Công thức về phép vị tự đầy đủ (siêu hay)
Công thức về phép vị tự hay nhất sẽ giúp học sinh lớp 11 nắm vững công thức, biết cách làm bài tập từ đó có kế hoạch ôn tập hiệu quả để đạt kết quả cao trong các bài thi Toán 11.
Công thức về phép vị tự (siêu hay)
1. Lý thuyết về phép vị tự
* Định nghĩa: điểm I cố định và một số thực k không đổi, K ≠ 0. Phép biến hình biến mỗi điểm M thành điểm M’, sao cho được gọi là phép vị tự tâm I tỉ số k và kí hiệu là V(I,k) (I được gọi là tâm vị tự).
* Nhận xét:
- Phép vị tự biến tâm vị tự thành chính nó.
- Phép vị tự tỉ số k = 1 chính là phép đồng nhất.
- Phép vị tự tâm I tỉ số k = -1 chính là phép đối xứng qua tâm I.
* Tính chất:
- Biến đường thẳng không qua tâm vị tự đường thẳng song song với nó.
- Biến đường thẳng qua tâm vị tự thành chính nó.
- Biến đoạn thẳng thành đoạn thẳng có độ dài gấp |k| đoạn thẳng ban đầu.
- Biến tam giác thành tam giác đồng dạng với tỉ số đồng dạng |k|.
- Biến góc thành góc bằng với góc ban đầu.
- Biến tia thành tia.
- Biến đường tròn bán kính R thành đường tròn có bán kính |k|.R.
2. Công thức về phép vị tự
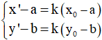
Cho điểm M(x0; y0). Phép vị tự tâm I(a; b), tỉ số k biến điểm M thành M’ có tọa độ (x’; y’) thỏa mãn:
Đối với phép vị tự tâm O biến M thành M’ thì
3. Ví dụ minh họa về phép vị tự
Ví dụ 1: Cho điểm I(1; 2) cố định và số thực k = 2.
a) Tìm ảnh A’ của điểm A(3; 4) qua phép vị tự tâm I, tỉ số k.
b) Tìm ảnh của đường thẳng d: x – 2y + 1 = 0 qua phép vị tự tâm I, tỉ số k.
Lời giải
a) Ta có V(1; 2)(A) = A’(x’;y’)
nên
Vậy tọa độ điểm A’(5;6).
b) Gọi đường thẳng d’ là ảnh của d qua phép vị tự tâm I, tỉ số k = 2
Ta có: I không nằm trên đường thẳng d (vì 1 – 2.2 + 1 = -2)
Nên d’ song song với d. Khi đó phương trình d’ có dạng: x – 2y + c = 0 (c khác 1)
Lấy điểm M(1;1) ∈ d , ta có V(I;2) (M) = M' ∈ d'.
Tọa độ điểm M’(x’;y’):
Vì M' ∈ d' nên 1 – 2.0 + c = 0, suy ra c = -1 (thỏa mãn)
Vậy phương trình đường thẳng d’: x – 2y – 1 = 0.
Ví dụ 2: Trong mặt phẳng tọa độ Oxy, cho đường tròn (C): (x – 1)2 + (y – 2)2 = 4. Tìm ảnh (C') của (C) qua phép vị tự tâm I(-1; 2), tỉ số k = 3?
Lời giải
Đường tròn (C) có tâm A(1;2), kính R = 2.
Đường tròn (C’) là ảnh của (C) qua phép vị tự tâm I, tỉ số k = 3 nên (C’) có bán kính R’ = 3.2 = 6 và tâm A’ là ảnh của A qua phép vị tự tâm I, tỉ số k = 3.
Ta có A’(x’; y’) = V(I;3)(A)
Tọa độ điểm A’:
Vậy phương trình đường tròn (C’): (x – 5)2 + (y – 2)2 = 36.
4. Bài tập tự luyện về phép vị tự
Câu 1. Tìm tọa độ A để điểm A’(1;5) là ảnh của A qua phép vị tự tâm I(1;3), k = -2. Tọa độ A là:
A. A(1;2) B. A(1;7) C. A(-1;-2) D. A(-1;-7)
Câu 2. Trong mặt phẳng tọa độ Oxy, cho đường thẳng d: 3x – y – 5 = 0. Tìm ảnh d' của d qua phép vị tự tâm O tỉ số K = - 2/3 .
A. -3x + y – 9 = 0 B. 3x – y – 10 = 0
C. 9x – 3y + 15 = 0 D. 9x – 3y + 10 = 0
Câu 3: Trong mặt phẳng tọa độ Oxy, cho đường tròn (C): (x – 3)222 2 + (y + 1)2 =5. Tìm ảnh đường tròn (C') của đường tròn (C) qua phép vị tự tâm I(1; 2) và tỉ số k = - 2
A. x2 + y2 + 6x – 16y + 4 = 0 B. x2 + y2 – 6x + 16y – 4 = 0
C. (x + 3)2 + (y – 8)2 = 20 D. (x – 3)2 + (y + 8)2 = 20
Đáp án 1A, 2D, 3C
Xem thêm các Công thức Toán lớp 11 quan trọng hay khác:
Đã có app VietJack trên điện thoại, giải bài tập SGK, SBT Soạn văn, Văn mẫu, Thi online, Bài giảng....miễn phí. Tải ngay ứng dụng trên Android và iOS.
Theo dõi chúng tôi miễn phí trên mạng xã hội facebook và youtube:Nếu thấy hay, hãy động viên và chia sẻ nhé! Các bình luận không phù hợp với nội quy bình luận trang web sẽ bị cấm bình luận vĩnh viễn.
- Đề thi lớp 1 (các môn học)
- Đề thi lớp 2 (các môn học)
- Đề thi lớp 3 (các môn học)
- Đề thi lớp 4 (các môn học)
- Đề thi lớp 5 (các môn học)
- Đề thi lớp 6 (các môn học)
- Đề thi lớp 7 (các môn học)
- Đề thi lớp 8 (các môn học)
- Đề thi lớp 9 (các môn học)
- Đề thi lớp 10 (các môn học)
- Đề thi lớp 11 (các môn học)
- Đề thi lớp 12 (các môn học)
- Giáo án lớp 1 (các môn học)
- Giáo án lớp 2 (các môn học)
- Giáo án lớp 3 (các môn học)
- Giáo án lớp 4 (các môn học)
- Giáo án lớp 5 (các môn học)
- Giáo án lớp 6 (các môn học)
- Giáo án lớp 7 (các môn học)
- Giáo án lớp 8 (các môn học)
- Giáo án lớp 9 (các môn học)
- Giáo án lớp 10 (các môn học)
- Giáo án lớp 11 (các môn học)
- Giáo án lớp 12 (các môn học)


Giải bài tập SGK & SBT
Tài liệu giáo viên
Sách
Khóa học
Thi online
Hỏi đáp

