Trilinolein (C17H31COO)3C3H5 (Tính chất hóa học, vật lí, nhận biết, điều chế, ứng dụng)
Bài viết về tính chất hóa học của Trilinolein (C 17H31COO)3C3H5 gồm đầy đủ định nghĩa, công thức phân tử, công thức cấu tạo, tên gọi, tính chất hóa học, tính chất vật lí, cách điều chế và ứng dụng.
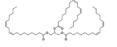
Trilinolein (C17H31COO)3C3H5 (Tính chất hóa học, vật lí, nhận biết, điều chế, ứng dụng)
I. Định nghĩa Trilinolein
- Định nghĩa: Triolein là một triglyxerit có nguồn gốc từ ba đơn vị của axit oleic.
- Công thức phân tử: C57H98O6
- Công thức cấu tạo: (C17H31COO)3C3H5
- Tên gọi
+ Tên gốc chức: Trilonoleoylglycerol
+ Tên thường gọi: Trilinolein
II. Tính chất vật lí của Trilinolein và nhận biết
- Trilinolein là một chất lỏng không tan trong nước nhưng lại tan trong dung dịch clorofom, aketone, benzene
III. Tính chất hóa học của Trilinolein
1. Phản ứng thủy phân trong mỗi trường axit
(C17H31COO)3C3H5 + 3H2O 3C17H31COOH + C3H5(OH)3
2. Phản ứng thủy phân trong mỗi trường kiềm (xà phòng hóa)
(C17H31COO)3C3H5 + 3NaOH 3C17H31COONa + C3H5(OH)3
3. Phản ứng cộng H2
(C17H31COO)3C3H5 + 6H2 (C17H35COO)3C3H5
4. Phản ứng oxi hóa
Nối đôi C=C ở gốc axit không no bị oxi hóa chậm bởi oxi trong không khí tạo thxnhf peoxit, chất này phân hủy thành các chất có mùi khó chịu.
IV. Nguồn gốc của Trilinolein
- Trilinolein thu được từ dầu thực vật
V. Ứng dụng của Trilinolein
- Trilinolein được sử dụng để chế biến thực phẩm
- Phản ứng cộng hidro của Trilinolein được ứng dụng trong công nghiệp để chuyển hóa chất béo lỏng (dầu) thành mỡ rắn để thuận tiện cho việc vận chuyển hoặc thành bơ nhân tạo và đồng thời cũng là để sản xuất xà phòng.
Xem thêm tính chất hóa học của các chất khác:
- Tính chất của HCOOCH3 (Methy formate)
- Tính chất của HCOOC2H5 (Ethyl formate)
- Tính chất của CH3COOCH3 (Methyl acetate)
- Tính chất của CH3COOC2H5 (Ethyl acetate)
- Tính chất của CH3COOC3H7 (Butyl acetate)
- Tính chất của CH3COOC2H3 (Vinyl acetate)
- Tính chất của CH3COOC3H5 (Allyl acetate)
- Tính chất của CH3COOC6H5 (Phenyl acetate)
- Tính chất của C2H5COOCH3 (Methyl propionate)
- Tính chất của C2H3COOCH3 (Methyl acrylate)
- Tính chất của C3H5COOCH3 (Methyl methacrylate)
- Tính chất của Tristearin (C17H35COO)3C3H5
- Tính chất của Triolein (C17H33COO)3C3H5
- Tính chất của HCOONa (Sodium formate)
- Tính chất của CH3COONa (Sodium acetate)
- Tính chất của Sodium stearate C17H35COONa
- Tính chất của Tripalmitin (C15H31COO)3C3H5
Đã có app VietJack trên điện thoại, giải bài tập SGK, SBT Soạn văn, Văn mẫu, Thi online, Bài giảng....miễn phí. Tải ngay ứng dụng trên Android và iOS.
Theo dõi chúng tôi miễn phí trên mạng xã hội facebook và youtube:Loạt bài Wiki tính chất hóa học trình bày toàn bộ tính chất hóa học, vật lí, nhận biết, điều chế và ứng dụng của tất cả các đơn chất, hợp chất hóa học đã học trong chương trình Hóa học cấp 2, 3.
Nếu thấy hay, hãy động viên và chia sẻ nhé! Các bình luận không phù hợp với nội quy bình luận trang web sẽ bị cấm bình luận vĩnh viễn.
- Đề thi lớp 1 (các môn học)
- Đề thi lớp 2 (các môn học)
- Đề thi lớp 3 (các môn học)
- Đề thi lớp 4 (các môn học)
- Đề thi lớp 5 (các môn học)
- Đề thi lớp 6 (các môn học)
- Đề thi lớp 7 (các môn học)
- Đề thi lớp 8 (các môn học)
- Đề thi lớp 9 (các môn học)
- Đề thi lớp 10 (các môn học)
- Đề thi lớp 11 (các môn học)
- Đề thi lớp 12 (các môn học)
- Giáo án lớp 1 (các môn học)
- Giáo án lớp 2 (các môn học)
- Giáo án lớp 3 (các môn học)
- Giáo án lớp 4 (các môn học)
- Giáo án lớp 5 (các môn học)
- Giáo án lớp 6 (các môn học)
- Giáo án lớp 7 (các môn học)
- Giáo án lớp 8 (các môn học)
- Giáo án lớp 9 (các môn học)
- Giáo án lớp 10 (các môn học)
- Giáo án lớp 11 (các môn học)
- Giáo án lớp 12 (các môn học)


Giải bài tập SGK & SBT
Tài liệu giáo viên
Sách
Khóa học
Thi online
Hỏi đáp

