng tới, xảy ra ở mặt phân cách giữa hai môi trường trong suốt.
- Khi có phản xạ toàn phần thì không còn tia khúc xạ. Ta gọi là toàn phần để phân biệt với phản xạ một phần luôn xảy ra đi kèm với sự khúc xạ.

- Điều kiện để có phản xạ toàn phần
+ Ánh sáng truyền từ một môi trường tới môi trường chiết quang kém hơn.
n2 < n1
+ Góc tới lớn hơn hoặc bằng góc giới hạn: i ≥ igh.
2. Công thức – đơn vị

Góc giới hạn được xác định bởi công thức
3. Mở rộng
- Nếu ánh sáng truyền từ môi trường có chiết suất n sang môi trường không khí (chiết suất bằng 1) thì góc giới hạn được xác định bằng
Khi đó có thể suy ra chiết suất n nếu biết giá trị góc giới hạn
- Ứng dụng của hiện tượng phản xạ toàn phần: cáp quang
Cáp quang là bó sợi quang. Mỗi sợi quang là một dây trong suốt có tính dẫn sáng nhờ phản xạ toàn phần. Sợi quang gồm hai phần chính:
+ Phần lõi trong suốt bằng thủy tinh siêu sạch có chiết suất lớn (n1)
+ Phần vỏ bọc cũng trong suốt, bằng thủy tinh có chiết suất n2 nhỏ hơn phần lõi.
Phản xạ toàn phần xảy ra ở mặt phân cách giữa lõi và vỏ làm cho ánh sáng truyền đi được theo sợi quang.
Ngoài cùng là một số lớp vỏ bọc bằng nhựa dẻo để tạo cho cáp độ bền và độ dai cơ học.


4. Bài tập ví dụ
Bài 1: Một tia sáng đi từ một chất lỏng trong suốt có chiết suất n chưa biết sang không khí với góc tới như hình vẽ. Cho biết α = 60o, β = 30o.

a) Tính chiết suất n của chất lỏng.
b) Tính góc α lớn nhất để tia sáng không thể ló sang môi trường không khí phía trên.
Bài giải:
Ta có hình vẽ:

a)
Vì α = 600 ⇒ i = 300;
Vì β = 300 ⇒ r = 600
Áp dụng định luật khúc xạ ánh sáng:
b)
Để không có tia ló ra ngoài không khí thì tia tới mặt phân cách bị phản xạ toàn phần
Điều kiện để xảy ra phản xạ toàn phần
là i ≥ igh
sin igh =
⇒ igh = 350 ⇒ inin = igh = 350.
Góc αmax = 90 – igh = 550
Đáp án: a) n = √3 ; b) αmax = 550
Bài 2: Một chậu miệng rộng có đáy nằm ngang chứa chất lỏng trong suốt đến độ cao h = 5,2 cm. Ở đáy chậu có một nguồn sáng nhỏ S. Một tấm nhựa mỏng hình tròn tâm O bán kính R = 4 cm ở trên mặt chất lỏng mà tâm O ở trên đường thẳng đứng qua S. Tính chiết suất n của chất lỏng, biết rằng phải đặt mắt sát mặt chất lỏng mới thấy được ảnh của S.
Bài giải:
Ta có hình vẽ:

Các tia sáng từ S đến mặt phân cách có thể khúc xạ ra không khí đã bị tấm bìa nhựa che khuất nên mắt đặt trong không khí không thấy tia sáng đến mắt và không nhìn thấy ảnh của S.
Cần đặt mắt sát mặt chất lỏng mới thấy được ảnh của S, chứng tỏ rằng các tia sáng tới mép của tấm bìa bị phản xạ toàn phần, tia ló ra đi là là mặt phân cách giữa hai môi trường, các tia tới mép tầm bìa ứng với trường hợp giới hạn phản xạ toàn phần.
Từ hình vẽ ta thấy: góc
= igh ⇒ sin
= sinigh
Trong tam giác vuông SOI, ta có sin
=
⇒ sin igh =
= 0,61
⇒ n = 1,64.
Đáp án: n = 1,64
Công thức tính góc lệch hay, chi tiết
1. Định nghĩa
- Khúc xạ ánh sáng là hiện tượng lệch phương (gãy) của các tia sáng khi truyền xiên góc qua mặt phân cách giữa hai môi trường trong suốt khác nhau.
Ví dụ: hình ảnh chiếc bút chì bị gãy khúc tại mặt phân cách giữa không khí và nước.

- Do tia sáng bị gãy khúc nên tia tới kéo dài và tia khúc xạ hợp với nhau một góc, ta gọi đó là góc lệch, kí hiệu là D.
Định luật khúc xạ ánh sáng
+ Tia khúc xạ nằm trong mặt phẳng tới (tạo bởi tia tới và pháp tuyến) và ở phía bên kia pháp tuyến so với tia tới.
+ Với hai môi trường trong suốt nhất định, tỉ số giữa sin góc tới (sini) và sin góc khúc xạ (sinr) luôn luôn không đổi.
Hình vẽ mô tả hiện tượng khúc xạ ánh sáng truyền từ không khí vào nước:

Trong hình:
+ SI là tia tới
+ I là điểm tới
+ IK là tia khúc xạ
+ PQ là mặt phân các giữa hai môi trường
+ NN’ là pháp tuyến
+ Góc i là góc tới
+ Góc r là góc khúc xạ
+ Góc D là góc lệch giữa tia tới và tia khúc xạ
2. Công thức – đơn vị
Công thức tính góc lệch D = |i - r|
Trong đó:
+ Góc i là góc tới
+ Góc r là góc khúc xạ
+ Góc D là góc lệch giữa tia tới và tia khúc xạ
3. Mở rộng
- Với hai môi trường trong suốt nhất định, tỉ số giữa sin góc tới (sini) và sin góc khúc xạ (sinr) luôn luôn không đổi.
Trong đó:
+ góc i là góc tới
+ góc r là góc khúc xạ
+ n21 là chiết suất tỉ đối của môi trường 2 đối với môi trường 1;
+ n1 là chiết suất tuyệt đối của môi trường 1;
+ n2 là chiết suất tuyệt đối của môi trường 2.
- Khi tia sáng truyền từ không khí sang môi trường trong suốt rắn, lỏng khác nhau thì góc khúc xạ nhỏ hơn góc tới.
- Khi góc tới tăng (giảm) thì góc khúc xạ cũng tăng (giảm).
- Khi góc tới bằng 00, tia sáng không bị gãy khúc khi truyền qua hai môi trường.
Khi biết góc lệch, kết hợp với định luật khúc xạ ánh sáng, ta có thể suy ra góc tới hoặc góc khúc xạ.
4. Bài tập ví dụ
Bài 1: Một tia sáng đi từ không khí vào nước có chiết suất n = 1,33 dưới góc tới i = 300.
a) Tính góc khúc xạ
b) Tính góc lệch D tạo bởi tia khúc xạ và tia tới.
Bài giải:
a) Áp dụng định luật khúc xạ ánh sáng

⇒ r = 220
b) Góc lệch D tạo bởi tia khúc xạ và tia tới là: D = |i - r| = |300 – 220| = 80
Đáp án:
a) r = 220; b) D = 80
Bài 2: Một tia sáng đi từ thủy tinh (có chiết suất n1 = 1,5) sang nước (có chiết suất n2 = 1,33) với góc tới 300. Tính góc lệch giữa tia khúc xạ và tia tới.
Bài giải:
Áp dụng định luật khúc xạ ánh sáng

⇒ r = 34019’
Góc lệch giữa tia khúc xạ và tia tới là D = |i - r| = |300 – 34019’| = 4019’
Đáp án: D = 4019’
Công thức tính góc tới hay, chi tiết
1. Định nghĩa
- Khúc xạ ánh sáng là hiện tượng lệch phương (gãy) của các tia sáng khi truyền xiên góc qua mặt phân cách giữa hai môi trường trong suốt khác nhau.
Ví dụ: hình ảnh chiếc bút chì bị gãy khúc tại mặt phân cách giữa không khí và nước.

- Góc tới là góc tạo bởi tia tới và pháp tuyến, kí hiệu là i.
- Góc khúc xạ là góc tạo bởi tia khúc xạ và pháp tuyến, kí hiệu là r.
- Định luật khúc xạ ánh sáng
+ Tia khúc xạ nằm trong mặt phẳng tới (tạo bởi tia tới và pháp tuyến) và ở phía bên kia pháp tuyến so với tia tới.
+ Với hai môi trường trong suốt nhất định, tỉ số giữa sin góc tới (sini) và sin góc khúc xạ (sinr) luôn luôn không đổi.
Trong đó:
+ góc i là góc tới
+ góc r là góc khúc xạ
+ n21 là chiết suất tỉ đối của môi trường 2 đối với môi trường 1;
+ n1 là chiết suất tuyệt đối của môi trường 1;
+ n2 là chiết suất tuyệt đối của môi trường 2.
Hình vẽ mô tả hiện tượng khúc xạ ánh sáng truyền từ không khí vào nước:

Trong hình có:
+ SI là tia tới
+I là điểm tới
+ IK là tia khúc xạ
+ PQ là mặt phân các giữa hai môi trường
+ NN’ là pháp tuyến
+ Góc i là góc tới
+ Góc r là góc khúc xạ
2. Công thức – đơn vị
Công thức tính góc tới
Đơn vị của góc là độ (0) hoặc radian.
- Khi tia sáng truyền từ không khí sang môi trường trong suốt rắn, lỏng khác nhau thì góc khúc xạ nhỏ hơn góc tới.
- Khi góc tới tăng (giảm) thì góc khúc xạ cũng tăng (giảm).
- Khi góc tới bằng 00, tia sáng không bị gãy khúc khi truyền qua hai môi trường.
Chú ý: i và r phải có cùng đơn vị đo.
Cách đổi từ độ sang radian (rad): 1800 = π rad; 10 =
rad; 1rad = 57017’
3. Mở rộng
+ Nếu n21 > 1 thì góc tới lớn hơn góc khúc xạ (i > r).
+ Nếu n21 < 1 thì góc tới nhỏ hơn góc khúc xạ. (i < r).
- Nếu môi trường tới là không khí (có chiết suất bằng 1), còn môi trường khúc xạ có chiết suất n thì: sini = nsinr.
- Nếu môi trường tới là môi trường có chiết suất n, còn môi trường khúc xạ là không khí, thì:
4. Bài tập ví dụ
Bài 1: Một tia sáng đi từ không khí vào nước có chiết suất n = 1,33 , góc khúc xạ bằng 300. Tính góc tới i.
Bài giải:
Nếu môi trường tới là không khí (có chiết suất bằng 1), còn môi trường khúc xạ là nước có chiết suất n = 1,33 thì: sini = 1,33sin300 = 0,665.
Suy ra i = 41040’.
Đáp án: i = 41040’
Bài 2: Tia sáng truyền trong không khí đến gặp mặt thoáng chất lỏng có n= √3. Tia phản xạ và khúc xạ vuông góc với nhau. Tính góc tới?
Bài giải:
Ta có hình vẽ

Từ hình vẽ, ta có: i’ + r + 900 = 1800 ⇒ i’ + r = 90
Mà i = i’ ⇒ i + r = 900 ⇒ tức là cosr = sini và cosi = sinr.
Áp dụng định luật khúc xạ ánh sáng:
Đáp án: góc i = 600
Công thức tính chiết suất tuyệt đối hay, chi tiết
1. Định nghĩa
- Chiết suất tuyệt đối (thường gọi tắt là chiết suất) của một môi trường là chiết suất tỉ đối của môi trường đó đối với chân không.
- Chiết suất tuyệt đối của một môi trường được xác định bằng tỉ số giữa tốc độ ánh sáng trong chân không và tốc độ ánh sáng trong môi trường đó.
- Chiết suất tuyệt đối của một môi trường đặc trưng cho độ giảm tốc hay mức độ gãy khúc của tia sáng khi chuyển từ môi trường vật chất này sang một môi trường vật chất khác.
2. Công thức – đơn vị
Chiết suất tuyệt đối của một môi trường được xác định bằng tỉ số giữa tốc độ ánh sáng trong chân không và tốc độ ánh sáng trong môi trường đó.
Công thức:
Trong đó:
+ n là chiết suất tuyệt đối của môi trường;
+ c là tốc độ ánh sáng trong chân không, có độ lớn 3.108 m/s ;
+ v là tốc độ ánh sáng trong môi trường.
Chiết suất không có đơn vị.
3. Mở rộng
Chiết suất của chân không là 1.
Tốc độ ánh sáng truyền đi trong các môi trường bao giờ cũng nhỏ hơn vận tốc ánh sáng trong chân không (v < c), nên chiết suất tuyệt đối của mọi chất đều lớn hơn 1.
Bảng chiết suất tuyệt đối của một số chất.

Khi biết chiết suất tuyệt đối của các môi trường, ta có thể tính được chiết suất tỉ đối của hai môi trường:
và viết biểu thức định luật khúc xạ ánh sáng dưới dạng đối xứng: n1.sini = n2.sinr.
Ngược lại, khi biết các góc tới i và góc khúc xạ r và chiết suất của môi trường 1, ta có thể xác định chiết suất của môi trường 2:
4. Bài tập ví dụ
Bài 1: Tốc độ truyền ánh sáng trong nước là v = 225000 km/s. Tính chiết suất tuyệt đối của nước.
Bài giải:
Đổi v = 225000 km/s = 2,25.108 m/s
Áp dụng công thức
Đáp án: n = 1,33
Bài 2: Một quả cầu trong suốt có R=14cm, chiết suất n đặt trong không khí. Tia tới SA song song và cách đường kính MN đoạn d=7cm, cho tia khúc xạ AN như hình vẽ. Tính chiết suất n của quả cầu

Bài giải:
Ta có hình vẽ.
Gọi O là tâm của quả cầu, tia sáng SA tới mặt quả cầu tại A. Ta có thể coi một phần rất nhỏ của mặt cầu tại điểm tới là mặt phẳng, bán kính OA vuông góc với mặt phẳng này, nên ta có ON’ (ON’ là đường kéo dài của OA) là pháp tuyến.

Kẻ AH là đường vuông góc từ A xuống MN, AH là khoảng cách giữa SA và MN; AH = 7cm.
Từ hình vẽ ra thấy góc
Góc
= góc
= i = 300 (vì góc
và góc
là hai góc đồng vị)
Tam giác ANO là tam giác cân (AO = ON = R), nên
⇒
=> r = 150
Áp dụng định luật khúc xạ ánh sáng:
Đáp án : n = 1,93
Công thức tính chiết suất tỉ đối hay, chi tiết
1. Định nghĩa
- Tỉ số
gọi là chiết suất tỉ đối n21 của môi trường 2 (chứa tia khúc xạ) đối với môi trường 1 (chứa tia tới).
- Trong lý thuyết về ánh sáng, chiết suất tỉ đối này bằng tỉ số giữa các tốc độ v1 và v2 của ánh sáng khi đi từ trong môi trường 1 và trong môi trường 2.
2. Công thức – đơn vị
Công thức chiết suất tỉ đối : n21 =
Trong đó:
+ n21 là chiết suất tỉ đối của môi trường 2 đối với môi trường 1;
+ i là góc tới, là góc giữa tia tới (tia sáng đi trong môi trường 1) với pháp tuyến;
+ r là góc khúc xạ, là góc giữa tia khúc xạ (tia sáng đi trong môi trường 2) với pháp tuyến.
- Ngoài ra, chiết suất tỉ đối của hai môi trường còn được tính bằng tỉ số của tốc độ v1 và v2 của ánh sáng khi đi từ trong môi trường 1 và trong môi trường 2.
Trong đó:
+ n21 là chiết suất tỉ đối của môi trường 2 đối với môi trường 1;
+ v1 là tốc độ của ánh sáng khi đi trong môi trường 1, có đơn vị m/s;
+ v2 là tốc độ của ánh sáng khi đi trong môi trường 2, có đơn vị m/s.
3. Mở rộng
- Nếu n21 > 1 thì r < i : Tia khúc xạ bị lệch lại gần pháp tuyến hơn. Ta nói, môi trường 2 chiết quang hơn môi trường 1.
- Nếu n21 < 1 thì r > i : Tia khúc xạ bị lệch xa pháp tuyến hơn. Ta nói, môi trường 2 chiết quang kém môi trường 1.
- Chiết suất tỉ đối của môi trường 1 so với môi trường 2 bằng nghịch đảo chiết suất tỉ đối của môi trường 2 so với môi trường 1: n12 =
Trong đó:
+ n21 là chiết suất tỉ đối của môi trường 2 đối với môi trường 1;
+ n12 là chiết suất tỉ đối của môi trường 1 với môi trường 2;
Ngoài ra, chiết suất tỉ đối còn được xác định bằng tỉ số chiết suất tuyệt đối giữa môi trường 1 và môi trường 2: n21 =
4. Bài tập ví dụ
Bài 1: Tốc độ truyền ánh sáng trong nước là 225000 km/h và tốc độ truyền ánh sáng trong thủy tinh là 200000 km/h. Tính chiết suất tỉ đối của thủy tinh đối với nước?
Bài giải:
Chiết suất tỉ đối của thủy tinh đối với nước là:
Bài 2: Ánh sáng truyền từ thủy tinh ra không khí với góc tới 300 thì đo được góc khúc xạ là 480. Tính chiết suất tỉ đối của không khí đối với thủy tinh?
Bài giải:
Chiết suất tỉ đối của không khí đối với thủy tinh là:
n21 =
=
= 0,673
Đáp án: 0,673
Công thức tính bản mặt song song hay, chi tiết
1. Định nghĩa
- Bản mặt song song là một môi trường trong suốt và đồng chất, được giới hạn bởi hai mặt phẳng song song.
- Tia sáng đi qua bản mặt song song bị khúc xạ hai lần tại hai mặt của bản, tia ló ra ở mặt thứ hai song song với tia tới.
Ví dụ: Một tấm thủy tinh phẳng có hai mặt song song nhau là một bản mặt song song.
Thí nghiệm chiếu ánh sáng đi qua bản thủy tinh:

- Cho một bản mặt song song có bề dày e và chiếu suất tuyệt đối n đặt trong không khí. Hình vẽ biểu diễn đường truyền của tia sáng qua bản mặt song song:

+ Tia sáng SI chiếu vuông góc tới bản mặt song song tại I, tia khúc xạ tương ứng là IJ đi thẳng qua bản mặt song song.
+ Tia sáng SI1 chiếu tới bản mặt song song tại I1, tia khúc xạ tương tứng là I1I2, với góc tới i1 và góc khúc xạ r1 . Tia tới I1I2 có tia khúc xạ là tia I2R, tương ứng là góc tới i2 và r2.
Ta có i1 = r2 và r1 = i2, nên dễ thấy tia ló I2R song song với tia tới SI1.
+ S’ là ảnh của S, là giao điểm của đường kéo dài tia ló I2R và tia ló của tia SI.
+ Gọi d là độ dời ngang của tia sáng qua bản mặt song song, là khoảng cách giữa tia ló và tia tới.
+ Gọi SS’ là độ dời ảnh
2. Công thức – đơn vị

Khoảng cách giữa tia sáng tới và tia ló gọi là độ dời ngang của tia sáng, được xác định bởi công thức :
Trong đó:
+ d là khoảng cách tia tới và tia ló ứng với góc tới i.
+ i là góc tới của tia sáng đến mặt thứ nhất;
+ r là góc giữa tia ló ra khỏi mặt thứ 2 của bản mặt với pháp tuyến.
+ e là độ dày của bản.
Độ dời ảnh là SS’ được xác định bởi công thức:
Trong đó:
+ i là góc tới của tia sáng đến mặt thứ nhất;
+ r là góc giữa tia ló ra khỏi mặt thứ 2 của bản mặt với pháp tuyến.
+ SS’ là khoảng cách giữa ảnh và vật sáng.
+ e là độ dày của bản.
3. Mở rộng
Nếu góc tới i rất nhỏ thì độ dời ảnh được xác định bởi công thức:
4. Bài tập ví dụ
Bài 1 : Một bản mặt song song có bề dày 10 (cm), chiết suất n = 1,5 được đặt trong không khí. Chiếu tới bản một tia sáng SI có góc tới 450 . Khoảng cách giữa giá của tia tới và tia ló là bao nhiêu?
Bài giải:
Áp dụng công thức khúc xạ ánh sáng, ta có:

=> r = 280
Khoảng cách giữa giá của tia tới và tia ló là
Bài 2: Một bản hai mặt song song có bề dày 6 (cm), chiết suất n = 1,5 được đặt trong không khí. Điểm sáng S cách bản 20 (cm). Ảnh S’ của S qua bản hai mặt song song cách S một khoảng bao nhiêu?
Bài giải:
Khi góc tới rất nhỏ, ta áp dụng công thức độ dời ảnh:
Vậy ảnh của điểm sáng cách điểm sáng 2 cm.
Đáp án: 2 cm
....................................
....................................
....................................
Trên đây là phần tóm tắt một số công thức Vật Lí lớp 11 Chương 6: Khúc xạ ánh sáng năm học 2021 - 2022 quan trọng, để xem chi tiết mời quí bạn đọc vào từng công thức trên!
Xem thêm các bài tổng hợp Công thức Vật Lí lớp 11 đầy đủ, chi tiết khác:
Đã có app VietJack trên điện thoại, giải bài tập SGK, SBT Soạn văn, Văn mẫu, Thi online, Bài giảng....miễn phí. Tải ngay ứng dụng trên Android và iOS.
Theo dõi chúng tôi miễn phí trên mạng xã hội facebook và youtube:Nếu thấy hay, hãy động viên và chia sẻ nhé! Các bình luận không phù hợp với nội quy bình luận trang web sẽ bị cấm bình luận vĩnh viễn.
- Đề thi lớp 1 (các môn học)
- Đề thi lớp 2 (các môn học)
- Đề thi lớp 3 (các môn học)
- Đề thi lớp 4 (các môn học)
- Đề thi lớp 5 (các môn học)
- Đề thi lớp 6 (các môn học)
- Đề thi lớp 7 (các môn học)
- Đề thi lớp 8 (các môn học)
- Đề thi lớp 9 (các môn học)
- Đề thi lớp 10 (các môn học)
- Đề thi lớp 11 (các môn học)
- Đề thi lớp 12 (các môn học)
- Giáo án lớp 1 (các môn học)
- Giáo án lớp 2 (các môn học)
- Giáo án lớp 3 (các môn học)
- Giáo án lớp 4 (các môn học)
- Giáo án lớp 5 (các môn học)
- Giáo án lớp 6 (các môn học)
- Giáo án lớp 7 (các môn học)
- Giáo án lớp 8 (các môn học)
- Giáo án lớp 9 (các môn học)
- Giáo án lớp 10 (các môn học)
- Giáo án lớp 11 (các môn học)
- Giáo án lớp 12 (các môn học)


Giải bài tập SGK & SBT
Tài liệu giáo viên
Sách
Khóa học
Thi online
Hỏi đáp

