Với 18 bài tập trắc nghiệm Đường tròn trong mặt phẳng toạ độ Toán lớp 10 có đáp án và lời giải chi tiết đầy đủ
các mức độ, có đúng sai, trả lời ngắn sách Chân trời sáng tạo sẽ giúp học sinh ôn luyện trắc nghiệm để biết cách làm các dạng bài tập Toán 10.
Vậy phương trình đường tròn (C): (x + 3)2 + (y – 1)2 = 5.
Do đó ta chọn phương án D.
Câu 10. Cho phương trình x2 + y2 – 2mx – 4(m – 2)y + 6 – m = 0. Điều kiện của m để phương trình đã cho là một phương trình đường tròn là:
A. m ∈ ℝ;
B. ;
C. ;
D. .
Đáp án đúng là: B
Phương trình đã cho có dạng x2 + y2 – 2ax – 2by + c = 0, với a = m, b = 2(m – 2), c = 6 – m.
Ta có a2 + b2 – c = m2 + 4(m2 – 4m + 4) – 6 + m = 5m2 – 15m + 10.
Để phương trình đã cho là phương trình đường tròn thì a2 + b2 – c > 0.
Nghĩa là 5m2 – 15m + 10 > 0
⇔ m < 1 hoặc m > 2.
Vậy m ∈ (–∞; 1) ∪ (2; +∞) thỏa mãn yêu cầu bài toán.
Do đó ta chọn phương án B.
Câu 11. Cho đường tròn (C): x2 + y2 + 5x + 7y – 3 = 0. Khoảng cách từ tâm của (C) đến trục hoành bằng:
A. 5;
B. 7;
C. ;
D. .
Đáp án đúng là: C
Phương trình đã cho có dạng: x2 + y2 – 2ax – 2by + c = 0, với , , c = –3.
Suy ra tâm .
Trục Ox có phương trình là y = 0.
Ta có .
Vậy ta chọn phương án C.
Câu 12. Đường tròn (C) có tâm I thuộc đường thẳng d: x + 3y + 8 = 0, đi qua điểm A(–2; 1) và tiếp xúc với đường thẳng ∆: 3x – 4y + 10 = 0. Phương trình đường tròn (C) là:
A. (x – 2)2 + (y + 2)2 = 25;
B. (x + 5)2 + (y + 1)2 = 16;
C. (x + 2)2 + (y + 2)2 = 9;
D. (x – 1)2 + (y + 3)2 = 25.
Đáp án đúng là: D
Gọi I(a; b) là tâm của đường tròn (C).
Ta có I ∈ d.
Suy ra a + 3b + 8 = 0 ⇔ a = –3b – 8.
Ta có đường tròn (C) đi qua điểm A(–2; 1) nên AI = R (1).
Lại có đường tròn (C) tiếp xúc với đường thẳng ∆ nên d(I, ∆) = R (2).
Vậy phương trình đường tròn (C) là: (x – 1)2 + (y + 3)2 = 25.
Vậy ta chọn phương án D.
Câu 13.Cho đường tròn (C): (x – 2)2 + (y + 4)2 = 25, biết tiếp tuyến vuông góc với đường thẳng d: 3x – 4y + 5 = 0. Phương trình tiếp tuyến của (C) là:
A. 4x – 3y + 5 = 0; 4x – 3y – 45 = 0;
B. 4x + 3y + 5 = 0; 4x + 3y + 3 = 0;
C. 4x + 3y + 29 = 0;
D. 4x + 3y + 29 = 0; 4x + 3y – 21 = 0.
Đáp án đúng là: D
Gọi ∆ là tiếp tuyến cần tìm.
Đường tròn (C) có tâm I(2; –4), bán kính R = 5.
Đường thẳng d có vectơ pháp tuyến .
Theo đề, ta có ∆ ⊥ d nên ∆ nhận vectơ pháp tuyến của d làm vectơ chỉ phương.
Do đó ∆ có vectơ chỉ phương .
Khi đó ∆ có vectơ pháp tuyến .
Vì vậy phương trình tiếp tuyến cần tìm có dạng ∆: 4x + 3y + c = 0.
Vì ∆ là tiếp tuyến của đường tròn (C) nên d(I, ∆) = R.
⇔ |c – 4| = 25
⇔ c – 4 = 25 hoặc c – 4 = –25
⇔ c = 29 hoặc c = –21.
Vậy ∆: 4x + 3y + 29 = 0 hoặc ∆: 4x + 3y – 21 = 0.
Do đó ta chọn phương án D.
Câu 14. Cho phương trình (C): x2 + y2 – 2(m + 1)x + 4y – 1 = 0. Với giá trị nào của m thì đường tròn (C) có bán kính nhỏ nhất?
A. m = 2;
B. m = –1;
C. m = 1;
D. m = –2.
Đáp án đúng là: B
Phương trình đường tròn (C) có dạng: x2 + y2 – 2ax – 2by + c = 0, với a = m + 1, b = –2, c = –1.
Ta có R2 = a2 + b2 – c = (m + 1)2 + 4 + 1 = (m + 1)2 + 5.
Đường tròn (C) có bán kính nhỏ nhất khi và chỉ khi biểu thức (m + 1)2 + 5 đạt giá trị nhỏ nhất.
Ta có: (m + 1)2 ≥ 0, ∀m ∈ ℝ.
⇔ (m + 1)2 + 5 ≥ 5, ∀m ∈ ℝ.
Vậy giá trị nhỏ nhất của biểu thức (m + 1)2 + 5 là 5.
Dấu “=” xảy ra ⇔ m = –1.
Vậy m = –1 thỏa mãn yêu cầu bài toán.
Do đó ta chọn phương án B.
Câu 15. Cho đường tròn (C): x2 + y2 – 2x – 4y + 1 = 0. Gọi d1, d2 lần lượt là tiếp tuyến của đường tròn (C) tại điểm M(3; 2), N(1; 0). Tọa độ giao điểm của d1 và d2 là:
A. (3; 0);
B. (–3; 0);
C. (0; 3);
D. (0; –3).
Đáp án đúng là: A
Ta viết phương trình d1:
Ta có 32 + 22 – 2.3 – 4.2 + 1 = 0 (đúng).
Do đó điểm M ∈ (C).
Phương trình đường tròn (C) có dạng: x2 + y2 – 2ax – 2by + c = 0, với a = 1, b = 2, c = 1.
Suy ra tâm I(1; 2), bán kính R = .
Phương trình d1 là: (1 – 3)(x – 3) + (2 – 2)(y – 2) = 0
⇔ –2(x – 3) = 0 ⇔ x – 3 = 0.
Tương tự, ta viết phương trình d2:
Ta có 12 + 02 – 2.1 – 4.0 + 1 = 0 (đúng).
Do đó N ∈ (C).
Phương trình d2 là: (1 – 1)(x – 1) + (2 – 0)(y –0) = 0
⇔ y = 0.
Gọi A là giao điểm của d1 và d2.
Suy ra tọa độ A là nghiệm của hệ phương trình:
Khi đó ta có tọa độ A(3; 0).
Vậy ta chọn phương án A.
Dạng 2. Trắc nghiệm đúng sai
Câu hỏi. Trong mặt phẳng tọa độ Oxy, cho đường tròn . Điểm thuộc đường tròn, đường thẳng
a) Đường tròn (C)có tâm
b) Đường tròn (C)có bán kính
c) Đường thẳng ∆có vectơ pháp tuyến
d) Phương trình của đường thẳng ∆là phương trình tiếp tuyến của đường tròn (C)tại A.
a) Đường tròn (C) có tâm
b) Đường tròn (C) có bán kính
c) Đường thẳng ∆ có vectơ pháp tuyến
d) Tiếp tuyến của đường tròn (C)tại A nhận làm vectơ pháp tuyến có phương trình là
Đáp án: a) Đúng;b) Đúng;c) Sai;d) Đúng.
Dạng 3. Trắc nghiệm trả lời ngắn
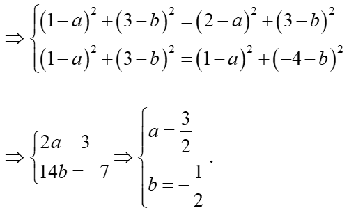
Câu 1. Trong mặt phẳng Oxy, phương trình đường tròn đi qua ba điểm có dạng . Tính
Gọi là tâm của đường tròn.
Theo đề ta có
Suy ra và
Do đó . Vậy
Trả lời: 13,5.
Câu 2. Trong mặt phẳng với hệ tọa độ Oxy, cho hình vuông ABC có A(3;2) và phương trình đường thẳng . Đường tròn nội tiếp hình vuông ABCD có phương trình là . Khi bằng bao nhiêu?
Gọi I là giao điểm của AC và BD. Hạ
Suy ra là tâm và bán kính đường tròn nội tiếp hình vuông ABCD.
AC là đường thẳng qua A và vuông góc với BD có phương trình là
Tọa độ điểm I là nghiệm của hệ
Ta có . Suy ra
Xét có
Vậy đường tròn nội tiếp hình vuông ABCD có phương trình là