Công thức về phép đối xứng trục đầy đủ (siêu hay)
Công thức về phép đối xứng trục hay nhất sẽ giúp học sinh lớp 11 nắm vững công thức, biết cách làm bài tập từ đó có kế hoạch ôn tập hiệu quả để đạt kết quả cao trong các bài thi Toán 11.
Công thức về phép đối xứng trục (siêu hay)
1. Lý thuyết về phép đối xứng trục
Cho đường thẳng d. Phép biến hình biến mỗi điểm M thuộc d thành chính nó, biến mỗi điểm M không thuộc d thành M’ sao cho d là đường trung trực của đoạn thẳng MM’ được gọi là phép đối xứng qua đường thẳng d hay phép đối xứng trục d.
Phép đối xứng trục d thường được kí hiệu là Đd.
* Tính chất
- Phép đối xứng trục bảo toàn khoảng cách giữa hai điểm.
- Biến đường thẳng thành đường thẳng .
- Biến đoạn thẳng thành đoạn thẳng bằng nó.
- Biến tam giác thành tam giác bằng nó.
- Biến đường tròn thành đường tròn có cùng bán kính.
2. Công thức về phép đối xứng trục
Cho đường thẳng d, điểm M’(x’;y’) đối xứng với M(x;y) qua d. Gọi M0(x0;y0) là hình chiếu vuông góc của M trên đường thẳng d. Khi đó Đd(M)
3. Ví dụ minh họa về phép đối xứng trục
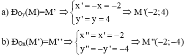
Ví dụ 1: Cho điểm M(2;4).
a) Tìm tọa đô M’ là ảnh của M qua phép đối xứng trục Oy.
b) Tìm tọa độ của M’’ là ảnh của M’ qua phép đối xứng trục Ox.
Lời giải
Ví dụ 2: Cho đường tròn (C): (x − 2)2 + (y − 3)2 = 9. Viết phương trình đường tròn (C’) là ảnh của đường tròn (C) qua phép đối xứng trục Ox.
Lời giải
Ta có: Đường tròn (C) có tâm I(2;3) và bán kính R = 3.
Đường tròn (C’) là ảnh của đường tròn (C) qua phép đối xứng trục Ox.
Khi đó (C’) có bán kính R = 3 và tâm I’ là ảnh của I qua phép đối xứng trục Ox.
Vậy phương trình đường tròn (C’) là: (x − 2)2 + (y + 3)2 = 9.
4. Bài tập tự luyện về phép đối xứng trục
Câu 1. Trong mặt phẳng tọa độ Oxy, cho điểm M(2;3). Hỏi trong bốn điểm sau điểm nào là ảnh của M qua phép đối xứng trục Ox?
A. M’1(3; 2) B. M’2(2; -3) C. M’3(3; -2) D. M’4(-2; 3)
Câu 2. Trong mặt phẳng tọa độ Oxy, cho tam giác ABC với A(1; 5), B(-1; 2), C(6; -4). Gọi G là trọng tâm của tam giác ABC. Phép đối xứng trục ĐOy biến điểm G thành điểm G’ có tọa độ là:
A. G’(-2; -1) B. G’ (2; -4) C. G’ (0; -3) D. G’ (-2; 1)
Câu 3. Trong mặt phẳng tọa độ Oxy cho đường thẳng d: x + y – 2 = 0. Ảnh của đường thẳng d qua phép đối xứng trục Ox có phương trình là:
A. x – y – 2 = 0. B. x + y + 2 = 0 C. x + y – 2 = 0 D. x – y + 2 = 0
Đáp án: 1B, 2D, 3A
Xem thêm các Công thức Toán lớp 11 quan trọng hay khác:
Đã có app VietJack trên điện thoại, giải bài tập SGK, SBT Soạn văn, Văn mẫu, Thi online, Bài giảng....miễn phí. Tải ngay ứng dụng trên Android và iOS.
Theo dõi chúng tôi miễn phí trên mạng xã hội facebook và youtube:Nếu thấy hay, hãy động viên và chia sẻ nhé! Các bình luận không phù hợp với nội quy bình luận trang web sẽ bị cấm bình luận vĩnh viễn.
- Đề thi lớp 1 (các môn học)
- Đề thi lớp 2 (các môn học)
- Đề thi lớp 3 (các môn học)
- Đề thi lớp 4 (các môn học)
- Đề thi lớp 5 (các môn học)
- Đề thi lớp 6 (các môn học)
- Đề thi lớp 7 (các môn học)
- Đề thi lớp 8 (các môn học)
- Đề thi lớp 9 (các môn học)
- Đề thi lớp 10 (các môn học)
- Đề thi lớp 11 (các môn học)
- Đề thi lớp 12 (các môn học)
- Giáo án lớp 1 (các môn học)
- Giáo án lớp 2 (các môn học)
- Giáo án lớp 3 (các môn học)
- Giáo án lớp 4 (các môn học)
- Giáo án lớp 5 (các môn học)
- Giáo án lớp 6 (các môn học)
- Giáo án lớp 7 (các môn học)
- Giáo án lớp 8 (các môn học)
- Giáo án lớp 9 (các môn học)
- Giáo án lớp 10 (các môn học)
- Giáo án lớp 11 (các môn học)
- Giáo án lớp 12 (các môn học)


Giải bài tập SGK & SBT
Tài liệu giáo viên
Sách
Khóa học
Thi online
Hỏi đáp

