Cao su buna-S là gì
Cao su buna-S là một polymer tổng hợp có nhiều ứng dụng trong công nghiệp. Bài viết dưới đây giúp các bạn hiểu rõ hơn về cao su buna-S. Mời các bạn đón đọc:
Cao su buna-S là gì
1. Cao su buna-S là gì?
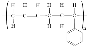
- Cao su buna-S là một polymer đồng trùng hợp từ hai monomer buta-1,3-diene (CH2=CH–CH=CH2) và styrene (C6H5–CH=CH2) có công thức cấu tạo thu gọn tổng quát là (–CH2–CH=CH–CH2–)x(–CH2–CH(C6H5)–)y. Cao su buna-S có phân tử khối là 54x + 104y (với x, y lần lượt là số phân tử buta-1,3-diene và styrene tham gia trùng hợp).
- Công thức cấu tạo của Cao su buna-S theo đơn vị lặp chính:
- Cao su buna-S có tính chất hóa học sau:
Phản ứng giữ nguyên mạch: Cộng (H2, Br2,...) vào nối đôi C=C:
(–CH2–CH=CH–CH2–)x(–CH2–CH(C6H5)–)y + (x+y)H2 (–CH2–CH2–CH2–CH2–)x(–CH2–CH(C6H11)–)y
2. Điều chế cao su buna-S
Cao su buna-S thu được bằng phản ứng đồng trùng hợp giữa buta-1,3-diene (CH2=CH–CH=CH2) và styrene (C6H5–CH=CH2). Phương trình tổng quát như sau:
xCH2=CH–CH=CH2 + yC6H5–CH=CH2 (–CH2–CH=CH–CH2–)x(–CH2–CH(C6H5)–)y
3. Ứng dụng của cao su buna-S
Cao su buna-S có ứng dụng:
- Dùng phổ biến nhất để sản xuất lốp ô tô, xe máy nhờ độ bền mài mòn tốt.
- Làm dây điện, ống dẫn, giày dép, tấm cách điện...
4. Bài tập minh họa cao su buna-S
Câu 1. Cao su buna-S được đồng trùng hợp từ hai monomer nào?
A. Isoprene và styrene.
B. Buta-1,3-diene và styrene.
C. Buta-1,3-diene và vinyl cyanide.
D. Ethylene và styrene.
Hướng dẫn giải
Đáp án đúng là: B
Câu 2. Cao su buna-S có công thức tổng quát là
A. (–CH₂–CH=CH–CH₂–CH=CH–C₆H₅–)n.
B. (–CH₂–CH=CH–CH₂–)x(–CH₂–CH(CN)–)y.
C. (–CH₂–CH=CH–CH₂–)x(–CH₂–CH(C₆H₅)–)y.
D. (−CH2− CH2− CH2−CH2−CH(CN)−)n.
Hướng dẫn giải
Đáp án đúng là: C
Câu 3. Cao su buna-S có ứng dụng nào sau đây?
A. Chế tạo thuốc nổ.
B. Làm sơn dầu.
C. Sản xuất lốp xe và dây dẫn điện.
D. Làm bao bì thực phẩm.
Hướng dẫn giải
Đáp án đúng là: C
Xem thêm kiến thức hóa học của các đơn chất, hợp chất hay khác:
Đã có app VietJack trên điện thoại, giải bài tập SGK, SBT Soạn văn, Văn mẫu, Thi online, Bài giảng....miễn phí. Tải ngay ứng dụng trên Android và iOS.
Theo dõi chúng tôi miễn phí trên mạng xã hội facebook và youtube:Loạt bài Wiki tính chất hóa học trình bày toàn bộ tính chất hóa học, vật lí, nhận biết, điều chế và ứng dụng của tất cả các đơn chất, hợp chất hóa học đã học trong chương trình Hóa học cấp 2, 3.
Nếu thấy hay, hãy động viên và chia sẻ nhé! Các bình luận không phù hợp với nội quy bình luận trang web sẽ bị cấm bình luận vĩnh viễn.
- Đề thi lớp 1 (các môn học)
- Đề thi lớp 2 (các môn học)
- Đề thi lớp 3 (các môn học)
- Đề thi lớp 4 (các môn học)
- Đề thi lớp 5 (các môn học)
- Đề thi lớp 6 (các môn học)
- Đề thi lớp 7 (các môn học)
- Đề thi lớp 8 (các môn học)
- Đề thi lớp 9 (các môn học)
- Đề thi lớp 10 (các môn học)
- Đề thi lớp 11 (các môn học)
- Đề thi lớp 12 (các môn học)
- Giáo án lớp 1 (các môn học)
- Giáo án lớp 2 (các môn học)
- Giáo án lớp 3 (các môn học)
- Giáo án lớp 4 (các môn học)
- Giáo án lớp 5 (các môn học)
- Giáo án lớp 6 (các môn học)
- Giáo án lớp 7 (các môn học)
- Giáo án lớp 8 (các môn học)
- Giáo án lớp 9 (các môn học)
- Giáo án lớp 10 (các môn học)
- Giáo án lớp 11 (các môn học)
- Giáo án lớp 12 (các môn học)


Giải bài tập SGK & SBT
Tài liệu giáo viên
Sách
Khóa học
Thi online
Hỏi đáp

