Các dạng bài tập Sinh học 10 (có lời giải)
Tài liệu Các dạng bài tập Sinh học 10 chọn lọc với đầy đủ phương pháp giải và bài tập có lời giải giúp học sinh lớp 10 nắm vững kiến thức trọng tâm từ đó biết cách làm bài tập Sinh học 10.
Các dạng bài tập Sinh học 10 (có lời giải)
(199k) Xem Khóa học Sinh 10 KNTTXem Khóa học Sinh 10 CDXem Khóa học Sinh 10 CTST
- Bài tập về áp suất thẩm thấu của tế bào (có lời giải)
- Cách giải bài tập Nguyên phân
- Cách giải bài tập Giảm phân
- Cách giải bài tập Vi sinh vật
Tổng hợp Công thức Sinh học lớp 10
- Công thức Cấu trúc ADN lớp 10
- Công thức cơ chế tự nhân đôi của ADN lớp 10
- Tổng hợp Công thức ADN lớp 10
- Công thức Cấu trúc ARN lớp 10
- Công thức cơ chế tổng hợp ARN lớp 10
- Tổng hợp Công thức ARN lớp 10
- Công thức Phân bào lớp 10
(199k) Xem Khóa học Sinh 10 KNTTXem Khóa học Sinh 10 CDXem Khóa học Sinh 10 CTST
Cách giải bài tập Nguyên phân
I. Phương pháp giải
Dạng 1: Xác định số NST, số cromatit , số tâm động trong một tế bào qua các kì của quá trình nguyên phân .
- NST nhân đôi ở kì trung gian và tồn tại ở tế bào đến cuối kì giữa . Vào kì sau NST kép bị chẻ dọc tại tâm động và tác thành hai NST đơn và phân li về hai cực của tế bào
- Cromatit chỉ tồn tại ở dạng NST kép , mỗi NST kép gồm có hai cromatit
- Mỗi NST dù ở dạng kép hay đơn đều có 1 tâm động, trong tế bào có bao nhiêu NST thì có bấy nhiêu tâm động
- Từ đó ta có thể xác đinh được số NST trong tế bào , số cromatit , số tâm động của một tế bảo qua mỗi kì của quá trình nguyên phân:
Dạng 2: Xác định số tế bào con được sinh ra , số NST môi trường cần cung cấp cho quá trình nhân đôi
Kì |
Kì trung gian |
Kì đầu |
Kỳ giữa |
Kỳ sau |
Kỳ cuối |
Số NST đơn |
0 |
0 |
0 |
4n |
2n |
Số NST kép |
2n |
2n |
2n |
0 |
0 |
Số cromatit |
4n |
4n |
4n |
0 |
0 |
Số tâm động |
2n |
2n |
2n |
4n |
2n |
Số tế bào được tạo ra qua nguyên phân :
Với 1 tế bào :
1 tế bào nhân đôi 1 lần → 2 tế bào →21 tế bào
1 tế bào nhân đôi 2 lần → 2×2 tế bào →22 tế bào
1 tế bào nhân đôi 3 lần → 2×22 tế bào →23 tế bào
------------------------------------------------------------------
Một tế bào trải qua k lần nguyên phân thì sẽ tạo ra 2k tế bào .
Với x tế bào :
- x tế bào nguyên phân liên tiếp k lần thì số TB con được tạo thành = 2k . x
- Số NST đơn môi trường cần cung cấp cho quá trình phân bào là :
- 1 tế bào nguyên phân liên tiếp k lần thì số NST đơn môi trường cần cho quá trình nguyên phân là 2n.( 2k – 1)
- x tế bào nguyên phân liên tiếp k lần thì số NST đơn môi trường cung cấp cho quá trình phân bào là : 2n.( 2k – 1) x
- Số tế bào con có NST đơn nguyên liệu mới hoàn toàn: (2k – 2) 2n
Dạng 3: Tính số thoi vô sắc được hình thành trong quá trình nguyên phân
Nếu có a tế bào nguyên phân x lần bằng nhau tạo ra a.2x tế bào con thì số thoi vô sắc được hình thành trong quá trình đó là: a.(2x – 1)
Dạng 4: Tính thời gian nguyên phân
4.1 Nếu tốc độ của các lần nguyên phân liên tiếp không đổi:
Một tế bào tiến hành nguyên phân x lần liên tiếp với tốc độ không đổi, thì:
Thời gian nguyên phân = thời gian 1 lần nguyên phân.
4.2 Nếu tốc độ của các lần nguyên phân liên tiếp không bằng nhau:
- Nếu tốc độ nguyên phân ở các lần giảm dần đều thì thời gian của các lần nguyên phân tăng dần đều.
- Nếu tốc độ nguyên phân ở các lần tăng dần đều thì thời gian của các lần nguyên phân giảm dần đều.
Trong 2 trường hợp trên, thời gian của các lần nguyên phân liên tiếp sẽ hình thành một dãy cấp số cộng và thời gian của cả quá trình nguyên phân là tổng các số hạng trong dãy cấp số cộng đó
Gọi: - x là số lần nguyên phân
- u1, u2, u3,....ux lần lượt là thời gian của mỗi lần nguyên phân thứ nhất, thứ 2, thứ 3..., thứ x. Thì thời gian của quá trình nguyên phân là:
Thời gian N.P = x/2 (u1 + ux )
Gọi d là hiệu số thời gian giữa lần nguyên phân sau với lần nguyên phân liền trước nó
- Nếu tốc độ nguyên phân giảm dần đều thì d > 0
- Nếu tốc độ nguyên phân tăng dần đều thì d < 0
Ta có thời gian N.P = x/2 [2u1 + (x - 1) d]
II. VÍ DỤ MINH HỌA
Bài 1: 4 hợp tử của cùng một loài nguyên phân một số lần không bằng nhau.
- Hợp tử A nguyên phân tạo ra các tế bào con có tổng số NST đơn gấp 4 lần số NST chứa trong bộ NST lưỡng bội của loài.
- Hợp tử B tạo ra số tế bào con bằng 1/3 số NST trong bộ NST lưỡng bội của loài.
- Hợp tử C và hợp tử D tạo ra tổng số 48 tế bào con, trong đó số tế bào con tạo ra từ hợp tử D gấp hai lần số tế bào con tạo ra từ hợp tử C.
Tổng số NST trong các tế bào con tạo ra từ 4 hợp tử là 1440.
a. Xác định số NST lưỡng bội của loài.
b. Xác định số lần nguyên phân của mỗi hợp tử.
c. Xác định số thoi vô sắc đã được hình thành trong quá trình nguyên phân của 4 hợp tử nói trên
Hướng dẫn giải
a. Gọi x là bộ NST lưỡng bội của loài ta có:
- Số NST chứa trong các tế bào con tạo ra từ hợp tử A là 4x
- Số tế bào con tạo ra từ hợp tử B là x/3 nên số NST chứa trong các tế bào con tạo ra từ hợp tử B là:

- Số NST chứa trong các tế bào con tạo ra từ hợp tử C và D là: 48x
- Số NST trong các tế bào con tạo ra từ 4 hợp tử là:

→ x = 24. Vậy bộ NST lưỡng bội của loài là 2n = 24
b. Số lần nguyên phân của mỗi hợp tử:
Gọi a, b, c, d số lần nguyên phân tử A, B, C, D. Ta có:
- Số tế bào con tạo ra từ A: 2a = 4 = 22 → a = 2
- Số tế bào con tạo ra từ hợp tử B:
2b = 1/3 x 24 = 8 → b = 3
- Số tế bào con tạo ra từ hợp tử C và D: 2c + 2d = 48.
Mặt khác 2d = 2.2c
→ c = 4 và d = 5
Vậy:
Hợp tử A nguyên phân 2 lần
Hợp tử B nguyên phân 3 lần
Hợp tử C nguyên phân 4 lần
Hợp tử D nguyên phân 5 lần
c. Số thoi vô sắc hình thành:
22 – 1 + 23 – 1 + 24 – 1 + 25 - 1 = 56
Bài 2: Có 1 nhóm hợp tử cùng loài cùng tiến hành nguyên phân 3 lần và đã tạo ra tổng số 56 tế bào con. Trong các tế bào con có chứa tổng số 448 nhiễm sắc thể ở trạng thái chưa nhân đôi. Xác định:
a) Số hợp tử ban đầu
b) Tên của loài nói trên
c) Nếu các tế bào con nói trên bước vào chu kì nguyên phân tiếp theo và trải qua nhân đôi nhiễm sắc thể thì số lượng cromatit trong các tế bào bằng bao nhiêu ?
Hướng dẫn giải
a. Xác định số hợp tử ban đầu
Theo đề, tổng số TB con tạo thành = x . 2k
56 = x . 23 → x = 7
Vậy số hợp tử ban đầu là 7
b. Xác định tên loài
Theo đề, ∑NST tb con = số tế bào con. 2n
448 = 56 . 2n → 2n = 8
2n = 8 là loài ruồi giấm
c. Xác định số cromatit
Khi trải qua sự nhân đôi NST: 2n đơn → 2n kép
Số cromatic trong 1 TB = 2 số NST kép = 2.
2n Số cromatic trong 56 tb = 2. 2n . 56 = 896 cromatit
*Lưu ý: Khi tb bước vào lần phân bào tiếp theo ( lần 4) nhưng vẫn chưa hoàn thành quá trình phân bào. Vì vậy, số tế bào con lúc này vẫn là 56.
Bài 3: Một hợp tử có hàm lượng ADN trong nhân TB là 6.10-12g được thụ tinh nhân tạo trong môi trường dinh dưỡng thích hợp. Khi đã sử dụng hết số nguyên liệu tương đương 378.10-12g ADN thì đợt phân bào cuối cùng vừa kết thúc một chu kì tế bào. Thời gian từ lúc hợp tử hình thành cho đến thời điểm này là 168 giờ. Biết rằng tỉ lệ về thời gian giữa kì trung gian và kì phân bào là 6 : 1 và tỉ lệ giữa các kì của giai đoạn phân bào là 7:3:3:7.
a. Tính số đợt phân bào của hợp tử trong thời gian trên?
b. Ở thời điểm 114 giờ 6 phút kể từ lúc hình thành hợp tử thì số TB là bao nhiêu? Hàm lượng ADN trong mỗi tế bào là bao nhiêu?
Hướng dẫn giải
a. Gọi x: Số lần nguyên phân của hợp tử 
Môi trường cung cấp 6.10-12(2x – 1) = 387.10-12.
Giải ra được x = 6 lần.
Thời gian 1 chu kì 168/6= 8 giờ.
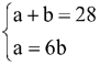
Gọi a: Thời gian kì trung gian, b: Thời gian các kì phân bào.
Ta có hệ phương trình

Giải ra được a = 24, b = 4.
Thời gian đầu : giữa : sau : cuối = 7: 3 : 3 : 7.
Tổng 4 kì này = 4 giờ = 240 phút.
Thời gian:
Kì đầu 240/20 × 7 = 84 phút = kì cuối.
Kì đầu 240/20 × 3 = 36 phút = kì sau.
b. 114 giờ 6 phút = 4.28 + 2 giờ
Tế bào đã qua 4 chu kì nguyên phân và đang ở kì trung gian của lần nguyên phân thứ 5.
Tổng số tế bào = 24 = 16
Hàm lượng ADN trong mỗi tế bào:
Nếu ở pha G1 = 6.10-12
Nếu ở pha G2 = 12.10-12
III. BÀI TẬP TỰ LUYỆN
Bài 1: Ở chó 2n = 78 NST, sau thụ tinh có 3 hợp tử hình thành. Các hợp tử nguyên phân để tạo ra các tế bào con. Tổng số NST đơn trong các tế bào con sinh ra từ 3 hợp tử là 8112. Tỉ lệ số tế bào con sinh ra từ hợp tử 1 so với hợp tử 2 là 1/4 . Số tế bào con sinh ra từ hợp tử 3 gấp 1/6 lần số tế bào con sinh ra từ hợp tử 1 và 2.
a/ Tìm số lượng tế bào con sinh ra từ mỗi hợp tử
b/ Tính số lần nguyên phân liên tiếp của mỗi hợp tử
c/ Tính số NST môi trường cung cấp cho 3 hợp tử thực hiện các lần nguyên phân
Bài 2: Ở cà chua 2n = 78, số lượng NST kép trong tế bào vào thời điểm tập trung trên mặt phẳng xích đạo ít hơn số lượng NST đơn của các tế bào đang có phân li về 2 cực là 1200. Tổng số NST trong 2 nhóm tế bào là: 2640. Hãy xác định:
a/ Số tế bào con của từng nhóm trong nguyên phân
b/ Số tế bào con của cả nhóm khi kết thúc nguyên phân
c/ Số NST môi trường cung cấp trong nguyên phân
Bài 3: Ở ruồi giấm 2n = 8. Hãy cho biết:
- Số tâm động ở kì sau của nguyên phân
- Số cromati ở kì giữa của nguyên phân
- Số cromatit ở kì sau của nguyên phân
- Số NST ở kì sau của nguyên phân
Bài 4: Có 10 hợp tử của cùng một loài nguyên phân một số lần bằng nhau và đã sử dụng của môi trường nội bòa nguyên liệu tương đương với 2480 NST đơn. Trong các tế bào con được tạo thành, số NST mới hoàn toàn được tạo ra từ nguyên liệu môi trường là 2400.
- Xác định tên loài
- Tính số lần nguyên phân của mỗi hợp tử nói trên
Bài 5: Theo dõi quá trình nguyên phân liên tiếp của một hợp tử có tốc độ giảm dần đều, nhận thấy thời gian nguyên phân của lần nguyên phân đầu tiên là 4 phút, thời gian của lần nguyên phân cuối cùng là 6,8 phút. Toàn bộ thời gian của quá trình nguyên phân là 43,2 phút. Xác định số lần nguyên phân và số tế bào con được tạo ra.
Bài 6: Theo dõi quá trình sinh sản của 1 tế bào sinh dưỡng và 1 tế bào sinh dục sơ khai ở vùng sinh sản trong cơ thể một sinh vật, người ta nhận thấy tốc độ phân bào của tế bào sinh dục nhanh gấp 3 lần tốc độ phân bào của tế bào sinh dưỡng. Sau một thời gian phân bào như nhau người ta nhận thấy môi trường nội bào đã cung cấp cho quá trình phân bào của 2 loại tế bào trên tất cả là 3108 nhiễm sắc thể đơn.
a. Xác định bộ nhiễm sắc thể lưỡng bội của loài.
b. Số lần nguyên phân của mỗi tế bào trong thời gian đã cho?
Bài 7: Xét quá trình phân bào của 4 tế bào A, B, C D của một loài:
- Tế bào A nguyên phân một số lần tạo ra số tế bào con bằng 2 lần số NST đơn trong bộ đơn bội của loài.
- Tế bào B nguyên phân một số lần tạo ra các tế bào con có tổng số NST đơn gấp 8 lần số NST đơn cùng một nguồn gốc trong bộ 2n của loài.
- Tế bào C nguyên phân đã lấy từ môi trường nội bào 210 NST đơn, tế bào D nguyên phân 7 đợt.
Tổng số NST đơn của tất cả các tế bào con sinh ra từ đợt nguyên phân cuối cùng của 4 tế bào trên là 1134.
a. Xác định bộ NST 2n của loài?
b. Số lần nguyên phân của tế bào B, C?
c. Tế bào A nguyên phân, trong số các tế bào con được tạo ra trước khi tiến hành được nguyên phân cuối cùng chỉ có một số tế bào tham gia vào đợt nguyên phân cuối cùng, số còn lại không phân bào. Xác định số lượng tế bào con của tế bào A tham gia vào đợt nguyên phân cuối cùng?
Bài 8: Người ta tách tế bào từ một mô đang nuôi cấy sang một môi trường mới. Qua quá trình nguyên phân liên tiếp, sau 13 giờ 7 phút các tế bào đã sử dụng của môi trường nội bào hàm lượng ADN tương đương 720 NST đơn và lúc này quan sát thấy các NST đang ở trạng thái xoắn cực đại.
a. Tìm bộ NST lưỡng bội của loài. Biết thời gian các kì của quá trình nguyên phân có tỉ lệ 3:2:2:3 tương ứng với 9/19 chu kì tế bào, trong đó kì giữa chiếm 18 phút.
b. Sau 16 giờ 40 phút thì quá trình phân chia trên đang ở thế hệ thứ mấy? Tổng số NST trong các tế bào ở thời điểm này là bao nhiêu? Cần bao nhiêu thời gian để TB trên tạo thành mô gồm 128 tế bào? Môi trường nội bào đã cung cấp bao nhiêu NST cho số tế bào này?
Bài 9: Một tế bào sinh dưỡng của lúa (có bộ nhiễm sắc thể 2n = 24) nguyên phân liên tiếp 6 lần, nhưng khi kết thúc lần nguyên phân thứ 3 bước sang lần nguyên phân thứ 4 có một tế bào bị ảnh hưởng bởi các tác nhân mạnh của môi trường làm cho các NST đã nhân đôi nhưng không phân li dẫn đến hình thành tế bào 4n.
a. Xác định số lượng tế bào con được hình thành.
b. Môi trường đã cung cấp nguyên liệu tương đương với bao nhiêu nhiễm sắc thể đơn cho quá trình nguyên phân của tế bào trên?
Bài 10: Tỉ lệ thời gian các pha trong chu kì nguyên phân của một loại tế bào như sau: G1 : S : G2 : M = 4 : 3 : 2 : 1. Biết rằng thời gian của pha G2 là 24 phút. Tại thời điểm t = 0, một tế bào bắt đầu bước vào pha S của chu kì. Sau 10 giờ 37 phút, tổng số NST đơn môi trường cung cấp cho quá trình phân chia của tế bào là 1260 NST.
a. Xác định số tế bào con tạo ra từ tế bào nói trên và bộ NST 2n của loài.
b. Giả sử mỗi tế bào con có khối lượng là 6,65.10-12 gam thì sau bao lâu sẽ tạo ra một mô có khối lượng là 0,5 kg từ tế bào nói trên?
(199k) Xem Khóa học Sinh 10 KNTTXem Khóa học Sinh 10 CDXem Khóa học Sinh 10 CTST
Xem thêm đề thi lớp 10 các môn học có đáp án hay khác:
Tài liệu giáo án lớp 10 các môn học chuẩn khác:
Đã có app VietJack trên điện thoại, giải bài tập SGK, SBT Soạn văn, Văn mẫu, Thi online, Bài giảng....miễn phí. Tải ngay ứng dụng trên Android và iOS.
Theo dõi chúng tôi miễn phí trên mạng xã hội facebook và youtube:Nếu thấy hay, hãy động viên và chia sẻ nhé! Các bình luận không phù hợp với nội quy bình luận trang web sẽ bị cấm bình luận vĩnh viễn.
- Đề thi lớp 1 (các môn học)
- Đề thi lớp 2 (các môn học)
- Đề thi lớp 3 (các môn học)
- Đề thi lớp 4 (các môn học)
- Đề thi lớp 5 (các môn học)
- Đề thi lớp 6 (các môn học)
- Đề thi lớp 7 (các môn học)
- Đề thi lớp 8 (các môn học)
- Đề thi lớp 9 (các môn học)
- Đề thi lớp 10 (các môn học)
- Đề thi lớp 11 (các môn học)
- Đề thi lớp 12 (các môn học)
- Giáo án lớp 1 (các môn học)
- Giáo án lớp 2 (các môn học)
- Giáo án lớp 3 (các môn học)
- Giáo án lớp 4 (các môn học)
- Giáo án lớp 5 (các môn học)
- Giáo án lớp 6 (các môn học)
- Giáo án lớp 7 (các môn học)
- Giáo án lớp 8 (các môn học)
- Giáo án lớp 9 (các môn học)
- Giáo án lớp 10 (các môn học)
- Giáo án lớp 11 (các môn học)
- Giáo án lớp 12 (các môn học)


Giải bài tập SGK & SBT
Tài liệu giáo viên
Sách
Khóa học
Thi online
Hỏi đáp

