Thực hành 1 trang 60 Toán 10 Tập 2 Chân trời sáng tạo | Giải Toán 10
Giải Toán 10 Chân trời sáng tạo Bài 3: Đường tròn trong mặt phẳng toạ độ
Thực hành 1 trang 60 Toán lớp 10 Tập 2: Viết phương trình đường tròn (C) trong các trường hợp sau:
a) (C) có tâm O(0; 0), bán kính R = 4;
b) (C) có tâm I(2; -2), bán kính R = 8;
c) (C) đi qua ba điểm A(1; 4), B(0; 1), C(4; 3).
Lời giải:
a) Phương trình đường tròn (C) có tâm O(0; 0), bán kính R = 4 là:
(x – 0)2 + (y – 0)2 = 42
⇔ x2 + y2 = 16.
Vậy phương trình đường tròn (C) cần tìm là x2 + y2 = 16.
b) Phương trình đường tròn (C) có tâm I(2; -2), bán kính R = 8 là:
(x – 2)2 + (y + 2)2 = 82
Vậy phương trình đường tròn (C) cần tìm là (x – 2)2 + (y + 2)2 = 82.
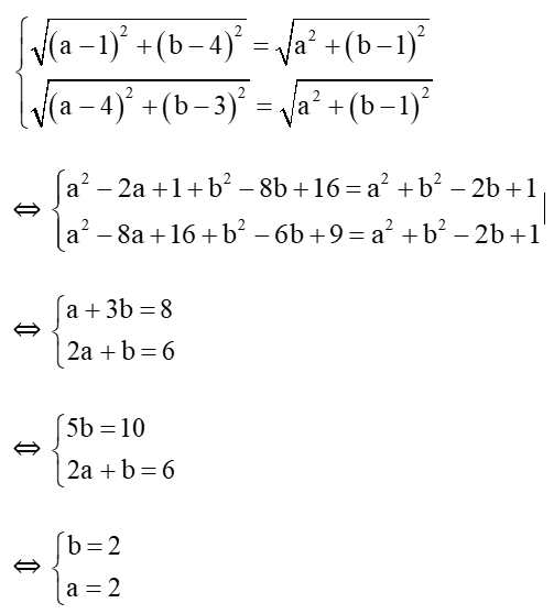
c) Gọi I(a; b) là tâm của đường tròn (C), khi đó ta có:
⇒ AI = ;
⇒ BI = ;
⇒ CI = .
Vì đường tròn (C) đi qua ba điểm A, B, C nên ta có:
AI = BI = CI = R
Khi đó ta có hệ phương trình sau:
Suy ra tâm I(2; 2)
Bán kính của đường tròn (C) là: R = = .
Phương trình đường tròn (C) là:
(x – 2)2 + (y – 2)2 =
⇔ (x – 2)2 + (y – 2)2 = 5.
Vậy phương trình đường tròn (C) là (x – 2)2 + (y – 2)2 = 5.
Lời giải bài tập Toán 10 Bài 3: Đường tròn trong mặt phẳng toạ độ hay, chi tiết khác:
Bài 5 trang 63 Toán lớp 10 Tập 2: Cho đường tròn (C) có phương trình x2 + y2 – 2x – 4y – 20 = 0 ....
Các bài học để học tốt Toán 10 Bài 3: Đường tròn trong mặt phẳng toạ độ:
Trắc nghiệm Toán 10 Bài 3: Đường tròn trong mặt phẳng toạ độ
Xem thêm lời giải bài tập Toán lớp 10 Chân trời sáng tạo hay, chi tiết khác:
Xem thêm các tài liệu học tốt lớp 10 hay khác:
- Giải sgk Toán 10 Chân trời sáng tạo
- Giải Chuyên đề học tập Toán 10 Chân trời sáng tạo
- Giải SBT Toán 10 Chân trời sáng tạo
- Giải lớp 10 Chân trời sáng tạo (các môn học)
- Giải lớp 10 Kết nối tri thức (các môn học)
- Giải lớp 10 Cánh diều (các môn học)
Tủ sách VIETJACK shopee lớp 10-11 (cả 3 bộ sách):
Đã có app VietJack trên điện thoại, giải bài tập SGK, SBT Soạn văn, Văn mẫu, Thi online, Bài giảng....miễn phí. Tải ngay ứng dụng trên Android và iOS.
Theo dõi chúng tôi miễn phí trên mạng xã hội facebook và youtube:Nếu thấy hay, hãy động viên và chia sẻ nhé! Các bình luận không phù hợp với nội quy bình luận trang web sẽ bị cấm bình luận vĩnh viễn.
- Soạn văn 10 (hay nhất) - CTST
- Soạn văn 10 (ngắn nhất) - CTST
- Soạn văn 10 (siêu ngắn) - CTST
- Giải Toán 10 - CTST
- Giải Tiếng Anh 10 Global Success
- Giải Tiếng Anh 10 Friends Global
- Giải sgk Tiếng Anh 10 iLearn Smart World
- Giải sgk Tiếng Anh 10 Explore New Worlds
- Giải sgk Vật lí 10 - CTST
- Giải sgk Hóa học 10 - CTST
- Giải sgk Sinh học 10 - CTST
- Giải sgk Địa lí 10 - CTST
- Giải sgk Lịch sử 10 - CTST
- Giải sgk Kinh tế và Pháp luật 10 - CTST
- Giải sgk Hoạt động trải nghiệm 10 - CTST


Giải bài tập SGK & SBT
Tài liệu giáo viên
Sách
Khóa học
Thi online
Hỏi đáp

