Bài tập Di truyền quần thể (có lời giải)
Bài tập Di truyền quần thể (có lời giải)
(199k) Xem Khóa học Sinh 12 KNTTXem Khóa học Sinh 12 CDXem Khóa học Sinh 12 CTST
Bài tập Di truyền quần thể có lời giải đầy đủ các dạng bài tập tự luận và bài tập trắc nghiệm sẽ giúp học sinh lớp 12 có thêm tài liệu ôn tập và đạt kết quả cao trong kì thi Tốt nghiệp THPT môn Sinh học.
III. BÀI TẬP RÈN LUYỆN
1. Bài tập tự luận:
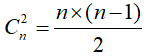
Bài 1: Ở một quần thể thực vật lưỡng bội, gen A nằm trên nhiễm sắc thể thường có 7 alen. Hãy xác định:
a. Quần thể có tối đa bao nhiêu kiểu gen đồng hợp?
b. Quần thể có tối đa bao nhiêu kiểu gen dị hợp?
c. Quần thể có tối đa bao nhiêu kiểu gen về gen A?
Hướng dẫn giải
a. Số loại kiểu gen đồng hợp = 7 kiểu gen.
b. Số loại kiểu gen dị hợp =
c. Số loại kiểu gen =
Bài 2: Ở một quần thể thực vật lưỡng bội, gen A nằm trên nhiễm sắc thể số 2 có 6 alen, gen B nằm trên nhiễm sắc thể số 3 có 5 alen. Hãy xác định:
a. Quần thể có tối đa bao nhiêu kiểu gen đồng hợp về cả hai gen?
b. Quần thể có tối đa bao nhiêu kiểu gen dị hợp về cả hai gen?
c. Quần thể có tối đa bao nhiêu kiểu gen đồng hợp về gen A và dị hợp về gen B?
d. Quần thể có tối đa bao nhiêu kiểu gen về cả hai gen?
Hướng dẫn giải
Khi bài toán có nhiều gen và các gen phân li độc lập với nhau thì chúng ta tính riêng từng gen, sau đó nhân lại. |
a. Số loại kiểu gen đồng hợp về cả hai gen nói trên là 6×5 = 30 kiểu gen.
b. Số kiểu gen dị hợp về cả hai gen
- Cặp gen dị hợp là cặp gen gồm 2 alen có cấu trúc khác nhau. Số loại kiểu gen dị hợp về mỗi gen
=
à Số loại kiểu gen dị hợp về cả hai gen A và B là:
kiểu gen.
c. Số kiểu gen đồng hợp về gen A và dị hợp về gen B =
d. Số loại kiểu gen về cả 2 gen A và B =
Bài 3: Ở một quần thể thực vật lưỡng bội, xét hai gen A và B cùng nằm trên nhiễm sắc thể số 2. Trong đó gen A có 3 alen; gen B có 4 alen. Hãy xác định:
a. Quần thể có tối đa bao nhiêu kiểu gen về cả hai gen?
b. Quần thể có tối đa bao nhiêu kiểu gen đồng hợp về cả hai gen?
c. Quần thể có tối đa bao nhiêu kiểu gen dị hợp về cả hai gen?
d. Quần thể có tối đa bao nhiêu kiểu gen đồng hợp về gen A và dị hợp về gen B?
Hướng dẫn giải
a. Hai gen A và B cùng nằm trên một cặp NST cho nên số alen = 3×4 = 12 alen.
- Số loại kiểu gen về cả 2 gen A và B =
kiểu gen
b. Số loại kiểu gen đồng hợp về cả hai gen A và B là = 3×4 = 12 kiểu gen.
c. - Số loại kiểu gen dị hợp về mỗi gen =
=> Số loại kiểu gen dị hợp về gen A =
kiểu gen.
=> Số loại kiểu gen dị hợp về gen B =
kiểu gen.
- Số kiểu gen dị hợp về cả hai gen =
kiểu gen.
d. Số kiểu gen đồng hợp về gen A và dị hợp về gen B =
kiểu gen
Bài 4: Gen A và B cùng nằm trên cặp NST thứ nhất, trong đó gen A có 2 alen (A và a), gen B có 3 alen (B, b và bl). Gen D nằm trên cặp NST số 3 có 5 alen (D1, D2, D3, D4, D5). Hãy cho biết:
a. Trong quần thể sẽ có tối đa bao nhiêu loại kiểu gen đồng hợp về cả 3 gen?
b. Trong quần thể sẽ có tối đa bao nhiêu loại kiểu gen dị hợp về cả 3 gen?
c. Trong quần thể sẽ có tối đa bao nhiêu loại kiểu gen về cả 3 gen?
Hướng dẫn giải
Số loại kiểu gen được tính theo cặp NST, sau đó nhân lại. |
a. Số loại kiểu gen đồng hợp về cả ba gen = 2×3×5 = 30 kiểu gen.
b. Số kiểu gen dị hợp về cả ba gen
- Cặp gen dị hợp là cặp gen gồm 2 alen có cấu trúc khác nhau, số loại kiểu gen dị hợp về mỗi cặp gen =
- Gen D có 5 alen nên có số loại kiểu gen dị hợp về gen D =
- Hai gen A và B cùng nằm trên một NST nên số loại kiểu gen dị hợp về cả hai kiểu gen A và B là: =
kiểu gen
=> Số loại kiểu gen dị hợp về cả 3 gen = 10 × 6 = 60 kiểu gen.
c. Số loại kiểu gen về cả 3 gen =
kiểu gen.
Bài 5: Gen A có 11 alen. Trong quần thể sẽ có tối đa bao nhiêu loại kiểu gen trong các trường hợp:
a. Gen A nằm trên NST X mà không có alen trên Y.
b. Gen A nằm trên NST Y mà không có alen trên X.
c. Gen A nằm trên NST X và Y ở đoạn tương đồng.
Hướng dẫn giải
a. Gen A nằm trên NST X mà không có alen trên Y.
Áp dụng công thức tính số loại kiểu gen khi gen nằm trên NST X, ta có:
Gen A có 11 alen thì số loại kiểu gen =
kiểu gen.
b. Gen A nằm trên NST Y mà không có alen trên X.
Áp dụng công thức tính số loại kiểu gen khi gen nằm trên NST Y, ta có:
Gen A có 11 alen thì số loại kiểu gen =11 + 1 = 12 kiểu gen.
c. Gen A nằm trên NST X và Y ở đoạn tương đồng.
Áp dụng công thức tính số loại kiểu gen khi gen nằm trên vùng tương đồng của NST giới tính X và Y, ta có:
Gen A có 11 alen thì số loại kiểu gen =
kiểu gen.
Bài 6: Ở một quần thể thực vật lưỡng bội, xét 4 gen A, B, C và D. Trong đó 3 gen A, B và C cùng nằm trên nhiễm sắc thể số 1 và mỗi gen có 5 alen; gen D nằm trên NST số 2 có 7 alen. Hãy xác định:
a. Quần thể có tối đa bao nhiêu kiểu gen về cả 4 gen?
b. Quần thể có tối đa bao nhiêu kiểu gen đồng hợp về cả 4 gen?
c. Quần thể có tối đa bao nhiêu kiểu gen dị hợp về cả 4 gen?
d. Quần thể có tối đa bao nhiêu kiểu gen dị hợp về gen A, gen B và đồng hợp về gen C, gen D?
Hướng dẫn giải
|
Trường hợp có x gen cùng nằm trên một cặp NST thường và được sắp xếp theo một trật tự nhất định thì số loại kiểu gen dị hợp = trường hợp phân li độc lập x 2x+1 Ví dụ, có 3 gen A, B, D cùng nằm trên một cặp NST thường và được sắp xếp theo một trật tự nhất định, trong đó gen A có n alen; gen B có m alen; gen D có t alen. Số loại kiểu gen dị hợp về cả 3 gen: |
a. Ba gen A, B và C cùng nằm trên một cặp NST cho nên số alen: = 5 × 5 × 5 = 125 alen.
- Số loại kiểu gen về cả 3 gen A, B và C =
kiểu gen
- Gen D có 7 alen thì sẽ có số kiểu gen về gen D =
kiểu gen.
=> Số loại kiểu gen về cả 4 gen = 7875 × 28 = 220500 kiểu gen.
b. Số loại kiểu gen đồng hợp về cả 4 gen A, B, C và D là: 5×5×5×7 = 875 kiểu gen.
c. – Số loại kiểu gen dị hợp về mỗi gen =
=> Số loại kiểu gen dị hợp về gen A =
kiểu gen.
=> Số loại kiểu gen dị hợp về gen B =
kiểu gen.
=> Số loại kiểu gen dị hợp về gen C =
kiểu gen.
- Số kiểu gen dị hợp về cả 3 gen A, B và C:
kiểu gen
- Gen D có 7 alen nên có số loại kiểu gen dị hợp =
kiểu gen.
=> Số loại kiểu gen dị hợp về cả 4 gen = 4000 × 21 = 82000 kiểu gen.
d. Số loại kiểu gen dị hợp về gen A, gen B và đồng hợp về gen C, gen D.
- Số kiểu gen dị hợp về gen A và gen B =
kiểu gen.
- Số kiểu gen đồng hợp về gen C và gen D = 5×7 = 35 kiểu gen.
=> Số kiểu gen dị hợp về gen A, B và đồng hợp về gen C, D = 200×35 = 70000.
Bài 7: Trong một quần thể tự phối, giả sử xét 3 gen A, B và D; trong đó gen A có 5 alen; gen B có 2 alen; gen D có 7 alen. Theo lí thuyết, quần thể có tối đa bao nhiêu dòng thuần chủng về cả 3 gen nói trên?
Hướng dẫn giải
Áp dụng công thức giải nhanh, ta có quần thể có tối đa số dòng thuần:
5 × 2 × 7 = 70 dòng thuần.
Bài 8: Thế hệ xuất phát của một quần thể tự phối có tỉ lệ kiểu gen là: 0,2AA:0,8Aa.
a. Tính tần số của alen A và alen a.
b. Xác định tỉ lệ kiểu gen ở thế hệ F3.
Hướng dẫn giải
a. Tần số A =
. Tần số a =
b. Tỉ lệ kiểu gen ở F3.
Aa =
AA =
Aa =
Một quần thể tự phối ở thế hệ xuất phát có xAA : yAa : zaa thì ở thế hệ Fn có tỉ lệ kiểu gen là |
Bài 9: Ở một loài thực vật sinh sản bằng tự thụ phấn nghiêm ngặt có A quy định hoa đỏ trội hoàn toàn so với a quy định hoa trắng. Thế hệ xuất phát (P) có 100% số cây hoa đỏ, quá trình tụ thụ phấn liên tục thì đến đời F3 có tỉ lệ kiểu hình là 67,1875% cây hoa đỏ : 32,8125% cây hoa trắng.
a. Theo lí thuyết, trong số các cây hoa đỏ ở thế hệ P, có bao nhiêu % số cây thuần chủng?
b. Hãy xác định tỉ lệ kiểu gen ở F4.
Hướng dẫn giải
Nếu thế hệ xuất phát chỉ có kiểu hình trội, đến thế hệ Fn có kiểu hình lặn (aa) chiếm tỉ lệ y thì kiểu gen Aa ở thê hệ xuất phát có tỉ lệ = |
a) Số cây thuần chủng.
Ở bài toán này:
y = 32,8125% = 0,328125 và n = 3.
Thay số vào công thức, ta có tỉ lệ kiểu gen Aa ở thế hệ P:
à Kiểu gen AA có tỉ lệ = 1 - 0,75 = 0,25 = 25%.
b) Tỉ lệ kiểu gen ở thế hệ F4.
Thế hệ P có tỉ lệ kiểu gen là 0,25AA : 0,75Aa. Quá trình tự thụ phấn, thế hệ F4 có tỉ lệ kiểu gen là:
Aa có tỉ lệ =
AA có tỉ lệ =
aa có tỉ lệ =
Bài 10: Ở thế hệ xuất phát của một quần thể ngẫu phối có 0,2AA:0,4Aa:0,4aa.
a. Xác định tần số của A và a.
b. Xác định tỉ lệ kiểu gen ở thế hệ Fl, F2, Fn.
Có nhận xét gì về thành phần kiểu gen của các thế hệ F1, F2, Fn?
Hướng dẫn giải
a. Tần số của A =
Tần số của a =
b. Vì quần thể giao phối ngẫu nhiên nên thành phần kiểu gen ở đời con bằng tích tỉ lệ của các loại giao tử đực với tỉ lệ của các loại giao tử cái.
- Tỉ lệ các loại giao tử đực và các loại giao tử cái đúng bằng tần số của các alen. Như vậy ở giới đực có 0,64 và 0,46 . Ở giới cái có 0,4A và 0,46.
- Quá trình giao phối ngẫu nhiên thì các giao tử kết hợp với nhau theo bảng sau:

=> Tỉ lệ kiểu gen ở F1 là 0,16AA : 0,48Aa : 0,36aa.
- Các cá thể F1 tiếp tục giao phối ngẫu nhiên thì thành phần kiểu gen ở F2 sẽ là:
Giao tử của F1: 0,16AA sẽ tạo ra 0,16 giao tử A.
0,48Aa sẽ tạo ra 0,24 giao tử A và 0,24 giao tử a.
0,36aa sẽ tạo ra 0,36 giao tử a.
Vậy giao tử A có tỉ lệ 0,16 + 0,24 = 0,4.
Giao tử a có tỉ lệ 0,36 + 0,24 = 0,6.
Giao phối ngẫu nhiên

Thành phần kiểu gen ở F2 là 0,16AA : 0,48 Aa : 0,36aa.
- Tiếp tục giao phối ngẫu nhiên thì thành phần kiểu gen ở các đời F3, F4, F5, ...Fn luôn duy trì không đổi là 0,16AA : 0,48Aa : 0,36aa. Sự duy trì thành phần kiểu gen không đổi qua các thế hệ theo công thức p2 AA : 2pq Aa : q2 aa được gọi là trạng thái cân bằng di truyền của quần thể. Như vậy, quá trình giao phối ngẫu nhiên sẽ làm cho thành phần kiểu gen của quần thể ở trạng thái cân bằng. Khi ở trạng thái cân bằng thì tần số a =
- Thành phần kiểu gen của quần thể chỉ ở trạng thái cân bằng di truyền khi không có đột biến, không có quá trình chọn lọc tự nhiên, không có sự di - nhập gen, các cá thể giao phối ngẫu nhiên.
Bài 12: Ở một loài giao phối, A quy định thân cao trội hoàn toàn so với a quy định thân thấp; B quy định hoa đỏ trội hoàn toàn so với b quy định hoa trắng; hai cặp gen này nằm trên 2 cặp NST khác nhau. Ở một quần thể đang cân bằng về di truyền có tần số A là 0,2; a là 0,8 và tần số B là 0,7; b là 0,3.
a. Theo lí thuyết, tỉ lệ kiểu gen aaBb ở đời con chiếm bao nhiêu %?
b. Trong quần thể này, loại kiểu hình thân cao, hoa trắng có tỉ lệ bao nhiêu %?
Hướng dẫn giải
a. Tỉ lệ của một kiểu gen nào đó bằng tích tỉ lệ của từng cặp gen có trong kiểu gen đó.
- Đây là một quần thể giao phối ngẫu nhiên nên theo lí thuyết thì thành phần kiểu gen đang ở trạng thái cân bằng di truyền, do đó tỉ lệ từng cặp gen đều theo công thức của định luật Hacđi-Vanbec.
Xét từng cặp gen thì kiểu gen aa có tỉ lệ (0,2)2 = 0,04.
Kiểu gen Bb có tỉ lệ 2×0,7×0,3 = 0,42.
Hai cặp gen này phân li độc lập nên tỉ lệ kiểu gen aaBb bằng tích tỉ lệ kiểu gen aa với tỉ lệ kiểu gen Bb ở trong quần thể và bằng 0,04 × 0,42 = 0,0168 = 1,68%.
b. Cây thân cao hoa trắng có kí hiệu kiểu gen A-bb.
Vậy ở trong quần thể này, cây thân cao hoa trắng có tỉ lệ:
(1 - aa)×bb = (1 - 0,64)×0,09 = 0,0324 = 3,24%
|
-Theo lí thuyết, khi các cá thể giao phối ngẫu nhiên thì tỉ lệ mỗi loại kiểu gen tuân theo định luật Hacđi-Vanbec. - Khi quần thể đang cân bằng về di truyền, tỉ lệ của một kiểu gen nào đó bằng tích tần số của các alen có trong kiểu gen nhân với 2n (n là so cặp gen dị hợp có trong kiểu gen). Ví dụ kiểu gen AabbDd có tỉ lệ = 22.A.a.b.b.D.d |
Bài 13: Thế hệ xuất phát của một quần thể ngẫu phối có 100% cá thể đực mang kiểu gen AA; Các cá thể cái có 2 loại kiểu gen là Aa và aa, trong đó kiểu gen Aa chiếm 60% ; kiểu gen aa chiếm 40%.
a. Hãy xác định tỉ lệ kiểu gen của quần thể ở thế hệ F1:
b. Khi quần thể đạt trạng thái cân bằng di truyền, hãy xác định tần số alen của quần thể.
c. Hãy xác định tỉ lệ kiểu gen của quần thể khi đạt trạng thái cân bằng di truyền.
Hướng dẫn giải
a. Hãy xác định tỉ lệ kiểu gen của quần thể ở thế hệ F1.
Đời F1 được sinh ra do sự kết hợp ngẫu nhiên giữa các giao tử đực với các giao tử cái:
Ở đực chỉ có kiểu gen AA nên cho duy nhất 1 loại giao tử A với tỉ lệ 1.
Ở cái có 0,6Aa và 0,4aa nên có 2 loại giao tử là 0,3A và 0,7a.
Sự giao phối ngẫu nhiên sẽ sinh ra đời con:

Tỉ lệ kiểu gen F1 là 0,3AA : 0,7Aa
b. Xác định tần số alen của quần thể khi đạt trạng thái cân bằng di truyền.
Khi quần thể cho biết số lượng cá thể ở giới đực và số lượng cá thế ở giới cái thì phải tính tần số alen theo từng giới, sau đó tính trung bình cộng của cả hai giới.
Tỉ lệ kiểu gen ở thế hệ xuất phát:
Ở giới đực có 100% AA => Tần số alen A =1
Ở giới cái có 0,60 Aa : 0,4 aa.
=> Tần số alen A =
. Tần số của a = 1 - 0,3 = 0,7.
Tần số alen tính chung cho cả hai giới (cả quần thể) là :
. a = 1 - 0,3 = 0,7.
c. Tỉ lệ kiểu gen của quần thể khi đạt trạng thái cân bằng di truyền.
(0,65)2AA : 2×0,65×0,4Aa : (0,35)2aa = 0,4225AA : 0,455Aa : 0,1225aa.
|
- Thế hệ xuất phát có tần số alen ở giới đực khác với tần số alen ở giới cái thì tần số alen bằng trung bình cộng tần số alen của cả hai giới. - Thế hệ xuất phát có tỉ lệ kiểu gen ở giới đực khác tỉ lệ kiểu gen ở giới cái thì việc xác định tỉ lệ kiểu gen F1 phải thực hiện sơ đồ lai giữa giao tử đực với giao tử cái. Từ thế hệ F2 trở đi, quần thể mới đạt trạng thái cân bằng di truyền. |
Bài 14: Một quần thể đang ở trạng thái cân bằng di truyền, có tỉ lệ của kiểu gen AA bằng 16 lần tỉ lệ của kiểu gen aa. Hãy xác định:
a. Tần số alen của quần thể
b. Tỉ lệ kiểu gen của quần thể.
Hướng dẫn giải
a. Tìm tần số alen của quần thể.
Vận dụng công thức giải nhanh:
Một quần thể đang ở trạng thái cân bằng di truyền, trong đó tỉ lệ của kiểu gen AA bằng x lần tỉ lệ của kiểu gen aa. Thì tần số alen a = |
Thay x = 16, ta được tần số a =
à Tần số alen A = 1 - 0,2 = 0,8.
b. Tỉ lệ kiểu gen của quần thể
(0,8)2AA : 2×0,8×0,2Aa : (0,2)2aa = 0,64AA : 0,32Aa : 0,04aa.
Bài 15: Ở bò, gen A nằm trên NST thường quy định chân cao trội hoàn toàn so với a quy định chân thấp. Trong một trại nhân giống, có 4 con đực chân cao và 20 con cái chân thấp. Quá trình ngẫu phối đã sinh ra đời F1 có 50% cá thể chân cao, 50% cá thể chân thấp. Trong số 4 con bò đực nói trên, có bao nhiêu con thuần chủng về tính trạng chiều cao chân?
Hướng dẫn giải
Gọi x là số cá thể thuần chủng => số cá thể không thuần chủng là 4 - x.
- Tỉ lệ kiểu gen của con đực là
=> Giao tử đực mang gen a chiếm tỉ lệ =
- Tỉ lệ kiểu gen của con cái gồm 100% aa => cho giao tử a chiếm tỉ lệ = 1.
=> Kiểu hình chân thấp ở đời con có tỉ lệ =
=> 4 - x = 0,5 × 8 = 4 => x = 4 - 4 = 0 cá thể.
Vậy trong số 4 con bò đực, có 0 con thuần chủng
Bài 16: Ở người, bệnh bạch tạng do gen lặn a nằm trên NST thường quy định. Một quần thể người đang ở trạng thái cân bằng về di truyền có 36% số người mang gen bạch tạng.
a. Xác định tần số của alen a.
b. Trong số những người không bị bạch tạng, người không mang alen bệnh chiếm tỉ lệ bao nhiêu?
Hướng dẫn giải
a. Xác định tần số của alen a.
- Người mang gen bệnh gồm có Aa và aa. Vì vậy, khi quần thể có 64% số người mang gen bệnh thì số người mang kiểu gen A A = 100% - 36% = 64%.
- Tần số A =
Tần số A = 0,8 => Tần số a = 1 - 0,8 = 0,2.
b. Tỉ lệ người không mang alen bệnh.
- Cấu trúc di truyền của quần thể: 0,64AA + 0,32Aa + 0,04aa.
- Người không bị bệnh gồm có 0,64AA + 0,32Aa = 0,96.
à Trong số những người không bị bệnh, người không mang alen bệnh chiếm 0,64 2 tỉ lệ =
Bài 17: Một quần thể thực vật, A quy định hoa đỏ trội hoàn toàn so với a quy định hoa trắng. Thế hệ xuất phát có 80% cây hoa đỏ; 20% cây hoa trắng. Qua 3 thế hệ ngẫu phối, ở F3, cây hoa trắng chiếm 25%. Hãy xác định:
a. Tần số kiểu gen ở thế hệ P.
b. Tỉ lệ kiểu hình ở Fl, F2.
c. Nếu P tự thụ phấn thì tỉ lệ kiểu hình ở F3 sẽ như thế nào?
d. Nếu bắt đầu từ F3, các cá thể tự thụ phấn thì tỉ lệ kiểu hình ở F4 sẽ như thế nào?
Hướng dẫn giải
|
- Phải tìm tỉ lệ kiểu gen ở thế hệ xuất phát, sau đó mới đi tìm các nội dung theo yêu cầu của bài toán. - Muốn tìm tỉ lệ kiểu gen ở thế hệ P thì sử dụng công thức giải nhanh: “Một quần thể ngẫu phối, thế hệ xuất phát P có kiểu hình aa chiếm tỉ lệ m; khi quần thể đạt cân bằng di truyền có kiểu hình aa chiếm tỉ lệ = n thì ở thế hệ P, kiểu gen Aa chiếm tỉ lệ = |
Ở bài toán này, m = 0,2 và n = 0,25.
- Áp dụng công thức ta có ở thế hệ P, tỉ lệ kiểu gen Aa =
=> Kiểu gen AA có tỉ lệ = 0,8 - 0,6 = 0,2.
=> Tần số kiểu gen ở thế hệ P là 0,2AA : 0,6Aa : 0,2aa.
b. Vì đây là quần thể ngẫu phối cho nên, từ thế hệ F1 trở đi, tần số kiểu gen được duy trì ổn định theo công thức của định luật Hacđi-Vanbec.
=> Tần số kiểu gen ở Fl, F2 là 0,25AA : 0,5Aa : 0,25aa.
c. Nếu P tự thụ phấn thì tỉ lệ kiểu gen ở F3 sẽ là: Aa =
=> Kiểu gen aa =
=> Ở F3, cây hoa trắng (aa) chiếm tỉ lệ = 0,4625.
=> Cây hoa đỏ chiếm tỉ lệ = 1 - 0,4625 = 0,5375.
d. Tỉ lệ kiểu gen ở F3 là 0,25AA : 0,5Aa : 0,25aa.
Do đó, khi F3 tự thụ phấn thì tỉ lệ kiểu hình ở F4 sẽ là:
Cây hoa trắng (aa) có tỉ lệ =
=> Cây hoa đỏ có tỉ lệ = 1 - 0,375 = 0,625.
=> Tỉ lệ kiểu hình ở F4 là: 62,5% cây hoa đỏ : 37,5% cây hoa trắng.
Hướng dẫn giải
Bài 18: Một quần thể ngẫu phối đang ở trạng thái cân bằng di truyền, xét 2 cặp gen Aa và Bb phân li độc lập, mỗi gen quy định một tính trạng và trội hoàn toàn, trong đó có tần số alen A = 0,7; a = 0,3; B = 0,1; b = 0,9. Hãy xác định:
a. Số loại kiểu gen, số loại kiểu hình của quần thể.
b. Trong quần thể, loại kiểu hình có 1 tính trạng trội, một tính trạng lặn chiếm tỉ lệ bao nhiêu?
c. Trong quần thể, cá thể thuần chủng chiếm tỉ lệ bao nhiêu?
d. Trong quần thể, cá thể dị hợp 1 cặp gen chiếm tỉ lệ bao nhiêu?
e. Trong các kiểu gen của quần thể, loại kiểu gen nào chiếm tỉ lệ cao nhất?
g. Trong các kiểu gen của quần thể, loại kiểu gen nào chiếm tỉ lệ thấp nhất?
h. Lấy ngẫu nhiên 1 cá thể mang 2 tính trạng trội, xác suất thu được cá thể thuần chủng là bao nhiêu?
i. Lấy ngẫu nhiên 1 cá thể mang kiểu hình A-bb, xác suất thu được cá thể thuần chủng là bao nhiêu?
k. Lấy ngẫu nhiên 1 cá thể, xác suất thu được cá thể dị hợp 2 cặp gen là bao nhiêu?
Hướng dẫn giải
a. - Vì quần thể có 2 cặp gen phân li độc lập cho nên số loại kiểu gen = 9.
- Mỗi gen quy định một tính trạng và trội hoàn toàn cho nên với 2 cặp gen thì sẽ có số loại kiểu hình = 4.
b. Loại kiểu hình có một tính trạng trội, một tính trạng lặn gồm A-bb và aaB-.
Kiểu hình A-bb có tỉ lệ = (1 - aa) × bb = (1 - 0,09) × 0,81 = 0,7371.
Kiểu hình aaB- có tỉ lệ = aa × (1 - bb) = 0,09 × (1 - 0,81) = 0,0171.
=> Loại kiểu hình có một tính trạng trội và một tính trạng lặn chiếm tỉ lệ:
0,7371 + 0,0171 = 0,7542 = 75,42%.
c. Cá thể thuần chủng có tỉ lệ:
(1 - Aa) × (1 - Bb) = (l - 0,42) × (1 - 0,18) = 0,4756 = 47,56%.
d. Cá thể dị hợp một cặp gen chiếm tỉ lệ:
(1 - Aa) × Bb + Aa × ( 1- Bb) = (1 – 0,42) × 0,18 + 0,42 × (1 - 0,18) = 0,4488.
e. Muốn biết kiểu gen nào có tỉ lệ cao nhất thì phải xét từng cặp gen:
Ở các kiểu gen của gen A. Vì A = 0,7 cho nên kiểu gen AA có tỉ lệ lớn hơn kiểu gen Aa và lớn hơn aa.
Ở các kiểu gen của gen B. Vì b = 0,9 cho nên kiểu gen bb có tỉ lệ lớn hơn kiểu gen Bb và lớn hơn BB.
=> Kiểu gen AAbb là kiểu gen có tỉ lệ lớn nhất.
g. Tương tự, suy ra kiểu gen aaBB có tỉ lệ thấp nhất.
h. Lấy ngẫu nhiên 1 cá thể mang 2 tính trạng trội, xác suất thu được cá thể thuần chủng là:
i. Lấy ngẫu nhiên 1 cá thể mang kiểu hình A-bb, xác suất thu được cá thể thuần chủng là:
k. Lấy ngẫu nhiên 1 cá thể, xác suất thu được cá thể dị hợp 2 cặp gen là:
Bài 19: Ở một loài thực vật sinh sản bằng tự phối, gen A quy định khả năng nảy mầm trên đất có kim loại nặng, alen a không có khả năng này nên hạt có kiểu gen aa bị chết khi đất có kim loại nặng. Tiến hành gieo 1000 hạt (gồm 100 hạt AA, 400 hạt Aa, 500 hạt aa) trên đất có kim loại nặng, các hạt sau khi nảy mầm đều sinh trưởng bình thường và các cây đều ra hoa, kết hạt tạo nên thế hệ F1; F1 nảy mầm và sinh trưởng, sau đó ra hoa kết hạt tạo thế hệ F2. Lấy một hạt ở đời F2, tính xác suất để hạt này nảy mầm được trên đất có kim loại nặng.
Hướng dẫn giải
- Bước 1: Tìm tỉ lệ của loại biến cố cần tính xác suất.
- Ở thế hệ xuất phát, tỉ lệ kiểu gen ở cây trưởng thành là 0,2AA : 0,8Aa
=> Do quần thể tự phối nên => Tỉ lệ hợp tử ở F1 là 0,4AA : 0,4Aa : 0,2aa.
(0,8Aa tự phối sẽ sinh ra 3 kiểu gen là 0,2AA : 0,4Aa : 0,2aa).
-Vì hạt aa không nảy mầm được nên tỉ lệ kiểu gen ở cây trưởng thành F1 là
- Tỉ lệ hợp tử ở F2 là
Như vậy, ở F2 tỉ lệ hạt nảy mầm 
- Bước 2: Sử dụng toán tổ hợp để tính xác suất.
Tỉ lệ hạt nảy mầm là 87,5% nên khi lấy ngẫu nhiên 1 hạt, xác suất để hạt đó nảy mầm được là 87,5%.
Khi lấy 1 cá thể thì xác suất xuất hiện kiểu hình chính bằng tỉ lệ của loại kiểu hình đó. |
Bài 20: Ở một loài thực vật sinh sản bằng giao phấn ngẫu nhiên, có gen A quy định khả năng nảy mầm trên đất có kim loại nặng, a không có khả năng này nên hạt aa không phát triển khi đất có kim loại nặng. Tiến hành gieo 50 hạt (gồm 20 hạt AA; 20 hạt Aa, 10 hạt aa) trên đất có kim loại nặng, các hạt sau khi nảy mầm đều sinh trưởng bình thường và các cây đều ra hoa, kết hạt tạo nên thế hệ F1. Lấy 3 hạt ở đời F1, tính xác suất để trong 3 hạt này có 2 hạt nảy mầm được trên đất có kim loại nặng.
Hướng dẫn giải
Bước 1: Tìm tỉ lệ của loại biến cố cần tính xác suất
Ở bài toán này, biến cố cần tính xác suất là tỉ lệ kiểu hình hạt nảy mầm.
- Ở thế hệ xuất phát, có 40 hạt nảy mầm được (20 hạt AA, 20 hạt Aa) nên tỉ lệ kiểu gen ở cây trưởng thành là 0,5AA : 0,5Aa
=> Tần số 
=> Do quần thể ngẫu phối nên tỉ lệ hợp tử ở F1 là:
(0,75)2AA : 2×0,75×0,25Aa : (0,25)2 aa = 0,5625AA : 0,375Aa : 0,0625 aa.
=> Tỉ lệ hạt F1 nảy mầm được là
, hạt không nảy mầm được là
Bước 2: Sử dụng toán tổ hợp để lấy xác suất
Lấy ngẫu nhiên 3 hạt, xác suất để có 2 hạt nảy mầm được (tức là trong 3 hạt thì có 2 hạt nảy mầm được còn 2 hạt không nảy mầm được)
Bài 21: Xét 2 cặp gen Aa và Bb quy định hai cặp tính trạng nằm trên 2 cặp NST tương đồng khác nhau. Trong một quần thể đang cân bằng về di truyền, A có tần số 0,4; B có tần số 0,5. Lấy một cá thể mang hai tính trạng trội về hai cặp gen nói trên, xác suất để được cá thể thuần chủng là bao nhiêu?
Hướng dẫn giải
Bước 1: Tìm tỉ lệ của loại biến cố cần tính xác suất
Ở bài toán này, biến cố cần tính xác suất là trong số các cá thể mang 2 tính trạng trội, cá thể thuần chủng là bao nhiêu?
- Kiểu hình trội A- = 1 - aa (vì tổng kiểu hình trội (A-) và kiểu hình lặn (aa) = 1)
- Cá thể mang hai tính trạng trội được kí hiệu là A-B- có tỉ lệ
(l-aa)(1-bb) = [1 - (0,6)]2.[1 - (0,5)2] = [0,64].[0,75] = 0,48.
- Cá thể mang hai tính trạng trội thuần chủng (AABB) có tỉ lệ
(0,4)2×(0,5)2 = 0,16 × 0,25 = 0,04.
Bước 2: Sử dụng toán tổ hợp để lấy xác suất
Lấy một cá thể mang hai tính trạng trội về hai cặp gen nói trên, xác suất để được cá thể thuần chủng là
Bài 22: Ở người, gen A nằm trên NST thường quy định da đen trội hoàn toàn so với a quy định da trắng. Một quần thể người đang ở trạng thái cân bằng về di truyền có 36% số người da đen.
a. Tính tần số của A, a.
b. Một cặp vợ chồng đều có da đen sinh đứa con đầu lòng có da trắng. Nếu họ sinh đứa thứ 2 thì xác suất để đứa thứ 2 có da trắng là bao nhiêu %?
c. Một cặp vợ chồng khác ở trong quần thể này có da đen, xác suất để con đầu lòng của họ có da đen là bao nhiêu?
Hướng dẫn giải
a. Người có da trắng chiếm tỉ lệ 100% - 36% = 64%.
Vì quần thể đang cân bằng về di truyền nên tần số của a =
=> Tần số của A = 1 - 0,8 = 0,2.
b. Cặp vợ chồng này đều có da đen nhưng con đầu lòng của họ có da trắng chứng tỏ cả bố và mẹ đều có kiểu gen dị hợp Aa. Cả hai bố mẹ đều có kiểu gen dị hợp nên khi sinh đứa thứ 2 thì xác suất để con có da trắng là: Aa × Aa cho 
Vậy xác suất để cặp vợ chồng này sinh con có da trắng là
c. Thành phần kiểu gen của quần thể này là 0,04AA : 0,32Aa : 0,64aa.
Vậy trong số những người da đen, người dị hợp Aa chiếm tỉ lệ
=> Xác suất để cả 2 vợ chồng có da đen đều có kiểu gen dị hợp là
Khi cả hai vợ chồng đều có kiểu gen Aa thì xác suất sinh con da trắng (aa) là
Vậy một cặp vợ chồng có da đen ở quần thể trên sẽ sinh con có da trắng với xác suất
=> Xác suất để cặp vợ chồng này sinh con đầu lòng có da đen (da không trắng) là:
|
- Khi quần thể cân bằng, tần số của alen lặn a = - Phải xác định kiểu gen của bố mẹ thì mới dự đoán được tỉ lệ kiểu hình ở đời con. Khi bố mẹ có thể có các kiểu gen khác nhau thì chỉ dựa vào kiểu gen làm xuất hiện kiểu hình cần tìm (Phải tính xác suất xuất hiện KG đó). - Xác suất để một cặp vợ chồng sinh con có kiểu hình lặn bằng tích xác suất xuất hiện KG của bố mẹ với tỉ lệ xuất hiện kiểu hình lặn. - Xác suất sinh con có kiểu hình trội = 1- xác suất sinh con có kiểu hình lặn. |
Bài 23: Ở người, mắt đen do gen trội A nằm trên NST thường quy định, mắt xanh do alen lặn. Trong một quần thể đang cân bằng di truyền, số người mang kiểu gen dị hợp gấp 3 lần số người có mắt xanh. Trong quần thể này, có một cặp vợ chồng đều có mắt đen. Xác suất để người con đầu lòng của họ là con trai và có mắt xanh là bao nhiêu?
Hướng dẫn giải
|
Áp dụng công thức giải nhanh, ta có: Một quần thể đang ở trạng thái cân bằng di truyền có tỉ lệ của kiểu gen AA bằng y lần tỉ lệ của kiểu gen Aa. Thì tần số alen a |
Ớ bài toán này, kiểu gen aa = 1/3 lần kiểu gen Aa.
=> Tần số A =
Tần số a = 1 - 0,6 = 0,4.
Vậy thành phần kiểu gen của quần thể là 0,36AA :0,48Aa :0,16aa
Người mắt đen có kiểu gen dị hợp chiếm tỉ lệ =
Vậy xác suất để con đầu lòng của họ là con trai và có mắt xanh là:
Bài 24: Ở người, tính trạng nhóm máu do 1 gen có 3 alen quy định, trong đó kiểu gen IAIA hoặc IAIO quy định nhóm máu A; kiểu gen IBIB hoặc IBIO quy định nhóm máu B; kiểu gen IAIB quy định nhóm máu AB; kiểu gen IOIO quy định nhóm máu O.
Một quần thể đang ở trạng thái cân bằng di truyền có 12% số người mang nhóm máu AB; 39% số người mang nhóm máu A; 24% số người mang nhóm máu B; 25% số người mang nhóm máu O.
a. Xác định tần số các alen IA, IB và IO.
b. Trong số những người có nhóm máu A, tỉ lệ người thuần chủng là bao nhiêu?
Hướng dẫn giải
|
- Đối với quần thể của gen có nhiều alen. Khi quần thể đang ở trạng thái cân bằng di truyền thì tần số alen được tính từ alen lặn nhất đến alen trội nhất. - Tổng kiểu hình máu A (IAIA + IAIO) và máu O (IOIO) tạo thành một nhóm cân bằng. Vì tổng tỉ lệ của kiểu hình máu A và máu O là: (IAIA + 2.IAIO+ IOIO)2 = (IA+IO)2. - Sau khi tìm được tần số alen thì mới tiến hành làm các nội dung theo yêu cầu của bài toán. |
a. Tần số các alen:
- Có 25% người máu O => IO =
- Người máu B và máu O có tổng tỉ lệ = 24% + 25% = 49% = 0,49.
=>
Vì tần số IO = 0,5 cho nên suy ra IB = 0,7 - 0,5 = 0,2.
- Vì tổng tần số của các alen IA + IB + IO = 1 => Tần số IA = 1 - 0,2 - 0,5 = 0,3.
=> Tần số của các alen là: 0,3IA; 0,2IB; 0,5IO.
b. - Tần số IA = 0,3 và IO = 0,5 cho nên người máu A có tỉ lệ kiểu gen là:
0,09IAIA : 0,3IAIO =
=> Trong số những người có máu A, người thuần chủng chiếm tỉ lệ
Bài 25: Một quần thể động vật giao phối, màu sắc cánh do 1 gen gồm 3 alen nằm trên nhiễm sắc thể thường quy định. Trong đó, alen A1 quy định cánh đen trội hoàn toàn so với alen A2 và alen A3; Alen A2 quy định cánh xám trội hoàn toàn so với alen A3 quy định cánh trắng. Một quần thể đang ở trạng thái cân bằng di truyền có 64% con cánh đen; 27% con cánh xám; 9% con cánh trắng. Biết không xảy ra đột biến. Hãy xác định:
a. Tần số các alen A1, A2, A3,
b. Cá thể cánh đen dị hợp chiếm tỉ lệ bao nhiêu?
Hướng dẫn giải
Ta có:
- Kiểu hình cánh trắng chiếm tỉ lệ 9% = 0,09.
=> Tần số alen A3 =
- Kiểu hình cánh trắng + cánh xám = 9% + 27% = 36% = 0,36.
=> Tần số A3 + A2 =
A2 = 0,6 - 0,3 = 0,3.
- Tần số Al = 1 - 0,6 = 0,4.
b. Tỉ lệ của cá thể cánh đen dị hợp.
Cá thể cánh đen dị hợp = tỉ lệ cá thể cánh đen - tỉ lệ cá thể cánh đen đồng hợp:
0,64 - (0,4)2 = 0,64 - 0,16 = 0,48 = 48%.
Bài 26: Tính trạng màu hoa của một loài thực vật do một gen có 5 alen (từ A1 đến A5) quy định, trong đó có 3 alen (từ A1 đến A3) là đồng trội so với nhau và trội hoàn toàn so với alen A4, A5; Alen A4 trội hoàn toàn so với alen A5. Trong quần thể, sẽ có tối đa bao nhiêu loại kiểu hình về tính trạng màu hoa.
Hướng dẫn giải
Gen A có n alen, trong đó có m alen đồng trội so với nhau và trội hoàn toàn so với (n-m) alen còn lại. Theo lí thuyết, quần thể có số loại kiểu hình = |
Ở bài toán này, n = 5 và m = 3.
à Số loại kiểu hình =
kiểu hình.
Bài 27: Ở thế hệ xuất phát của một quần thể giao phối ngẫu nhiên có 60%AA, 40%Aa. Nếu tất cả các hợp tử aa đều bị chết ở giai đoạn phôi thì tần số alen A và a ở thế hệ F5 là bao nhiêu?
Hướng dẫn giải
- Ở bài toán này, thế hệ xuất phát có 0,6AA : 0,4Aa => Tần số a =
- Vận dụng công thức tính tần số ở Fn = 
=> Ở F5, tần số a =
Tần số A = 1 - 0,1 = 0,9
Bài 28: Một loài thực vật tự thụ phấn, A quy định hạt vàng trội hoàn toàn so với a quy định hạt xanh; kiểu hình hạt xanh bị chết ở giai đoạn phôi. Thế hệ xuất phát của một quần thể có tỉ lệ kiểu gen 100% cây Aa. Theo lí thuyết, hãy xác định:
a. Tần số alen a ở F5. b. Tỉ lệ kiểu gen của F5.
Hướng dẫn giải
Một quần thể tự phối, thế hệ xuất phát có tần số alen a = |
Ở bài toán này, n = 5.
a) Tần số a ở F5 =
b. Tỉ lệ kiểu gen ở F5.
- Vì kiểu gen aa bị chết ở giai đoạn phôi cho nên quần thể chỉ có AA và Aa.
=> Với tần số a =
thì tỉ lệ kiểu gen Aa =
- Tỉ lệ kiểu gen của quần thể là
Bài 29: Ở một giống cây trồng sinh sản bằng tự thụ phấn, A quy định quả ngọt trội hoàn toàn so với a quy định quả chua. Vì mục tiêu sản xuất quả ngọt nên kiểu hình quả chua bị loại bỏ hoàn toàn ra khỏi giống. Thế hệ xuất phát của một giống có tỉ lệ kiểu gen 0,8AA : 0,2Aa. Theo lí thuyết, hãy xác định tần số alen a ở F3.
Hướng dẫn giải
Một quần thể tự phối, thế hệ xuất phát có tần số alen a = x. Nếu kiểu hình đồng hợp lặn bị loại bỏ hoàn toàn ở giai đoạn mới sinh thì ở thế hệ Fn, tần số a = |
Ta có: Ở bài toán này, x = 0,1 và n = 3.
=> Áp dụng công thức giải nhanh, ta có:
Bài 30: Một quần thể động vật giao phối, màu sắc cánh do 1 gen gồm 4 alen nằm trên nhiễm sắc thể thường quy định. Trong đó, alen A1 quy định cánh đen trội hoàn toàn so với alen A2, alen A3 và alen A4; Alen A2 quy định cánh xám trội hoàn toàn so với alen A3 và A4; Alen A3 quy định cánh vàng trội hoàn toàn so vói alen A4 quy định cánh trắng. Một quần thể đang ở trạng thái cân bằng di truyền có 51% con cánh đen; 13% con cánh xám; 32% con cánh vàng; 4% con cánh trắng. Biết không xảy ra đột biến. Hãy xác định:
a. Tần số các alen A1, A2, A3, A4.
b. Cá thể cánh xám dị hợp chiếm tỉ lệ bao nhiêu?
c. Lấy ngẫu nhiên 1 cá thể cánh đen, xác suất thu được cá thể thuần chủng là bao nhiêu?
d. Nếu chỉ có các cá thể cánh xám giao phối ngẫu nhiên thì sẽ thu được đời con có tỉ lệ kiểu hình là bao nhiêu?
e. Nếu chỉ có các cá thể cánh đen giao phối ngẫu nhiên thì sẽ thu được đời con có số cá thể cánh xám thuần chủng chiếm tỉ lệ bao nhiêu?
g. Nếu chỉ có các cá thể cánh đen giao phối ngẫu nhiên thì sẽ thu được đời con có số cá thể cánh đen thuần chủng chiếm tỉ lệ bao nhiêu?
h. Nếu loại bỏ toàn bộ các cá thể cánh trắng, sau đó cho các cá thể còn lại giao phối ngẫu nhiên thì sẽ thu được đời con có số cá thể cánh đen thuần chủng chiếm tỉ lệ bao nhiêu?
i. Nếu loại bỏ toàn bộ các cá thể cánh xám, sau đó cho các cá thể còn lại giao phối ngẫu nhiên thì sẽ thu được đời con có số cá thể cánh xám thuần chủng chiếm tỉ lệ bao nhiêu?
Hướng dẫn giải
a. Xác định tần số các alen A1, A2, A3, A4.
Quần thể đang cân bằng di truyền và có 4% con cánh trắng → A4 =
Tổng tỉ lệ cá thể cánh trắng + tỉ lệ cá thể cánh vàng = 4% + 32% = 36% = 0,36.
→ A4 + A3 =
Vì A4 = 0,2 → A3 = 0,6 - 0,2 = 0,4.
Tống tỉ lệ cá thể cánh trắng + tỉ lệ cá thể cánh vàng + cánh xám
= 4% + 32% + 13% = 49% = 0,49.
→ A4 + A3 + A2 =
Vì A4 = 0,2, A3 = 0,4 → A2 = 0,7 (0,2 + 0,4) = 0,1.
→ Tần số alen Al = 1 - (0,4 + 0,2 + 0,1) = 0,3.
Vậy, tần số các alen là: 0,3A1, 0,1A2, 0,4A3, 0,2A4
b. Cá thể cánh xám dị hợp chiếm tỉ lệ bao nhiêu?
Cá thể cánh xám dị hợp = tỉ lệ cá thể cánh xám - tỉ lệ cá thể cánh xám đồng hợp:
0,13 - (0,1)2 = 0,12 = 12%.
c. Lấy ngẫu nhiên 1 cá thể cánh đen, xác suất thu được cá thể thuần chủng là:
d. Nếu chỉ có các cá thể cánh xám giao phối ngẫu nhiên thì sẽ thu được đời con có tỉ lệ kiểu hình là bao nhiêu?
Các kiểu gen quy định cánh xám gồm A2A2, A2A3 và A2A4 với tỉ lệ là:
→ Các cá thể lông xám trở thành một quần thể mới với tỉ lệ kiểu gen là:
→ Giao tử A4
, Giao tử A3
→ Khi các cá thể cánh xám giao phối ngẫu nhiên thì sẽ thu được đời con có kiểu hình cánh trắng (A4A4) chiếm tỉ lệ =
→ Khi các cá thể cánh xám giao phối ngẫu nhiên thì sẽ thu được đời con có kiểu hình cánh vàng (A3A3 + A3A4) chiếm tỉ lệ:
→ Cá thể cánh xám có tỉ lệ =
→ Đời con có tỉ lệ kiểu hình là: 133 cá thể cánh xám : 32 cá thể cánh vàng : 4 cá thể cánh trắng.
e. Nếu chỉ có các cá thể cánh đen giao phối ngẫu nhiên thì sẽ thu được đời con có số cá thể cánh xám thuần chủng chiếm tỉ lệ bao nhiêu?
Trong số các cá thể cánh đen của quần thể gồm có 4 kiểu gen là A1A1; A1A2, A1A3, A1A4.
Vì vậy, trong số các cá thể cánh đen thì tần số của A2 =
→ Nếu cho các cá thể cánh đen giao phối ngẫu nhiên thì ở đời con, cá thể cánh xám thuần chủng (A2A2) chiếm tỉ lệ =
g. Nếu chỉ có các cá thể cánh đen giao phối ngẫu nhiên thì sẽ thu được đời con có số cá thể cánh đen thuần chủng chiếm tỉ lệ bao nhiêu?
Trong số các cá thể cánh đen của quần thể gồm có 4 kiểu gen là:
A1A1; A1A2, A1A3, A1A4.
Vì vậy, trong số các cá thể cánh đen thì tần số của A1=
Nếu cho các cá thể cánh đen giao phối ngẫu nhiên thì ở đời con, cá thể cánh đen thuần chủng (A1A1) chiếm tỉ lệ =
h. Nếu loại bỏ toàn bộ các cá thể cánh trắng, sau đó cho các cá thể còn lại giao phối ngẫu nhiên thì sẽ thu được đời con có số cá thể cánh đen thuần chủng chiếm tỉ lệ bao nhiêu?
Khi loại bỏ các cá thể cánh trắng thì quần thể gồm có:
A1A1, A1A2, A1A3, A1A4, A2A2, A2A3, A2A4, A3A3, A3A4
Vì vậy, trong số các cá thể còn lại thì tần số của A1 =
→ Cá thể cánh đen thuần chủng chiếm tỉ lệ =
i. Nếu loại bỏ toàn bộ các cá thể cánh xám, sau đó cho các cá thể còn lại giao phối ngẫu nhiên thì sẽ thu được đời con có số cá thể cánh xám thuần chủng chiếm tỉ lệ bao nhiêu?
Khi loại bỏ toàn bộ các cá thể cánh xám thì quần thể còn lại các kiểu gen A1A1, A1A2, A1A3, A1A4, A3A3, A3A4, A4A4.
Vì vậy, trong số các cá thể còn lại thì tần số của A2 =
→ Cá thể cánh xám thuần chủng chiếm tỉ lệ =
Bài 31: Một quần thể thực vật tự thụ phấn, alen A quy định hoa đỏ trội hoàn toàn so với alen a quy định hoa trắng. Thế hệ xuất phát có 60% cây hoa đỏ; 40% cây hoa trắng. Ở F3, cây hoa trắng chiếm 57,5%. Hãy xác định:
a.Tần số kiểu gen ở thế hệ P.
b. Tần số alen A, a của thế hệ P.
c. Nếu bắt đầu từ F3, các cá thể giao phấn ngẫu nhiên thì tỉ lệ kiểu hình ở F4 sẽ như thế nào?
Hướng dẫn giải
Để tìm tỉ lệ kiểu gen ở thế hệ xuất phát P, chúng ta sử dụng công thức giải nhanh: “Nếu thế hệ xuất phát có kiểu hình lặn (aa) chiếm tỉ lệ x, đến thế hệ Fn có kiểu hình lặn (aa) chiếm tỉ lệ y (y ≥ x) thì kiểu gen Aa ở thế hệ xuất phát có tỉ lệ = |
Ở bài này, x = 0,4; y = 0,575 và n = 3.
→ Ở thế hệ xuất phát, kiểu gen Aa có tỉ lệ =
Vì aa = 0,4 và Aa = 0,4 → Kiểu gen AA có tỉ lệ = 1 - 0,4 - 0,4 = 0,2.
- Tỉ lệ kiểu gen ở thế hệ P: 0,2AA : 0,4Aa : 0,4aa.
b. Tần số alen A =
; Tần số alen a = 1 - 0,4 = 0,6.
c. Vì tần số alen không thay đổi qua các thế hệ tự thụ phấn nên ở F3 tần số không thay đổi.
Vậy, ở F4 tỉ lệ kiểu hình hoa trắng (aa) = (0,6)2= 0,36 = 36%.
Tỉ lệ kiểu hình hoa đỏ (A-) = 100% - 36% = 64%.
→ Tỉ lệ kiểu hình ở F4 là 64% cây hoa đỏ : 36% cây hoa trắng.
Bài 32: Một quần thể thực vật tự thụ phấn, alen A quy định hoa đỏ trội hoàn toàn so vớỉ alen a quy định hoa trắng. Thế hệ xuất phát có tỉ lệ kiểu hình 19 cây hoa đỏ : 1 cây hoa trang. Ở F2, có tỉ lệ kiểu hình 4 cây hoa đỏ : 1 cây hoa trắng. Hãy xác định:
a. Tần số kiểu gen ở thế hệ P.
b. Tần số alen A, a của thế hệ P.
c. Tỉ lệ kiểu hình ở F1.
d. Nếu P giao phấn ngẫu nhiên thì tỉ lệ kiểu hình ở F2 sẽ như thế nào?
e. Nếu bắt đầu từ F2, các cá thể giao phấn ngẫu nhiên thì tỉ lệ kiểu hình ở F3 sẽ như thế nào?
Hướng dẫn giải
- Thế hệ P có tỉ lệ kiểu hình là 19 cây hoa đỏ : 1 cây hoa trắng 1 <=> 0,95 cây hoa đỏ : 0,05 cây hoa trắng.
- Thế hệ F2, có tỉ lệ kiểu hình 4 cây hoa đỏ : 1 cây hoa trắng 1 <=> 0,8 cây hoa đỏ : 0,2 cây hoa trắng.
- Áp dụng công thức giải nhanh:
Nếu thế hệ xuất phát có kiểu hình lặn (aa) chiếm tỉ lệ x, đến thế hệ Fn có kiểu hình lặn (aa) chiếm tỉ lệ y (y ≥ x) thì kiểu gen Aa ở thế hệ xuất phát có tỉ lệ = |
Ta có: x = 0,05; y = 0,2 và n = 2.
a. Tỉ lệ kiểu gen Aa ở F2 =
Có 0,95 kiểu hình hoa đỏ, trong đó kiểu gen Aa chiếm tỉ lệ 0,4.
→ Kiểu gen AA chiếm tỉ lệ = 0,95 - 0,4 = 0,55.
→ Tần số kiểu gen ở thế hệ P là: 0,55AA : 0,4Aa : 0,05aa.
b. Tần số alen A =
→ Tần số A = 0,75, tần số alen a = l - 0,75 = 0,25.
c. Tỉ lệ kiểu hình ở F1.
P có tỉ lệ kiểu gen là 0,55AA : 0,4Aa : 0,05aa.
Sau khi tiến hành tự thụ phấn thì F1 có tỉ lệ kiểu gen là:
0,65AA : 0,2Aa : 0,15aa.
→ Tỉ lệ kiểu hình ở F1 là : 85% cây hoa đỏ : 15% cây hoa trắng = 17 cây hoa đỏ : 3 cây hoa trắng.
d. Nếu P giao phấn ngẫu nhiên thì tỉ lệ cây hoa trắng =
→ Kiểu hình hoa đỏ =
→ Tỉ lệ kiểu hình là: 15 cây hoa đỏ : 1 cây hoa trắng.
e. Bắt đầu từ F2, các cá thể giao phấn ngẫu nhiên thì tỉ lệ kiểu hình cũng giống như P giao phấn ngẫu nhiên.
→ Tỉ lệ kiểu hình là: 15 cây hoa đỏ : 1 cây hoa trắng.
Bài 33: Một quần thể ngẫu phối đang ở trạng thái cân bằng di truyền, xét 2 cặp gen Aa và Bb phân li độc lập, mỗi gen quy định một tính trạng và alen trội là trội hoàn toàn, trong đó có tần số alen A = 0,3; a = 0,7; B = 0,6; b = 0,4. Hãy xác định:
a. Số loại kiểu gen, số loại kiểu hình của quần thể.
b. Trong quần thể, loại kiểu hình có 1 tính trạng trội, một tính trạng lặn chiếm tỉ lệ bao nhiêu?
c. Trong quần thể, cá thể thuần chủng chiếm tỉ lệ bao nhiêu?
d. Trong quần thể, cá thể dị hợp 1 cặp gen chiếm tỉ lệ bao nhiêu?
e. Trong các kiểu gen của quần thể, loại kiểu gen nào chiếm tỉ lệ cao nhất?
g. Trong các kiểu gen của quần thể, loại kiểu gen nào chiếm tỉ lệ thấp nhất?
h. Lấy ngẫu nhiên 1 cá thể có mang 2 tính trạng trội, xác suất thu được cá thể thuần chủng là bao nhiêu?
i. Lấy ngẫu nhiên 1 cá thể mang kiểu hình A-bb, xác suất thu được cá thể thuần chủng là bao nhiêu?
k. Lấy ngẫu nhiên 1 cá thể, xác suất thu được cá thể dị hợp 2 cặp gen là bao nhiêu?
Hướng dẫn giải
a. - Vì quần thể có 2 cặp gen phân li độc lập cho nên số loại kiểu gen = 9.
- Mỗi gen quy định một tính trạng và trội hoàn toàn cho nên với 2 cặp gen thì sẽ có số loại kiểu hình = 4.
A = 0,3; a = 0,7; B = 0,6; b = 0,4.
b. Loại kiểu hình có một tính trạng trội, một tính trạng lặn gồm A-bb và aaB-.
Kiểu hình A-bb có tỉ lệ = (1 - aa) × bb = (1 - 0,49) × 0,16 = 0,0816 = 8,16%.
Kiểu hình aaB- có tỉ lệ = aa × (1 - bb) = 0,49 × (1 - 0,16) = 0,4116 = 41,16%.
→ Loại kiểu hình có một tính trạng trội và một tính trạng lặn chiếm tỉ lệ: 8,16% + 41,16% = 49,32%.
c. Cá thể thuần chủng có tỉ lệ:
(1 - Aa) × (1 - Bb) = (1 -0,42) × (1 - 0,48) = 0,3016 = 30,16%.
d. Cá thể dị hợp một cặp gen gồm có 2 trường hợp về gen A, dị hợp gen B và đồng hợp gen B, dị hợp gen A.
- Đồng hợp gen A, dị hợp gen B có tỉ lệ = (1 - Aa) × Bb = (l - 0,42) × 0,48 = 0,2784.
- Đồng hợp gen B, dị hợp gen A có tỉ lệ = Aa × (l - Bb) = 0,42 × (l - 0,48) = 0,2184.
→ Tỉ lệ kiểu hình dị hợp một cặp gen = 0,2784 + 0,2184 = 0,4968 = 49,68%.
e. Muốn biết kiểu gen nào có tỉ lệ cao nhất thì phải xét từng cặp gen:
Ở các kiểu gen của gen A. Vì A = 0,3 cho nên kiểu gen aa có tỉ lệ lớn hơn kiểu gen AA và lớn hơn Aa.
Ở các kiểu gen của gen B. Vì B = 0,6 cho nên kiểu gen Bb có tỉ lệ lớn hơn kiểu gen BB và lớn hơn bb.
→ Kiểu gen aaBb là kiểu gen có tỉ lệ lớn nhất.
g. Lấy ngẫu nhiên 1 cá thể mang 2 tính trạng trội, xác suất thu được cá thể thuần chủng là:
h. Lấy ngẫu nhiên 1 cá thể mang kiểu hình A-bb, xác suất thu được cá thể thuần chủng là:
i. Lấy ngẫu nhiên 1 cá thể, xác suất thu được cá thể dị hợp 2 cặp gen là
Bài 34: Ở người, A quy định tóc quăn trội hoàn toàn so với a quy định tóc thẳng. Một quần thể đang cân bằng di truyền có 36% số người mang alen a. Hãy xác định:
a. Tần số alen A, a của quần thể.
b. Xác suất sinh con tóc thẳng của cặp vợ chồng có tóc quăn?
c. Xác suất sinh con tóc quăn của cặp vợ chồng có tóc quăn?
d. Vợ có tóc quăn, chồng có tóc thẳng, xác suất sinh con đầu có tóc xoăn?
Hướng dẫn giải
a. Quần thể đạt trạng thái cân bằng di truyền có 36% số người mang alen a (Aa +aa) nên sẽ có 64% AA.
Do đó, ta có tần số A =
nên a = l - 0,8 = 0,2.
Vậy, tần số alen A, a của quần thể là 0,8A; 0,2a.
b. Cấu trúc của quần thể là: 0,64AA : 0,32Aa : 0,04aa.
Vợ chồng có tóc quăn: Bố (0,64AA : 0,32Aa) × Mẹ (0,64AA : 0,32Aa)
→ Bố
Để sinh con tóc thẳng thì bố và mẹ đều phải có kiểu gen Aa.
→ Xác suất sinh con tóc thẳng =
c. Từ câu b ta suy ra:
Xác suất sinh con tóc xoăn =
d. Vợ tóc xoăn
× chồng tóc thẳng (100% aa)
Xác suất sinh con tóc thẳng =
Xác suất sinh con tóc xoăn =
2. Bài tập trắc nghiệm
Câu 1: Ở một quần thể thực vật lưỡng bội, gen A nằm trên nhiễm sắc thể thường có 10 alen. Biết không xảy ra đột biến, theo lí thuyết có bao nhiêu phát biểu sau đây đúng:
I. Quần thể có tối đa 10 kiểu gen đồng hợp.
II. Quần thể có tối đa 90 kiểu gen dị hợp.
III. Quần thể có tối đa 55 kiểu gen về gen A.
IV. Quần thể có tối đa 100 kiểu gen về gen A.
A. 1 B. 2 C. 3 D. 4
Hướng dẫn giải
Số loại kiểu gen đồng hợp = 10 kiểu gen => I. đúng.
Số loại kiểu gen dị hợp =
=> II. sai.
Số loại kiểu gen =
=> III. đúng.
Số loại kiểu gen =
=> IV. sai.
=> Đáp án B
Câu 2: Gen A có 12 alen. Biết không xảy ra đột biến, theo lí thuyết có bao nhiêu phát biểu sau đây đúng:
I. Gen A nằm trên NST X mà không có alen trên Y thì số loại kiểu gen tối đa trong quần thể là 90 kiểu gen.
II. Gen A nằm trên NST Y mà không có alen trên X thì số loại kiểu gen tối đa trong quần thể là 13 kiểu gen.
III. Gen A nằm trên NST X và Y ở đoạn tương đồng thì số loại kiểu gen tối đa trong quần thể là 222 kiểu gen.
IV. Gen A nằm trên nhiễm sắc thể thường thì số loại kiểu gen tối đa trong quần thể là 78 kiểu gen.
A. 1 B. 2 C. 3 D. 4
Hướng dẫn giải
- Gen A nằm trên NST X mà không có alen trên Y.
Áp dụng công thức tính số loại kiểu gen khi gen nằm trên NST X, ta có:
Gen A có 12 alen thì số loại kiểu gen:
kiểu gen => I. đúng.
- Gen A nằm trên NST Y mà không có alen trên X.
Áp dụng công thức tính số loại kiểu gen khi gen nằm trên NST Y, ta có:
Gen A có 12 alen thì số loại kiểu gen = 12+1 = 13 kiểu gen à II. đúng.
- Gen A nằm trên NST X và Y ở đoạn tương đồng.
Áp dụng công thức tính số loại kiểu gen khi gen nằm trên vùng tương đồng của NST giới tính X và Y, ta có:
Gen A có 12 alen thì số loại kiểu gen:
kiểu gen => III. đúng.
Gen A nằm trên nhiễm sắc thể thường thì số loại kiểu gen tối đa trong quần thể là 12×(12+l)/2 = 78 kiểu gen => IV. đúng.
=> Đáp án D.
Câu 3: Ở một quần thể của một loài động vật, gen A nằm trên NST X (không có alen trên Y) có 7 alen; Gen B nằm trên NST Y (không có alen trên X) có 5 alen. Trong trường hợp không có đột biến mới, số loại kiểu gen tối đa về hai gen A và B trong quần thể là:
A. 28 B. 35 C. 63 D. 78
Hướng dẫn giải
Khi gen nằm trên NST giới tính thì số loại kiểu gen được tính theo từng giới, sau đó cộng lại. |
- Ở giới XX, chỉ có gen A mà không có gen B.
Số loại kiểu gen ở giới XX =
kiểu gen.
- Ở giới XY, trên NST X có gen A, trên NST Y có gen B.
Số loại kiểu gen ở XY = 5 × 7 = 35 kiểu gen.
- Tổng số kiểu gen ở cả hai giới = 28 + 35 = 63 kiểu gen => Đáp án C.
Câu 4: Một quần thể thực vật, A quy định hoa đỏ trội hoàn toàn so với a quy định hoa trắng. Thế hệ xuất phát có tỉ lệ kiểu hình 19 cây hoa đỏ : 1 cây hoa trắng. Qua 2 thế hệ ngẫu phối, ở F2, có tỉ lệ kiểu hình 3 cây hoa đỏ : 1 cây hoa trắng. Biết không xảy ra đột biến, có bao nhiêu phát biểu sau đây đúng?
I. Tần số alen A, a của thế hệ P là 0,5A; 0,5a.
II. Tần số kiểu gen ở thế hệ P là 0,05AA : 0,9Aa : 0,05aa
III. Tỉ lệ kiểu hình ở F1 là 3 hoa đỏ: 1 hoa trắng
IV. Nếu P tự thụ phấn thì tỉ lệ kiểu hình ở F2 sẽ là 61,25% đỏ : 38,75% trắng
V. Nếu bắt đầu từ F2, các cá thể tự thụ phấn thì tỉ lệ kiểu hình ở F5 sẽ là 17 đỏ : 15 trắng
A. 2 B. 3 C. 4 D. 5
Hướng dẫn giải
Có 5 phát biểu đúng. => Đáp án D.
I. Qua 2 thế hệ ngẫu phối ở F2, quần thể đạt trạng thái cân bằng di truyền và kiểu hình hoa trắng (aa) =
Do đó, ta có tần số a =
= 0,5 nên A = l - 0,5 = 0,5.
Vì quá trình sinh sản không làm thay đổi tần số alen của quần thể, do đó tần số alen ở thế hệ P là: A = 0,5; a = 0,5 => Đúng.
II. Gọi x là kiểu gen Aa ở thế hệ P.
Tần số kiểu gen ở thế hệ P là: 0,95A- : 0,05aa 1 <=> (0,95-x)AA : xAa : 0,05aa.
Dựa vào tần số alen để suy ra tần số kiểu gen ở thế hệ P.
Tần số a =
=> x = 0,9.
Tần số kiểu gen ở thế hệ p là 0,05AA : 0,9Aa : 0,05aa => Đúng.
III. Vì đây là quần thể ngẫu phối cho nên, từ thế hệ F1 trở đi, tần số kiểu gen được duy trì ổn định theo công thức của định luật Hacđi-Vanbec.
=> Tần số kiểu gen ở F1 là 0,25AA : 0,5Aa : 0,25aa.
Nên tỉ lệ kiểu hình ở F1 là 3 hoa đỏ: 1 hoa trắng àĐúng.
IV. Nếu P tự thụ phấn thì tỉ lệ kiểu gen ở F2 sẽ là: Aa =
=> Kiểu gen aa =
=> Ở F2, cây hoa trắng (aa) chiếm tỉ lệ = 0,3875=38,75%. => Cây hoa đỏ (A-) chiếm tỉ lệ = 100% - 38,75% = 61,25% => Đúng.
(5) Tỉ lệ kiểu gen ở F2 là 0,25AA : 0,5Aa : 0,25aa. Do đó, khi F2 tự thụ phấn thì tỉ lệ kiểu hình ở F5 sẽ là:
Cây hoa trắng (aa) có tỉ lệ =
=> Cây hoa đỏ (A-) có tỉ lệ =
=> Tỉ lệ kiểu hình ở F5 là:
cây hoa đỏ :
cây hoa trắng => Đúng.
Câu 5: Một quần thể giao phối ngẫu nhiên có cấu trúc di truyền ở thế hệ xuất phát (P) là 0,16AA : 0,48Aa : 0,36aa. Giả sử do khí hậu thay đổi nên các cá thể aa đều bị chết ở giai đoạn con non. Nếu không phát sinh đột biến mới, không có di nhập gen thì ở thế hệ F5, tần số alen a ở thế hệ trưởng thành là
A. 3/23 B. 1/8 C. 3/8 D. 3/4
Hướng dẫn giải
Đáp án A.
Ở thế hệ P tỉ lệ kiểu hình sống sót đến tuổi sinh sản là
Ở thế hệ P, tần số a =
Ở thế hệ F5, tần số a =
Câu 6: Một quần thể ngẫu phối đang ở trạng thái cân bằng di truyền, xét 2 cặp gen Aa và Bb phân li độc lập, mỗi gen quy định một tính trạng và trội hoàn toàn, trong đó có tần số alen A = 0,2; a = 0,8; B = 0,6; b = 0,4. Biết không xảy ra đột biến, theo lí thuyết có bao nhiêu phát biểu sau đây đúng?
I. Có 9 loại kiểu gen, 2 loại kiểu hình của quần thể.
II. Trong quần thể, loại kiểu hình có 1 tính trạng trội, một tính trạng lặn chiếm tỉ lệ 5,76%.
III. Trong quần thể, cá thể thuần chủng chiếm tỉ lệ 35,36%.
IV. Trong quần thể, cá thể dị hợp 1 cặp gen chiếm tỉ lệ 49,28%.
A. 1 B. 2 C. 3 D. 4
Hướng dẫn giải
Chỉ có 2 phát biểu đúng, đó là III và IV. => Đáp án B.
I. - Vì quần thể có 2 cặp gen phân li độc lập cho nên số loại kiểu gen = 9.
- Mỗi gen quy định một tính trạng và trội hoàn toàn cho nên với 2 cặp gen thì sẽ có số loại kiểu hình = 4 => Sai.
II. Loại kiểu hình có một tính trạng trội, một tính trạng lặn gồm A-bb và aaB-.
Kiểu hình A-bb có tỉ lệ = (1 - aa) × bb = (1 - 0,64) × 0,16 = 0,0576 = 5,76%.
Kiểu hình aaB- có tỉ lệ = aa × (1 - bb) = 0,64 × (1 - 0,16) = 0,5376 = 53,76%.
Loại kiểu hình có một tính trạng trội và một tính trạng lặn chiếm tỉ lệ:
5,76% + 53,76% = 59,52% => Sai
III. Cá thể thuần chủng có tỉ lệ:
(1 - Aa) × (1 - Bb) = (1 - 0,32) × (1 - 0,48) = 35,36% => Đúng.
IV. Cá thể dị hợp một cặp gen chiếm tỉ lệ: (1 - Aa) × Bb + Aa × ( 1- Bb)
= (1 - 0,32) × 0,48 + 0,32 × (1 - 0,48) = 49,28% => Đúng.
Câu 7: Một loài thực vật, tính trạng màu sắc quả do 2 cặp gen Aa và Bb phân li độc lập tương tác bổ sung quy định. Khi trong kiểu gen có cả gen A và B thì quy định quả đỏ, chỉ có A hoặc B thì quy định quả vàng, không có A và B thì quy định quả xanh. Một quần thể đang cân bằng di truyền có tần số A = 0,3 và B = 0,6. Biết không xảy ra đột biến, theo lí thuyết có bao nhiêu phát biểu sau đây đúng?
I. Số loại kiểu gen của quần thể là 9 kiểu gen
II. Tỉ lệ kiểu hình của quần thể 42,84% vàng : 49,32% đỏ : 7,84% xanh.
III. Trong quần thể, loại kiểu gen chiếm tỉ lệ cao nhất là AaBb.
IV. Lấy ngẫu nhiên một cây quả vàng, xác suất thu được cây thuần chủng là 53/137.
V. Lấy ngẫu nhiên một cây quả đỏ, xác suất thu được cây thuần chủng là 9/119.
A. 3 B. 2 C. 4 D. 5
Hướng dẫn giải
Chỉ có 3 phát biểu đúng, đó là I, IV và V. => Đáp án A.
I. Vì quần thể có 2 cặp gen phân li độc lập cho nên số loại kiểu gen = 9 => Đúng.
II. Kiểu hình quả đỏ (A-B-) có tỉ lệ:
(1 - aa) × (1 _ bb) = (1 - 0,49) × (1 - 0,16) = 0,4284 = 42,84%.
Kiểu hình quả xanh (aabb) = 0,49 × 0,16 = 7,84%
Kiểu hình quả vàng = 100% - (42,84% +7,84%) = 49,32%
=> Tỉ lệ kiểu hình: 42,84% đỏ : 49,32% vàng : 7,84% xanh => Sai.
III. Muốn biết kiểu gen nào có tỉ lệ cao nhất thì phải xét từng cặp gen:
Ở các kiểu gen của gen A. Vì A = 0,3 cho nên kiểu gen aa có tỉ lệ lớn hon kiểu gen AA và lớn hơn Aa.
Ở các kiểu gen của gen B. Vì B = 0,6 cho nên kiểu gen Bb có tỉ lệ lớn hơn kiểu gen BB và lớn hơn bb.
=> Kiểu gen aaBb là kiểu gen có tỉ lệ lớn nhất à III sai.
IV. Lấy ngẫu nhiên một cây quả vàng, xác suất thu được cây thuần chủng:
=> IV. Đúng.
V. Lấy ngẫu nhiên một cây quả đỏ, xác suất thu được cây thuần chủng:
=> (5) đúng.
Câu 8: Một loài thực vật, tính trạng màu sắc quả do 2 cặp gen Aa và Bb phân li độc lập tương tác bổ sung quy định. Khi trong kiểu gen có cả gen A và B thì quy định quả đỏ, chỉ có A hoặc B thì quy định quả vàng, không có A và B thì quy định quả xanh.
Một quần thể đang cân bằng di truyền có tần số A = 0,9; B = 0,3. Biết không xảy ra đột biến, theo lí thuyết có bao nhiêu phát biểu sau đây đúng?
I. Tỉ lệ kiểu hình của quần thể là 50,49% đỏ : 49,02% vàng : 0,49% xanh
II. Trong quần thể, loại kiểu gen chiếm tỉ lệ cao nhất là AAbb.
III. Lấy ngẫu nhiên một cây quả vàng, xác suất thu được cây thuần chủng là 663/817.
IV. Lấy ngẫu nhiên một cây quả đỏ, xác suất thu được cây thuần chủng là 27/187
A. 1 B. 3 C. 2 D. 3
Hướng dẫn giải
Cả 4 phát biểu đúng => Đáp án D.
I. Kiểu hình quả đỏ (A-B-) có tỉ lệ:
(1 - aa) × (1 - bb) = (1 - 0,01) × (1 - 0,49) = 0,5049 = 50,49%.
Kiểu hình quả xanh (aabb) = 0,01 × 0,49 = 0,0049 = 0,49%.
Kiểu hình quả vàng = 100% - (50,49% + 0,49%) = 49,02%
=> Tỉ lệ kiểu hình: 50,49% đỏ : 49,02% vàng : 0,49% xanh => II. đúng.
II. Muốn biết kiểu gen nào có tỉ lệ cao nhất thì phải xét từng cặp gen:
Ở các kiểu gen của gen A. Vì A = 0,9 cho nên kiểu gen AA có tỉ lệ lớn hơn kiểu gen Aa và lớn hơn aa.
Ở các kiểu gen của gen B. Vì B = 0,3 cho nên kiểu gen bb có tỉ lệ lớn hơn kiểu gen BB và lớn hơn Bb.
=> Kiểu gen AAbb là kiểu gen có tỉ lệ lớn nhất à II đúng.
III. Lấy ngẫu nhiên một cây quả vàng, xác suất thu được cây thuần chủng:
=> III đúng.
IV. Lấy ngẫu nhiên một cây quả đỏ, xác suất thu được cây thuần chủng:
=> IV đúng.
Câu 9: Ở người, tính trạng nhóm máu do 1 gen có 3 alen quy định, trong đó kiểu gen IAIA hoặc IAIO quy định nhóm máu A; kiểu gen IBIB hoặc IBIO quy định nhóm máu B; kiểu gen IAIB quy định nhóm máu AB; kiểu gen IOIO quy định nhóm máu O. Một quần thể đang ở trạng thái cân bằng di truyền có 32% số người mang nhóm máu A; 4% số người mang nhóm máu O. Biết không xảy ra đột biến, theo lí thuyết có bao nhiêu phát biểu sau đây đúng?
I. Tần số các alen 0,4IA; 0,2IB; 0,4IO.
II. Xác suất để người máu A có kiểu gen thuần chủng là 50%.
III. Người vợ có máu B, người chồng có máu A, xác suất để sinh con đầu lòng có máu O là 1/16.
IV. Người vợ có máu B, người chồng có máu A, xác suất để sinh con đầu lòng có máu AB là 3/16.
A. 1 B. 2 C. 3 D. 4
Hướng dẫn giải
Chỉ có 2 phát biểu đúng, đó là II và IV. => Đáp án B.
I. Tần số các alen:
- Có 4% người máu O => IO =
- Người máu A và máu O có tổng tỉ lệ = 32% + 4% = 36% = 0,36.
=> (IA + IO) =
.Vì tần số IO = 0,2 cho nên suy ra IA = 0,6 - 0,2 = 0,4.
- Vì tổng tần số của các alen IA + IB + IO = 1 => Tần số IB = 1 - 0,2 - 0,4 = 0,4.
Kết luận: Tần số của các alen là: 0,4IA; 0,4IB; 0,2IO => I. sai.
II. Xác suất để người máu A có kiểu gen thuần chủng:
=> II. Đúng
III. Người vợ có máu B, người chồng có máu A, xác suất để sinh con đầu lòng có máu O là bao nhiêu?
Người vợ có máu B sẽ có giao tử IO với tần số =
Người chồng có máu A sẽ có giao tử IO với tần số =
à Xác suất sinh con có máu O =
=> Đúng.
IV. Người vợ có máu B, người chồng có máu A, xác suất để sinh con đầu lòng có máu AB là bao nhiêu?
Người vợ có máu B sẽ có giao tử IB với tần số =
Người chồng có máu A sẽ có giao tử IA với tần số =
à Xác suất sinh con có máu AB =
=> Sai
Câu 10: Ở người, tính trạng nhóm máu do 1 gen có 3 alen quy định, trong đó kiểu gen IAIA hoặc IAIO quy định nhóm máu A; kiểu gen IBIB hoặc IBIO quy định nhóm máu B; kiểu gen IAIB quy định nhóm máu AB; kiểu gen IOIO quy định nhóm máu O. Một quần thể đang ở trạng thái cân bằng di truyền có 7% số người mang nhóm máu A; 9% số người mang nhóm máu O. Biết không xảy ra đột biến, theo lí thuyết có bao nhiêu phát biểu sau đây đúng?
I. Một cặp vợ chồng đều có máu A, xác suất để sinh con đầu lòng có máu O là 9/49.
II. Người vợ có máu B, người chồng có máu A, xác suất để sinh con đầu lòng có máu O là 3/28.
III. Người vợ có máu B, người chồng có máu A, xác suất để sinh con đầu lòng có máu AB là 3/7.
IV. Người vợ có máu B, người chồng có máu A, xác suất để sinh con đầu lòng có máu A là 1/7.
A. 1 B. 2 C. 3 D. 4
Hướng dẫn giải
Cả 4 phát biểu đúng => Đáp án D.
I. Một cặp vợ chồng đều có máu A, xác suất để sinh con đầu lòng có máu O là bao nhiêu?
Người máu A có kiểu gen IAIA hoặc IAIO. Ở quần thể này, tần sổ các kiểu gen là:
=> Người có máu A có giao tử IO với tần số = 
- Xác suất để đứa con đầu lòng có máu O của cặp vợ chồng đều có máu A:
=> Đúng.
II. Người vợ có máu B, người chồng có máu A, xác suất để sinh con đầu lòng có máu O là bao nhiêu?
Người vợ có máu B sẽ có giao tử IO với tần số =
Người chồng có máu A sẽ có giao tử IO với tần số =
=> Xác suất sinh con có máu O =
=> Đúng.
III. Người vợ có máu B, người chồng có máu A, xác suất để sinh con đầu lòng có máu AB là bao nhiêu?
Người vợ có máu B sẽ có giao tử IB với tần số =
Người chồng có máu A sẽ có giao tử IA với tần số =
=> Xác suất sinh con có máu AB =
=> Đúng.
IV. Người vợ có máu B, người chồng có máu A, xác suất để sinh con đầu lòng có máu A là bao nhiêu?
Người vợ có máu B sẽ có giao tử IO với tần số =
Người chồng có máu A sẽ có giao tử IA với tần số =
=> Xác suất sinh con có máu A =
=> Đúng.
Câu 11: Một quần thể động vật giao phối, màu sắc cánh do 1 gen gồm 5 alen nằm trên nhiễm sắc thể thường quy định. Trong đó, alen A1 quy định cánh đen trội hoàn toàn so với alen A2, alen A3, A4 và alen A5; Alen A2 quy định cánh xám trội hoàn toàn so với alen A3, A4 và alen A5; Alen A3 quy định cánh tím trội hoàn toàn so với alen A4 và alen A5. Alen A4 quy định cánh vàng trội hoàn toàn so với alen A5 quy định cánh trắng. Một quần thể đang ở trạng thái cân bằng di truyền có 51% con cánh đen; 13% con cánh xám; 20% con cánh tím; 12% con cánh vàng; 4% con cánh trắng. Biết không xảy ra đột biến. Hãy xác định:
I. Tần số các alen Al, A2, A3, A4, A5 là 0,3A1, 0,1A2, 0,2A3, 0,2A4, 0,2A5.
II. Cá thể cánh xám dị hợp chiếm tỉ lệ là 12%.
III. Lấy ngẫu nhiên 1 cá thể cánh đen, xác suất thu được cá thể thuần chủng là 3/7.
IV. Nếu chỉ có các cá thể cánh xám giao phối ngẫu nhiên thì sẽ thu được đời con có tỉ lệ kiểu hình là 133 xám : 20 tím : 12 vàng : 4 trắng.
A. 1 B. 2 C. 3 D. 4
Hướng dẫn giải
Cả 4 phát biểu đúng => Đáp án D.
I. Tần số các alen Al, A2, A3, A4, A5.
Quần thể đang cân bằng di truyền và có 4% con cánh trắng => A5 =
Tổng tỉ lệ cá thể cánh trắng + tỉ lệ cá thể cánh vàng = 4% + 12% = 16% = 0,16.
=> A5 + A4 =
. Vì A5 = 0,2. => A4 = 0,4 - 0,2 = 0,2.
Tổng tỉ lệ cá thể cánh trắng + tỉ lệ cá thể cánh vàng + cánh tím = 4% + 12% + 20% = 36% = 0,36.
=> A5 + A4 + A3 =
Vì A5 = 0,2, A4 = 0,2. => A3 = 0,6 - (0,2 + 0,2) = 0,2.
Tổng tỉ lệ cá thể cánh trắng + tỉ lệ cá thể cánh vàng + cánh tím + cánh xám = 4% + 12% + 20% + 13% = 49% = 0,49.
=> A5 + A4 + A3 + A2 = 
Vì A5 = 0,2, A4 = 0,2, A3 =0,2 => A2 = 0,7 - (0,2 + 0,2 + 0,2) = 0,1.
=> Tần số alen Al = 1 - (0,2 + 0,2 + 0,2 + 0,1) = 0,3.
Vậy, tần số các alen là 0,3A1, 0,1A2, 0,2A3, 0,2A4, 0,2A5 => Đúng.
II. Cá thể cánh xám dị hợp chiếm tỉ lệ bao nhiêu?
Cá thể cánh xám dị hợp = tỉ lệ cá thể cánh xám - tỉ lệ cá thể cánh xám đồng hợp = 0,13 - (0,1)2 = 0,12 = 12% => Đúng.
III. Lấy ngẫu nhiên 1 cá thể cánh đen, xác suất thu được cá thể thuần chủng là:
=> Đúng
IV. Nếu chỉ có các cá thể cánh xám giao phối ngẫu nhiên thì sẽ thu được đời con có tỉ lệ kiểu hình là bao nhiêu?
Các kiểu gen quy định cánh xám gồm A2A2, A2A3, A2A4, A2A5 với tỉ lệ là:
= 0,01A2A2 : 0,04A2A3 : 0,04A2A4: 0,04A2A5
=> Các cá thể lông xám trở thành một quần thể mới với tỉ lệ kiểu gen là:
=> Giao tử A5 = 
=> Khi các cá thể cánh xám giao phối ngẫu nhiên thì sẽ thu được đời con có kiểu hình cánh trắng (A5A5) chiếm tỉ lệ =
=> Khi các cá thể cánh xám giao phối ngẫu nhiên thì sẽ thu được đời con có kiểu hình cánh vàng (A4A4 + A4A5) chiêm tỉ lệ =
=> Khi các cá thể cánh xám giao phối ngẫu nhiên thì sẽ thu được đời con có kiểu hình cánh tím (A3A3 + A3A4 + A3A5) chiếm tỉ lệ:
=> Cá thể cánh xám có tỉ lệ =
=> Đời con có tỉ lệ kiểu hình là: 133 xám : 20 tím : 12 vàng : 4 trắng => Đúng.
Câu 12: Ở người, tính trạng nhóm máu do 1 gen có 3 alen quy định, trong đó kiểu gen IAIA hoặc IAIO quy định nhóm máu A; kiểu gen IBIB hoặc IBIO quy định nhóm máu B; kiểu gen IAIB quy định nhóm máu AB; kiểu gen IOIO quy định nhóm máu O. Một quần thể đang ở trạng thái cân bằng di truyền có 16% số người mang nhóm máu B; 9% số người mang nhóm máu O. Biết không xảy ra đột biến, theo lí thuyết có bao nhiêu phát biểu sau đây đúng?
I. Tần số các alen là 0,5IA; 0,2IB; 0,3IO
II. Xác suất để người máu A có kiểu gen thuần chủng là 5/11.
III. Xác suất để người máu B có kiểu gen thuần chủng là 1/4.
IV. Một cặp vợ chồng đều có máu B, xác suất để sinh con đầu lòng có máu O là 9/64.
A. 1 B. 2 C. 3 D. 4
Hướng dẫn giải
|
- Đối với quần thể của gen có nhiều alen. Khi quần thể đang ở trạng thái cân bằng di truyền thì tần số alen được tính từ alen lặn nhất đến alen trội nhất. - Tổng kiểu hình máu A (IAIA + IAIO) và máu O (IOIO) tạo thành một nhóm cân bằng. Vì tổng tỉ lệ của kiểu hình máu A và máu O là: (IAIA + 2.IAIO + IOIO)2 = (IA + IO)2. - Sau khi tìm được tần số alen thì mới tiến hành làm các nội dung theo yêu cầu của bài toán. |
Cả 4 phát biểu đúng => Đáp án D.
I. Tần số các alen:
- Có 9% người máu O => IO =
- Người máu B và máu O có tổng tỉ lệ = 26% + 9% = 25% = 0,25.
=> (IB + IO) =
. Vì tần số IO = 0,3 cho nên suy ra IB = 0,5 - 0,3 = 0,2.
- Vì tổng tần số của các alen IA + IB + IO = 1 => Tần số IA = 1 - 0,2 - 0,3 = 0,5.
Kết luận: Tần số của các alen là 0,5IA; 0,2IB; 0,3IO => Đúng.
II. Xác suất để người máu A có kiểu gen thuần chủng:
=> Đúng
III. Xác suất đế người máu B có kiểu gen thuần chủng là:
=> Đúng
IV. Một cặp vợ chồng đều có máu B, xác suất để sinh con đầu lòng có máu O là bao nhiêu?
Người máu B có kiểu gen IBIB hoặc IBIO. Ở quần thể này, tần số các kiểu gen là:
=> Người có máu B có giao tử IO với tần số =
- Xác suất để đứa con đầu lòng có máu O của cặp vợ chồng đều có máu B.
=> Đúng
Câu 13: Một quần thể động vật giao phối, màu sắc cánh do 1 gen gồm 3 alen nằm trên nhiễm sắc thể thường quy định. Trong đó, alen A1 quy định cánh đen trội hoàn toàn so với alen A2 và alen A3; Alen A2 quy định cánh xám trội hoàn toàn so với alen A3 quy định cánh trắng. Một quần thể đang ở trạng thái cân bằng di truyền có 75% con cánh đen; 21% con cánh xám; 4% con cánh trắng. Biết không xảy ra đột biến, theo lí thuyết có bao nhiêu phát biểu sau đây đúng?
I. Tần số các alen Al, A2, A3 là 0,5A1, 0,3A2, 0,2A3.
II. Cá thể cánh đen dị hợp chiếm tỉ lệ là 50%
III. Lấy ngẫu nhiên 1 cá thể cánh xám, xác suất thu được cá thể thuần chủng là 3/7.
IV. Nếu chỉ có các cá thể cánh xám giao phối ngẫu nhiên thì sẽ thu được đời con có tỉ lệ kiểu hình là 45 xám : 4 trắng.
A. 1 B. 2 C. 3 D. 4
Hướng dẫn giải
|
Theo thứ tự từ lặn đến trội, tổng tỉ lệ của các kiểu hình đều trở thành các nhóm cân bằng di truyền. Ở bài toán này, tỉ lệ con cánh trắng + tỉ lệ con cánh xám = (A3 + A2)2. |
Cả 4 phát biểu đúng → Đáp án D.
I. Tần số các alen Al, A2, A3
Quần thể đang cân bằng di truyền và có 4% con cánh trắng
→ A3 =
Tổng tỉ lệ cá thể cánh trắng + tỉ lệ cá thể cánh xám = 4% + 21% = 25% = 0,25.
→ A3 + A2 =
. Vì A3 = 0,2. → A2 = 0,5 - 0,2 = 0,3.
→ Tần số alen Al = 1 - 0,2 - 0,3 = 0,5.
Vậy, tần số các alen là 0,5A1, 0,3A2, 0,2A3 → Đúng.
II. Cá thể cánh đen dị hợp chiếm tỉ lệ bao nhiêu?
Cá thể cánh đen dị hợp = tỉ lệ cá thể cánh đen - tỉ lệ cá thể cánh đen đồng hợp:
0,75 - (0,5)2 = 0,5 = 50% → Đúng.
III. Lấy ngẫu nhiên 1 cá thể cánh xám, xác suất thu được cá thể thuần chủng là:
→ Đúng
IV. Nếu chỉ có các cá thể cánh xám giao phối ngẫu nhiên thì sẽ thu được đời con có tỉ lệ kiểu hình là bao nhiêu?
Trong số các cá thể cánh xám của thuần chủng, có A2A2 và A2A3 với tỉ lệ là:
0,09 A2A2 và 0,12 A2A3
→ Các cá thể lông xám trở thành một quần thể mới với tỉ lệ kiểu gen là:
→ Giao tử A3 =
→ Khi các cá thể cánh xám giao phối ngẫu nhiên thì sẽ thu được đời con có kiểu hình cánh trắng chiếm tỉ lệ =
→ Cá thể cánh xám có tỉ lệ =
→ Đời con có tỉ lệ kiểu hình là: 45 cá thể cánh xám: 4 cá thể cánh trắng → Đúng.
Câu 14: Một quần thể động vật giao phối, màu sắc cánh do 1 gen gồm 3 alen nằm trên nhiễm sắc thể thuờng quy định. Trong đó, alen A1 quy định cánh đen trội hoàn toàn so với alen A2 và alen A3; Alen A2 quy định cánh xám trội hoàn toàn so với alen A3 quy định cánh trắng. Một quần thể đang ở trạng thái cân bằng di truyền có 51% con cánh đen; 40% con cánh xám; 9% con cánh trắng. Biết không xảy ra đột biến. Biết không xảy ra đột biến, theo lí thuyết có bao nhiêu phát biểu đúng?
I. Nếu chỉ có các cá thể cánh đen giao phối ngẫu nhiên thì sẽ thu được đời con có số cá thể cánh xám thuần chủng chiếm tỉ lệ là 16/289.
II. Nếu chỉ có các cá thể cánh đen giao phối ngẫu nhiên thì sẽ thu được đời con có số cá thể cánh đen thuần chủng chiếm tỉ lệ là 100/289.
III. Nếu loại bỏ toàn bộ các cá thể cánh trắng, sau đó cho các cá thể còn lại giao phối ngẫu nhiên thì sẽ thu được đời con có số cá thể cánh đen thuần chủng chiếm tỉ lệ là 900/8281.
IV. Nếu loại bỏ toàn bộ các cá thể cánh xám, sau đó cho các cá thể còn lại giao phối ngẫu nhiên thì sẽ thu được đời con có số cá thể cánh xám thuần chủng chiếm tỉ lệ là 40%.
A. 1 B. 2 C. 3 D. 4
Hướng dẫn giải
Cả 4 phát biểu đúng → Đáp án D.
I. Nếu chỉ có các cá thể cánh đen giao phối ngẫu nhiên thì sẽ thu được đời con có số cá thể cánh xám thuần chủng chiếm tỉ lệ bao nhiêu?
Trong số các cá thể cánh đen của quần thể gồm có 3 kiểu gen là A1A1; A1A2; A1A3. Vì vậy, trong số các cá thể cánh đen thì tần số của A2 =
→ Nếu cho các cá thể cánh đen giao phối ngẫu nhiên thì ở đời con, cá thể cánh xám thuần chủng (A2A2) chiếm tỉ lệ =
→ Đúng.
II. Nếu chỉ có các cá thể cánh đen giao phối ngẫu nhiên thì sẽ thu được đời con có số cá thể cánh đen thuần chủng chiếm tỉ lệ bao nhiêu?
Trong số các cá thể cánh đen của quần thể gồm có 3 kiểu gen là A1A1; A1A2; A1A3.
Vì vậy, trong số các cá thể cánh đen thì tần số của A1:
Nếu cho các cá thể cánh đen giao phối ngẫu nhiên thì ở đời con, cá thể cánh đen thuần chủng (A1A1) chiếm tỉ lệ:
→ Đúng.
III. Nếu loại bỏ toàn bộ các cá thể cánh trắng, sau đó cho các cá thể còn lại giao phối ngẫu nhiên thì sẽ thu được đời con có số cá thể cánh đen thuần chủng chiếm tỉ lệ bao nhiêu?
Khi loại bỏ các cá thể cánh trắng thì quần thể gồm có A1A1; A1A2; A1A3; A2A2; A2A3
Vì vậy, trong số các cá thể còn lại thì tần số của A1 =
→ Cá thể cánh đen thuần chủng chiếm tỉ lệ =
→ Đúng
IV. Nếu loại bỏ toàn bộ các cá thể cánh xám, sau đó cho các cá thể còn lại giao phối ngẫu nhiên thì sẽ thu được đời con có số cá thể cánh xám thuần chủng chiếm tỉ lệ bao nhiêu?
Khi loại bỏ toàn bộ các cá thể cánh xám thì quần thể còn lại các kiểu gen A1A1; A1A2; A1A3; A3A3
Vì vậy, trong số các cá thể còn lại thì tần số của A2 =
→ Cá thể cánh xám thuần chủng chiếm tỉ lệ = (0,2)2 = 0,04 = 4% → Đúng.
Câu 15: Ở một loài thực vật, gen A quy định hoa đỏ trội hoàn toàn so với a quy định hoa trắng. Thế hệ xuất phát của một quần thể có tỉ lệ kiểu hình 4 hoa đỏ : 1 hoa trắng. Sau 2 thế hệ tự thụ phấn, tỉ lệ kiểu hình hoa trắng ở thế hệ F2 là 35%. Có bao nhiêu phát biểu sau đây đúng?
I. Quần thể có tỉ lệ kiểu gen đồng hợp tăng dần.
II. Tỉ lệ kiểu gen ở thế hệ xuất phát là 0,4AA : 0,4Aa : 0,2aa.
III. Sang thế hệ F3, kiểu gen AA chiếm tí lệ 57,5%.
IV. Nếu liên tục tự thụ phấn sau hàng trăm đời thì tỉ lệ kiểu hình sẽ là 3 hoa đỏ : 2 hoa trắng.
A. 1 B. 2 C. 3 D. 4
Hướng dẫn giải
Cả 4 phát biểu đúng → Đáp án D.
Thế hệ xuất phát có tỉ lệ kiểu hình 4 hoa đỏ : 1 hoa trắng → 0.8A- và 0,2aa.
Gọi tỉ lệ kiểu gen Aa ở thế hệ xuất phát là x
Thì cấu trúc di truyền ở thế hệ xuất phát là (0,8-x)AA + xAa + 0,2aa = 1.
Ở thế hệ F2, kiểu hình hoa trắng có tỉ lệ =
→ Tỉ lệ kiểu hình ở thế hệ xuất phát là 0,4AA : 0,4Aa : 0,2aa. → II. đúng.
Quần thể tự thụ phấn nên tỉ lệ kiểu gen đồng hợp tăng dần. → I. đúng.
Ở F3, kiểu gen AA có tỉ lệ =
→ III. đúng.
Nếu tiếp tục tự thụ phấn hàng trăm đời thì kiểu gen Aa = 0.
Khi đó cây hoa trắng có tỉ lệ =
Cây hoa đỏ có tỉ lệ =
→ Tỉ lệ kiểu hình 0,6 đỏ : 0,4 trắng = 3 đỏ : 2 trắng. → IV. đúng.
Câu 16: Tính trạng chiều cao cây của một loài thực vật do 3 cặp gen Aa, Bb, Dd nằm trên 3 cặp NST khác nhau và tương tác theo kiểu cộng gộp. Khi trong kiểu gen có thêm 1 alen trội thì cây cao thêm 10 cm; cây đồng hợp gen lặn có chiều cao 100cm. Một quần thể của loài cây này có 3 cặp gen nói trên đang cân bằng về di truyền, trong đó tần số các alen A, B, D lần lượt là 0,2; 0,3; 0,5. Biết không xảy ra đột biến, theo lí thuyết, loại cây có độ cao 120cm chiếm tỉ lệ là
A. 0,49% B. 1,93% C. 9,77% D. 34,41%
Hướng dẫn giải
Cây cao 120cm (có 2 alen trội) gồm các kiểu gen
AAbbdd, aaBBdd, aabbDD, AaBbdd, AabbDd, aaBbDd = 0,04.0,49.0,25 + 0,64.0,09.0,25 + 0,64.0,49.0,25 + 0,32.0,42.0,25 + 0,32.0,49.0,5 + 0,64.0,42.0,5 = 34,41%.
→ Đáp án D.
Câu 17: Một quần thể ngẫu phối đang ở trạng thái cân bằng di truyền, xét 2 cặp gen Aa và Bb phân li độc lập, mỗi gen quy định một tính trạng và trội hoàn toàn, trong đó có tần số alen A = 0,7; a = 0,3; B = 0,4; b = 0,6. Theo lí thuyết, có bao nhiêu nhận xét sau đây đúng?
I. Quần thể này có 4 kiểu hình.
II. Trong các kiểu gen của quần thể, số cá thể có kiểu gen AaBb chiếm tỉ lệ cao nhất.
III. Quần thể này có 8 kiểu gen.
IV. Trong các kiểu gen của quần thể, số cá thể có kiểu gen aaBB chiếm tỉ lệ ít nhất.
A. 1 B. 2 C. 3 D. 4
Hướng dẫn giải
Có 2 phát biểu đúng, đó là I và IV. → Đáp án B.
I. đúng. Vì với 2 cặp gen, mỗi gen quy định một tính trạng và trội hoàn toàn thì quần thể sẽ có 4 loại kiểu hình.
II. sai. Vì trong 3 kiểu gen của gen A thì AA = 0,49 chiếm tỉ lệ cao nhất (Aa chiếm tỉ lệ trung bình); trong 3 kiểu gen của gen B thì Bb = 0,48 chiếm tỉ lệ cao nhất. Do đó kiểu gen AaBb không chiếm tỉ lệ cao nhất. (Kiểu gen sẽ có tỉ lệ cao nhất nếu từng cặp gen trong kiểu gen đó có tỉ lệ cao nhất). Kiểu gen chiếm tỉ lệ cao nhất là AABb.
III. sai. Vì quần thể này có 2 cặp gen phân li độc lập thì sẽ có 9 kiểu gen.
IV. đúng. Vì trong 3 kiểu gen của gen A thì aa = 0,09 chiếm tỉ lệ thấp nhất; trong 3 kiểu gen của gen B thì BB = 0,16 chiếm tỉ lệ thấp nhất. Do đó kiểu gen aaBB chiếm tỉ lệ thấp nhất. (Kiểu gen sẽ có tỉ lệ thấp nhất nếu từng cặp gen trong kiểu gen đó có tỉ lệ thấp nhất).
Câu 18: Ở một quần thể tự phối, alen A quy định hoa đỏ trội hoàn toàn so với alen a quy định hoa trắng. Thế hệ xuất phát (P) có 100% cây hoa đỏ, ở F3 có tỉ lệ kiểu hình: 33 cây hoa đỏ : 7 cây hoa trắng. Biết không xảy ra đột biến, theo lí thuyết có bao nhiêu phát biểu sau đây đúng?
I. Tỉ lệ kiểu gen ở thế hệ xuất phát (P) là 0,6AA : 0,4Aa.
II. Ở F1, kiểu gen Aa chiếm tỉ lệ 20%.
III. Ở F2, kiểu gen AA chiếm tỉ lệ 75%.
IV. Sau 3 thế hệ, tỉ lệ kiểu hình hoa trắng tăng thêm 17,5%
A. 1 B. 2 C. 3 D. 4
Hướng dẫn giải
Cả 4 phát biểu đều đúng. → Đáp án D.
I. Gọi x là tần số kiểu gen Aa ở thế hệ P.
Tần số kiểu gen ở P là (l-x)AA : xAa.
Theo công thức tính tần số kiểu gen ở quần thể tự phối, ta có:
Ở F3, cây hoa trắng (aa) có tỉ lệ =
Theo bài ra, ở F3 có tỉ lệ kiểu hình là 33 cây hoa đỏ : 7 cây hoa trắng.
→ Cây hoa trắng (aa) có tỉ lệ =
→ Tần số kiểu gen ở P là 0,6AA : 0,4Aa → Đúng.
II. Ở F1, kiểu gen Aa chiếm tỉ lệ =
→ Đúng.
III. Ở F2, kiểu gen AA chiếm tỉ lệ =
→ Đúng.
IV. Sau 3 thế hệ, kiểu hình hoa trắng tăng thêm so với P là:
→ Đúng.
Câu 19: Ở một quần thể tự phối, alen A quy định hoa đỏ trội hoàn toàn so với alen a quy định hoa trắng. Thế hệ xuất phát (P) có 100% cây hoa đỏ, ở F3 có tỉ lệ kiêu hình: 33 cây hoa đỏ : 7 cây hoa trắng. Biết không xảy ra đột biến, theo lí thuyết có bao nhiêu phát biểu sau đây đúng?
I. Tỉ lệ kiểu gen ở thế hệ xuất phát (P) là 0,6AA : 0,4Aa.
II. Đến thế hệ F4, kiểu hình hoa đỏ giảm đi 18,75%.
III. Đến thế hệ F5, kiểu gen đổng hợp tăng thêm 38,75%.
IV. Đến thế hệ F6, hiệu số giữa kiểu gen đồng hợp trội với kiểu gen đồng hợp lặn là 60%.
A. 1 B. 2 C. 3 D. 4
Hướng dẫn giải
Cả 4 phát biểu đều đúng. → Đáp án D.
I. Gọi x là tần số kiểu gen Aa ở thế hệ P. → Tần số kiểu gen ở p là (l-x)AA : xAa.
Theo công thức tính tần số kiểu gen ở quần thể tự phối, ta có:
Ở F3, cây hoa trắng (aa) có tỉ lệ =
Theo bài ra, ở F3 có tỉ lệ kiểu hình là 33 cây hoa đỏ : 7 cây hoa trắng.
→ Cây hoa trắng (aa) có tỉ lệ =
→ Tần số kiểu gen ở P là 0,6AA : 0,4Aa → Đúng.
II. Kiểu hình hoa đỏ giảm đi bằng kiểu hình hoa trắng tăng thêm:
→ Đúng.
III. Lượng kiểu gen đồng hợp tăng lên đúng bằng lượng kiểu gen dị hợp giảm xuống. Đến thế hệ F5, lượng kiểu gen dị hợp giảm đi là:
→ Đúng.
IV. Hiệu số giữa kiểu gen đồng hợp trội so với kiểu gen đồng hợp lặn không thay đổi qua các thế hệ. Do đó, đến thế hệ F6, hiệu số giữa kiểu gen đồng hợp trội với kiểu gen đồng hợp lặn = 0,6AA - 0 = 0,6 = 60% → Đúng.
Câu 20: Một quần thể thực vật tự thụ phấn, alen A quy định hoa đỏ trội hoàn toàn so với alen a quy định hoa trắng. Thế hệ xuất phát có 60% cây hoa đỏ; 40% cây hoa trắng. Ở F3, cây hoa trắng chiếm 57,5%. Biết không xảy ra đột biến, theo lí thuyết có bao nhiêu phát biểu sau đây đúng:
I. Tần số kiểu gen ở thế hệ P là: 0,2AA : 0,4Aa : 0,4aa.
II. Tần số alen A, a của thế hệ P lần lượt là: 0,4 và 0,6.
III. Nếu bắt đầu từ F3, các cá thể giao phấn ngẫu nhiên thì tỉ lệ kiểu hình ở F4 64% cây hoa đỏ : 36% cây hoa trắng.
IV. Nếu bắt đầu từ P các cá thể giao phấn ngẫu nhiên thì tỉ lệ kiểu hình ở F1 là 36% cây hoa đỏ : 64% cây hoa trắng.
A. 1 B. 2 C. 3 D. 4
Hướng dẫn giải
Để tìm tỉ lệ kiểu gen ở thế hệ xuất phát P, chúng ta sử dụng công thức giải nhanh: “Nếu thế hệ xuất phát có kiểu hình lặn (aa) chiếm tỉ lệ x, đến thế hệ Fn có kiểu hình lặn (aa) |
Ở bài này, x = 0,4; y = 0,575 và n = 3
→ Ở thế hệ xuất phát, kiểu gen Aa có tỉ lệ =
Vì aa = 0,4 và Aa = 0,4 → Kiểu gen AA có tỉ lệ = 1 - 0,4 - 0,4 = 0,2.
- Tỉ lệ kiểu gen ở thế hệ P: 0,2AA : 0,4Aa : 0,4aa → I. đúng.
- Tần số alen A =
; Tần số alen a = 1 - 0,4 = 0,6 → II. đúng.
- Vì tần số alen không thay đổi qua các thế hệ tự thụ phấn nên ở F3 tần số không thay đổi.
Vậy, ở F4 tỉ lệ kiểu hình hoa trắng (aa) = (0,6)2 = 0,36 = 36%.
Tỉ lệ kiểu hình hoa đỏ (A-) = 100% - 36% = 64%.
→ Tỉ lệ kiểu hình ở F4 là 64% cây hoa đỏ : 36% cây hoa trắng → III. đúng.
- Tỉ lệ kiểu hình ở F1 khi P giao phấn ngẫu nhiên cũng giống tỉ lệ kiểu hình F4 là 64% cây hoa đỏ : 36% cây hoa trắng → IV. sai
→ Đáp án C.
(199k) Xem Khóa học Sinh 12 KNTTXem Khóa học Sinh 12 CDXem Khóa học Sinh 12 CTST
Xem thêm các dạng bài tập Sinh học lớp 12 ôn thi Tốt nghiệp THPT hay, chi tiết khác:
- Tổng hợp kiến thức Di truyền người
- Phương pháp giải bài tập Di truyền người
- Bài tập Di truyền người (có lời giải)
- Tổng hợp kiến thức ADN và ARN
- Phương pháp giải bài tập ADN và ARN
Đã có app VietJack trên điện thoại, giải bài tập SGK, SBT Soạn văn, Văn mẫu, Thi online, Bài giảng....miễn phí. Tải ngay ứng dụng trên Android và iOS.
Theo dõi chúng tôi miễn phí trên mạng xã hội facebook và youtube:Nếu thấy hay, hãy động viên và chia sẻ nhé! Các bình luận không phù hợp với nội quy bình luận trang web sẽ bị cấm bình luận vĩnh viễn.
- Đề thi lớp 1 (các môn học)
- Đề thi lớp 2 (các môn học)
- Đề thi lớp 3 (các môn học)
- Đề thi lớp 4 (các môn học)
- Đề thi lớp 5 (các môn học)
- Đề thi lớp 6 (các môn học)
- Đề thi lớp 7 (các môn học)
- Đề thi lớp 8 (các môn học)
- Đề thi lớp 9 (các môn học)
- Đề thi lớp 10 (các môn học)
- Đề thi lớp 11 (các môn học)
- Đề thi lớp 12 (các môn học)
- Giáo án lớp 1 (các môn học)
- Giáo án lớp 2 (các môn học)
- Giáo án lớp 3 (các môn học)
- Giáo án lớp 4 (các môn học)
- Giáo án lớp 5 (các môn học)
- Giáo án lớp 6 (các môn học)
- Giáo án lớp 7 (các môn học)
- Giáo án lớp 8 (các môn học)
- Giáo án lớp 9 (các môn học)
- Giáo án lớp 10 (các môn học)
- Giáo án lớp 11 (các môn học)
- Giáo án lớp 12 (các môn học)
”
. Nếu kiểu hình đồng hợp lặn bị loại bỏ hoàn toàn ở giai đoạn mới sinh thì ở thế hệ Fn, tần số a
”


Giải bài tập SGK & SBT
Tài liệu giáo viên
Sách
Khóa học
Thi online
Hỏi đáp

