Poly(phenol-formaldehyde) (PPF) là gì
Poly(phenol-formaldehyde) (PPF) là một polymer tổng hợp có nhiều ứng dụng trong công nghiệp. Bài viết dưới đây giúp các bạn hiểu rõ hơn về Poly(phenol-formaldehyde) (PPF). Mời các bạn đón đọc:
Poly(phenol-formaldehyde) (PPF) là gì
1. Poly(phenol-formaldehyde) (PPF) là gì?
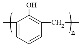
- Poly(phenol-formaldehyde) (PPF) là một polymer tổng hợp có công thức tổng quát là [–C6H3(OH)–CH2–]ₙ. Poly(phenol-formaldehyde) có phân tử khối là 106n (n là số mắt xích).
- Công thức cấu tạo của Poly(phenol-formaldehyde) (PPF):
- Poly(phenol-formaldehyde) có nhóm hydroxyl (-OH) gắn vào vòng benzene nên có thể tạo liên kết hydrogen, tham gia phản ứng ester hóa hay phản ứng với base (thể hiện tính acid yếu):
[–C6H3(OH)–CH2–]ₙ + nNaOH → [–C6H3(ONa)–CH2–]ₙ + nH2O
2. Điều chế Poly(phenol-formaldehyde) (PPF)
Poly(phenol-formaldehyde) (PPF) được điều chế bằng phản ứng trùng ngưng giữa phenol (C6H5OH) và formaldehyde (HCHO):
nC6H5OH+ nHCHO [–C6H3(OH)–CH2–]ₙ+ nH2O
3. Ứng dụng của Poly(phenol-formaldehyde) (PPF)
Tính chất: Rắn, cứng, chịu nhiệt, cách điện, chống hóa chất, không cháy. Dễ gia công, giữ hình dạng ổn định. Ứng dụng phổ biến:
- Chế tạo linh kiện điện, bảng mạch, ổ cắm, công tắc.
- Vật liệu cách nhiệt, cách điện.
- Làm vật liệu đúc, dụng cụ nhà bếp chịu nhiệt, tay cầm nồi/chảo.
- Là nền cho vật liệu composite (ví dụ: Bakelite – nhựa phenolic đầu tiên).
4. Bài tập minh họa
Câu 1. Poly(phenol-formaldehyde) (PPF) được điều chế bằng phản ứng trùng ngưng giữa
A. Phenol và acrylic acid.
B. Phenol và ethyleneglycol.
C. Phenol và formaldehyde.
D. Aniline và formaldehyde.
Hướng dẫn giải
Đáp án đúng là: C
Câu 2. Poly(phenol-formaldehyde) (PPF) có công thức tổng quát là
A. [–CH2–C(COOCH3)6–]ₙ.
B. [–C6H3(CH3)–CH2–]ₙ.
C. [–CH2–CH2–C6H5–]ₙ.
D. [–C6H3(OH)–CH2–]ₙ.
Hướng dẫn giải
Đáp án đúng là: D
Câu 3. Poly(phenol-formaldehyde) (PPF) có ứng dụng nào sau đây?
A. Làm chai PET đựng nước.
B. Sản xuất vải không dệt.
C. Làm vật liệu cách điện và dụng cụ chịu nhiệt.
D. Làm túi nhựa dẻo.
Hướng dẫn giải
Đáp án đúng là: C
Xem thêm kiến thức hóa học của các đơn chất, hợp chất hay khác:
- Poly(hexamethylene adipamide) là gì
- Poly(vinyl acetate) là gì
- Poly(urea formaldehyde) là gì
- Polyisoprene là gì
- Polypropylene (PP) là gì
- Polystyrene (PS) là gì
Đã có app VietJack trên điện thoại, giải bài tập SGK, SBT Soạn văn, Văn mẫu, Thi online, Bài giảng....miễn phí. Tải ngay ứng dụng trên Android và iOS.
Theo dõi chúng tôi miễn phí trên mạng xã hội facebook và youtube:Loạt bài Wiki tính chất hóa học trình bày toàn bộ tính chất hóa học, vật lí, nhận biết, điều chế và ứng dụng của tất cả các đơn chất, hợp chất hóa học đã học trong chương trình Hóa học cấp 2, 3.
Nếu thấy hay, hãy động viên và chia sẻ nhé! Các bình luận không phù hợp với nội quy bình luận trang web sẽ bị cấm bình luận vĩnh viễn.
- Đề thi lớp 1 (các môn học)
- Đề thi lớp 2 (các môn học)
- Đề thi lớp 3 (các môn học)
- Đề thi lớp 4 (các môn học)
- Đề thi lớp 5 (các môn học)
- Đề thi lớp 6 (các môn học)
- Đề thi lớp 7 (các môn học)
- Đề thi lớp 8 (các môn học)
- Đề thi lớp 9 (các môn học)
- Đề thi lớp 10 (các môn học)
- Đề thi lớp 11 (các môn học)
- Đề thi lớp 12 (các môn học)
- Giáo án lớp 1 (các môn học)
- Giáo án lớp 2 (các môn học)
- Giáo án lớp 3 (các môn học)
- Giáo án lớp 4 (các môn học)
- Giáo án lớp 5 (các môn học)
- Giáo án lớp 6 (các môn học)
- Giáo án lớp 7 (các môn học)
- Giáo án lớp 8 (các môn học)
- Giáo án lớp 9 (các môn học)
- Giáo án lớp 10 (các môn học)
- Giáo án lớp 11 (các môn học)
- Giáo án lớp 12 (các môn học)


Giải bài tập SGK & SBT
Tài liệu giáo viên
Sách
Khóa học
Thi online
Hỏi đáp

