2,4,6-tribromophenol là gì
2,4,6-tribromophenol là một dẫn xuất halogen của phenol có có nhiều ứng dụng trong công nghiệp. Bài viết dưới đây giúp các bạn hiểu rõ hơn về 2,4,6-tribromophenol. Mời các bạn đón đọc:
2,4,6-tribromophenol là gì
1. 2,4,6-Tribromophenol là gì?
- 2,4,6-tribromophenol là một dẫn xuất halogen của phenol có công thức phân tử là C6H3Br3O. 2,4,6-tribromophenol là tinh thể màu trắng đến vàng nhạt, ít tan trong nước, tan trong dung môi hữu cơ.
- 2,4,6-tribromophenol có phân tử khối M = 331.
- Công thức cấu tạo của 2,4,6-tribromophenol:
- 2,4,6-tribromophenol có tính acid yếu của phenol: tác dụng với NaOH tạo muối phenolate.
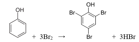
2. Điều chế 2,4,6-tribromophenol (C3H5(OH)3)
2,4,6-tribromophenol được điều chế bằng cách bromine hóa phenol:
3. Ứng dụng của 2,4,6-Tribromophenol (C3H5(OH)3)
- Chất diệt nấm, diệt khuẩn trong gỗ, giấy, sơn, keo.
- Tiền chất tổng hợp: dùng trong sản xuất nhựa, phẩm nhuộm, và chất chống cháy bromine hóa.
- Chất bảo quản gỗ và vật liệu xây dựng để chống mốc và mục nát.
4. Bài tập minh họa 2,4,6-tribromophenol (C3H5(OH)3)
Câu 1. Công thức phân tử của 2,4,6-tribromophenol là
A. C6H3Br2O2.
B. C6H4Br2O.
C. C6H3Br3O.
D. C6H4Br3O2.
Hướng dẫn giải
Đáp án đúng là: C
Câu 2. 2,4,6-tribromophenol thuộc loại hợp chất hữu cơ nào sau đây?
A. Alkane.
B. Alcohol.
C. Dẫn xuất halogen.
D. Ester.
Hướng dẫn giải
Đáp án đúng là: C
Câu 3. 2,4,6-tribromophenol không tác dụng được với chất nào sau đây?
A. Na.
B. NaOH.
C. Cu(OH)2.
D. O2.
Hướng dẫn giải
Đáp án đúng là: B
Xem thêm kiến thức hóa học của các đơn chất, hợp chất hay khác:
- Glycerol (C3H5(OH)3) là gì?
- Menthol là gì?
- Geraniol là gì?
- Ethylene glycol (C2H4(OH)2) là gì?
- Propan-1-ol là gì?
- Propan-2-ol là gì?
Đã có app VietJack trên điện thoại, giải bài tập SGK, SBT Soạn văn, Văn mẫu, Thi online, Bài giảng....miễn phí. Tải ngay ứng dụng trên Android và iOS.
Theo dõi chúng tôi miễn phí trên mạng xã hội facebook và youtube:Loạt bài Wiki tính chất hóa học trình bày toàn bộ tính chất hóa học, vật lí, nhận biết, điều chế và ứng dụng của tất cả các đơn chất, hợp chất hóa học đã học trong chương trình Hóa học cấp 2, 3.
Nếu thấy hay, hãy động viên và chia sẻ nhé! Các bình luận không phù hợp với nội quy bình luận trang web sẽ bị cấm bình luận vĩnh viễn.
- Đề thi lớp 1 (các môn học)
- Đề thi lớp 2 (các môn học)
- Đề thi lớp 3 (các môn học)
- Đề thi lớp 4 (các môn học)
- Đề thi lớp 5 (các môn học)
- Đề thi lớp 6 (các môn học)
- Đề thi lớp 7 (các môn học)
- Đề thi lớp 8 (các môn học)
- Đề thi lớp 9 (các môn học)
- Đề thi lớp 10 (các môn học)
- Đề thi lớp 11 (các môn học)
- Đề thi lớp 12 (các môn học)
- Giáo án lớp 1 (các môn học)
- Giáo án lớp 2 (các môn học)
- Giáo án lớp 3 (các môn học)
- Giáo án lớp 4 (các môn học)
- Giáo án lớp 5 (các môn học)
- Giáo án lớp 6 (các môn học)
- Giáo án lớp 7 (các môn học)
- Giáo án lớp 8 (các môn học)
- Giáo án lớp 9 (các môn học)
- Giáo án lớp 10 (các môn học)
- Giáo án lớp 11 (các môn học)
- Giáo án lớp 12 (các môn học)


Giải bài tập SGK & SBT
Tài liệu giáo viên
Sách
Khóa học
Thi online
Hỏi đáp

