Với 33 Bài tập trắc nghiệm tổng hợp Toán 10 Chương 9: Phương pháp toạ độ trong mặt phẳng có đáp án và lời giải chi tiết đầy đủ
các mức độ, có đúng sai, trả lời ngắn sách Chân trời sáng tạo sẽ giúp học sinh ôn luyện trắc nghiệm để biết cách làm các dạng bài tập Toán 10.
Câu 1. Trong mặt phẳng Oxy, cho ∆ABC có A(–4; 1), B(2; 4), C(2; –2). Tọa độ trọng tâm I của ∆ABC là:
Quảng cáo
A. I(1; 0);
B. I(0; 1);
C. I(–1; 0);
D. I(0; –1).
Đáp án đúng là: B
Ta có I là trọng tâm của ∆ABC.
Do đó
Suy ra I(0; 1).
Vậy ta chọn phương án B.
Câu 2. Cho và . Tìm a để .
A. ;
B. ;
C. ;
D. .
Đáp án đúng là: B
Ta có
⇔ 4.3 + 5.a = 0
⇔ 12 + 5a = 0
⇔ 5a = –12
Vậy ta chọn phương án B.
Quảng cáo
Câu 3. Trong mặt phẳng Oxy, cho ba điểm A(–1; 1), B(1; 3), C(5; 2). Tọa độ điểm D là đỉnh thứ tư của hình bình hành ABCD là:
A. (3; –2);
B. (5; 0);
C. (3; 0);
D. (5; –2).
Đáp án đúng là: C
Với A(–1; 1), B(1; 3), C(5; 2) và D(xD; yD) ta có:
+) .
+) .
Tứ giác ABCD là hình bình hành ⇔ .
.
Ta suy ra tọa độ D(3; 0).
Vậy ta chọn phương án C.
Câu 4.Cho hai điểm A(6; –1) và B(x; 9). Giá trị của x để khoảng cách giữa A và B bằng là:
A. x ∈ ∅;
B. x = 1;
C. x = 11;
D. x = 11 hoặc x = 1.
Đáp án đúng là: D
Ta có
Suy ra
Theo đề, ta có AB = .
⇔ x2 – 12x + 36 + 100 = 125
⇔ x2 – 12x + 11 = 0
⇔ x = 11 hoặc x = 1.
Vậy ta chọn phương án D.
Câu 5. Cho , . Góc giữa hai vectơ và bằng
Quảng cáo
A. 45°;
B. 60°;
C. 90°;
D. 135°.
Đáp án đúng là: D
Với , ta có:
+) , .
Suy ra .
+) , .
Suy ra .
Ta có:
Suy ra .
Câu 6. Trong mặt phẳng Oxy, cho ∆ABC có A(–3; 0), B(3; 0) và C(2; 6). Gọi H(a; b) là trực tâm của ∆ABC. Giá trị của a + 6b bằng:
A. 3;
B. 6;
C. 7;
D. 5.
Đáp án đúng là: C
+ Với A(–3; 0), B(3; 0), C(2; 6) và H(a; b) ta có:
• .
• .
+ Vì H là trực tâm của ∆ABC nên AH ⊥ BC.
Suy ra .
Do đó
Khi đó ta có (a + 3).(–1) + 6b = 0
Vì vậy –a + 6b – 3 = 0 (1).
+ Vì H là trực tâm của ∆ABC nên BH ⊥ AC.
Suy ra
Do đó
Khi đó ta có (a – 3).5 + 6b = 0
Vì vậy 5a + 6b – 15 = 0 (2).
Từ (1) và (2), ta có hệ phương trình:
Do đó ta có a + 6b = 2 + 6. = 7.
Vậy ta chọn phương án C.
Câu 7. Trong mặt phẳng với hệ tọa độ Oxy, cho ∆ABC có A(3; 5), B(9; 7), C(11; –1). Gọi M, N lần lượt là trung điểm của AB và AC. Tọa độ của là:
A. (2; –8);
B. (1; –4);
C. (10; 6);
D. (5; 3).
Đáp án đúng là: B
Vì M là trung điểm AB nên
Suy ra M(6; 6).
Vì N là trung điểm AC nên
Suy ra N(7; 2).
Do đó ta có .
Vậy ta chọn phương án B.
Quảng cáo
Câu 8. Cho ∆ABC có A(2; –1), B(4; 5), C(–3; 2). Phương trình tổng quát của đường trung tuyến AM là:
A. x + 3y – 7 = 0;
B. 3x + y – 7 = 0;
C. 3x + y – 5 = 0;
D. x + 3y – 5 = 0.
Đáp án đúng là: C
Vì ∆ABC có AM là đường trung tuyến nên M là trung điểm BC.
Ta suy ra
Khi đó ta có
Với A(2; –1) và ta có:
Đường thẳng AM có vectơ chỉ phương nên đường thẳng AM nhận làm vectơ pháp tuyến.
Đường thẳng AM đi qua A(2; –1), có vectơ pháp tuyến .
Suy ra phương trình tổng quát của đường thẳng AM là:
3.(x – 2) + 1.(y + 1) = 0
⇔ 3x + y – 5 = 0.
Vậy ta chọn phương án C.
Câu 9. Giao điểm M của hai đường thẳng (d): và (d’): 3x – 2y – 1 = 0 là:
A. ;
B. ;
C. ;
D. .
Đáp án đúng là: B
Đường thẳng (d):
(d) có vectơ chỉ phương .
Suy ra (d) có vectơ pháp tuyến .
(d) đi qua A(1; –3), có vectơ pháp tuyến nên có phương trình tổng quát là:
5(x – 1) + 2(y + 3) = 0
⇔ 5x + 2y + 1 = 0.
Ta có M là giao điểm của (d) và (d’) nên tọa độ M là nghiệm của hệ phương trình:
Khi đó ta có .
Vậy ta chọn phương án B.
Câu 10. Cặp đường thẳng nào sau đây vuông góc với nhau?
A. và d2: 2x + y – 1 = 0;
B. d1: x – 2 = 0 và ;
C. d1: 2x – y + 3 = 0 và d2: x – 2y + 1 = 0;
D. d1: 2x – y + 3 = 0 và d2: 4x – 2y + 1 = 0.
Đáp án đúng là: B
•Ta xét phương án A:
d1 có vectơ chỉ phương .
Suy ra d1 có vectơ pháp tuyến .
d2 có vectơ pháp tuyến .
Do đó .
Vì vậy không vuông góc với .
Khi đó ta có d1 không vuông góc với d2.
Vậy ta loại phương án A.
•Ta xét phương án B:
d1 có vectơ pháp tuyến .
d2 có vectơ chỉ phương .
Suy ra d2 có vectơ pháp tuyến .
Khi đó ta có .
Do đó .
Vì vậy d1 ⊥ d2.
Đến đây ta có thể chọn phương án B.
• Ta thực hiện tương tự như trên, ta loại phương án C, D.
Vậy ta chọn phương án B.
Câu 11. Cho đường thẳng (d): x – 2y + 5 = 0. Mệnh đề nào sau đây đúng?
A. (d) có hệ số góc ;
B. (d) cắt (d’): x – 2y = 0;
C. (d) đi qua A(1; –2);
D. (d) có phương trình tham số: .
Đáp án đúng là: A
•(d): x – 2y + 5 = 0 ⇔ 2y = x + 5 ⇔
Do đó (d) có hệ số góc .
Vì vậy phương án A đúng.
•(d) và (d’) có vectơ pháp tuyến lần lượt là và .
Ta có
Do đó (d) và (d’) song song hoặc trùng nhau.
Vì vậy phương án B sai.
•Thay tọa độ A(1; –2) vào phương trình (d), ta được:
1 – 2.(–2) + 5 = 10 ≠ 0.
Suy ra A(1; –2) không thuộc (d) hay (d) không đi qua A(1; –2).
Do đó phương án C sai.
•(d) có vectơ pháp tuyến .
Suy ra (d) có vectơ chỉ phương .
Ở phương án D, ta có vectơ chỉ phương .
Ta có: 2.(–2) – 1.1 = –5 ≠ 0.
Suy ra không cùng phương với .
Do đó phương trình tham số ở đáp án D không phải là phương trình tham số của (d).
Vì vậy phương án D sai.
Vậy ta chọn phương án A.
Câu 12. Cho ∆ABC có C(–1; 2), đường cao BH: x – y + 2 = 0, đường phân giác trong AN: 2x – y + 5 = 0. Tọa độ điểm A là:
A. ;
B. ;
C. ;
D. .
Đáp án đúng là: A
Đường cao BH: x – y + 2 = 0 có vectơ pháp tuyến là .
Vì BH là đường cao của ∆ABC nên BH ⊥ AC.
Suy ra vectơ pháp tuyến của BH là vectơ chỉ phương của AC.
Do đó vectơ chỉ phương của AC là .
Vì vậy AC có vectơ pháp tuyến là .
Đường thẳng AC đi qua C(–1; 2), có vectơ pháp tuyến .
Suy ra phương trình AC: 1(x + 1) + 1(y – 2) = 0.
⇔ x + y – 1 = 0.
Ta có A là giao điểm của AC và AN.
Do đó tọa độ của điểm A là nghiệm của hệ phương trình:
Khi đó ta có .
Vậy ta chọn phương án A.
Câu 13. Trong mặt phẳng Oxy, cho và . Tìm tọa độ sao cho .
A. ;
B. ;
C. ;
D. .
Đáp án đúng là: C
Ta có
.
Với và ta có:
+) .
+) .
Suy ra .
Vậy ta chọn phương án C.
Câu 14. Trong mặt phẳng Oxy, cho hai điểm A(2; 4) và B(–2; 10). Giá trị k để điểm D(k; k + 1) thuộc đường thẳng AB là:
A. k = 2;
B. k = ;
C. k = 3;
D. k = .
Đáp án đúng là: D
Với A(2; 4), B(–2; 10) và D(k; k + 1) ta có:
.
.
Theo đề, ta có điểm D(k; k + 1) thuộc đường thẳng AB.
Tức là cùng phương
⇔ –4.(k – 3) – 6.(k – 2) = 0
⇔ –4k + 12 – 6k + 12 = 0
⇔ 10k = 24
⇔ k =
Vậy ta chọn phương án D.
Câu 15. Trong mặt phẳng Oxy, cho đường thẳng d: x + 2y – 3 = 0 và hai điểm A(–1; 2). B(2; 1). Điểm C thuộc đường thẳng d sao cho diện tích ∆ABC bằng 2. Tọa độ điểm C là:
A. C(–9; 6);
B. C(6; 9);
C. C(7; –2);
D. Cả A, C đều đúng.
Đáp án đúng là: D
Với A(–1; 2). B(2; 1) ta có:
.
Đường thẳng AB có vectơ chỉ phương nên đường thẳng AB nhận làm vectơ pháp tuyến.
Đường thẳng AB đi qua B(2; 1), có vectơ pháp tuyến nên có phương trình tổng quát là:
Vậy có hai điểm C thỏa mãn yêu cầu bài toán là C(–9; 6), C(7; –2).
Do đó ta chọn phương án D.
Câu 16. Đường thẳng ∆ đi qua giao điểm của hai đường thẳng d1: 2x + y – 3 = 0 và d2: x – 2y + 1 = 0, đồng thời tạo với d3: y – 1 = 0 một góc Phương trình đường thẳng ∆ là:
A. 2x + y = 0; x – y – 1 = 0;
B. x + 2y = 0; x – 4y = 0;
C. x – y = 0; x + y – 2 = 0;
D. 2x + 1 = 0; x – 3y = 0.
Đáp án đúng là: C
Gọi A(x; y) là giao điểm của hai đường thẳng d1 và d2.
Khi đó tọa độ A là nghiệm của hệ phương trình:
.
Suy ra A(1; 1).
Gọi là vectơ pháp tuyến của đường thẳng ∆.
d3 có vectơ pháp tuyến .
Theo đề, ta có (∆, d3) = .
Suy ra .
⇔ 2b2 = a2 + b2
⇔ a2 = b2
⇔ a = b hoặc a = –b.
• Với a = b: Chọn a = b = 1, ta được .
Đường thẳng ∆ đi qua A(1; 1), có vectơ pháp tuyến nên có phương trình tổng quát là:
1(x – 1) + 1(y – 1) = 0 ⇔ x + y – 2 = 0.
• Với a = –b: Chọn b = –1, ta suy ra a = 1.
Khi đó ta có .
Đường thẳng ∆ đi qua A(1; 1), có vectơ pháp tuyến nên có phương trình tổng quát là:
1(x – 1) – 1(y – 1) = 0 ⇔ x – y = 0.
Vậy có hai đường thẳng ∆ thỏa mãn yêu cầu bài toán có phương trình là:
x + y – 2 = 0; x – y = 0.
Do đó ta chọn phương án C.
Câu 17. Tọa độ tâm I và bán kính R của đường tròn (C): (x + 1)2 + y2 = 8 là:
A. I(–1; 0), R = 8;
B. I(–1; 0), R = 64;
C. I(–1; 0), R = ;
D. I(1; 0), R = .
Đáp án đúng là: C
Đường tròn (C) có tâm I(–1; 0), bán kính R = .
Vậy ta chọn phương án C.
Câu 18. Tọa độ tâm I và bán kính R của đường tròn (C): 2x2 + 2y2 – 8x + 4y – 1 = 0 là:
A. I(–2; 1), R = ;
B. I(2; –1), R = ;
C. I(4; –2), R = ;
D. I(–4; 2), R = .
Đáp án đúng là: B
Ta có 2x2 + 2y2 – 8x + 4y – 1 = 0.
Suy ra x2 + y2 – 4x + 2y – = 0.
Phương trình (C) có dạng: x2 + y2 – 2ax – 2by + c = 0, với a = 2, b = –1, c = .
Suy ra tâm I(2; –1).
Ta có R2 = a2 + b2 – c = .
Suy ra .
Vậy đường tròn (C) có tâm I(2; –1), bán kính .
Do đó ta chọn phương án B.
Câu 19. Đường tròn (C) có tâm I(–2; 3) và đi qua điểm M(2; –3) có phương trình là:
A. (x + 2)2 + (y – 3)2 = ;
B. (x – 2)2 + (y + 3)2 = 52;
C. x2 + y2 + 4x – 6y – 57 = 0;
D. x2 + y2 + 4x – 6y – 39 = 0.
Đáp án đúng là: D
Với I(–2; 3) và M(2; –3) ta có .
Đường tròn (C) có tâm I(–2; 3) và đi qua điểm M(2; –3) nên bán kính là:
.
Phương trình đường tròn (C) là: (x + 2)2 + (y – 3)2 = 52.
Ûx2 + y2 + 4x – 6y – 39 = 0.
Vậy ta chọn phương án D.
Câu 20. Cho phương trình x2 + y2 – 2mx – 4(m – 2)y + 6 – m = 0. Điều kiện của m để phương trình đã cho là một phương trình đường tròn là:
A. m ∈ ℝ;
B. ;
C. ;
D. .
Đáp án đúng là: B
Phương trình đã cho có dạng x2 + y2 – 2ax – 2by + c = 0, với a = m, b = 2(m – 2), c = 6 – m.
Ta có a2 + b2 – c = m2 + 4(m2 – 4m + 4) – 6 + m = 5m2 – 15m + 10.
Để phương trình đã cho là phương trình đường tròn thì a2 + b2 – c > 0.
Nghĩa là 5m2 – 15m + 10 > 0
⇔ m < 1 hoặc m > 2.
Vậy m ∈ (–∞; 1) ∪ (2; +∞) thỏa mãn yêu cầu bài toán.
Do đó ta chọn phương án B.
Câu 21. Đường tròn (C) có tâm I thuộc đường thẳng d: x + 3y + 8 = 0, đi qua điểm A(–2; 1) và tiếp xúc với đường thẳng ∆: 3x – 4y + 10 = 0. Phương trình đường tròn (C) là:
A. (x – 2)2 + (y + 2)2 = 25;
B. (x + 5)2 + (y + 1)2 = 16;
C. (x + 2)2 + (y + 2)2 = 9;
D. (x – 1)2 + (y + 3)2 = 25.
Đáp án đúng là: D
Gọi I(a; b) là tâm của đường tròn (C).
Ta có I ∈ d.
Suy ra a + 3b + 8 = 0 ⇔ a = –3b – 8.
Ta có đường tròn (C) đi qua điểm A(–2; 1) nên AI = R (1).
Lại có đường tròn (C) tiếp xúc với đường thẳng ∆ nên d(I, ∆) = R (2).
Vậy phương trình đường tròn (C) là: (x – 1)2 + (y + 3)2 = 25.
Vậy ta chọn phương án D.
Câu 22. Tọa độ tâm I của đường tròn đi qua ba điểm A(0; 4), B(2; 4), C(4; 0) là:
A. I(0; 0);
B. I(1; 0);
C. I(3; 2);
D. I(1; 1).
Đáp án đúng là: D
Gọi M, N lần lượt là trung điểm của AB, BC.
Vì M là trung điểm AB nên ta có
Suy ra M(1; 4).
Tương tự, ta có N(3; 2).
Đường trung trực ∆1 của đoạn thẳng AB đi qua điểm M(1; 4) và có vectơ pháp tuyến .
Suy ra phương trình ∆1 là: 2(x – 1) + 0(y – 4) = 0 ⇔ x – 1 = 0.
Tương tự, ta có phương trình đường trung trực ∆2 của đoạn thẳng BC đi qua điểm N(3; 2) và có vectơ pháp tuyến là:
2(x – 3) – 4(y – 2) = 0 ⇔ x – 2y + 1 = 0.
Vì IA = IB = IC = R nên I cách đều ba điểm A, B, C.
Do đó I nằm trên đường trung trực ∆1 và I cũng nằm trên đường trung trực ∆2.
Hay I là giao điểm của ∆1 và ∆2.
Khi đó tọa độ I là nghiệm của hệ phương trình:
Suy ra tọa độ tâm I(1; 1).
Vậy ta chọn phương án D.
Câu 23. Cho đường tròn (C): x2 + y2 + 4x + 4y – 17 = 0, biết tiếp tuyến của (C) song song với đường thẳng d: 3x – 4y – 2023 = 0. Phương trình tiếp tuyến của đường tròn (C) là:
A. 3x – 4y + 23 = 0; 3x – 4y – 27 = 0;
B. 3x – 4y + 23 = 0; 3x – 4y + 27 = 0;
C. 3x – 4y – 23 = 0; 3x – 4y + 27 = 0;
D. 3x – 4y – 23 = 0; 3x – 4y – 27 = 0.
Đáp án đúng là: A
Gọi ∆ là tiếp tuyến cần tìm.
Phương trình đường tròn (C) có dạng: x2 + y2 – 2ax – 2by + c = 0, với a = –2, b = –2, c = –17.
Suy ra tâm I(–2; –2), bán kính R = .
Vì ∆ // d nên phương trình ∆ có dạng: 3x – 4y + d = 0 (d ≠ –2023).
Ta có ∆ là tiếp tuyến của (C).
Suy ra d(I, ∆) = R.
⇔ |d + 2| = 25
⇔ d + 2 = 25 hoặc d + 2 = –25
⇔ d = 23 (nhận) hoặc d = –27 (nhận).
Vậy có 2 tiếp tuyến thỏa yêu cầu bài toán có phương trình là: 3x – 4y + 23 = 0 và 3x – 4y – 27 = 0.
Do đó ta chọn phương án A.
Câu 24.Cho đường tròn (C): (x – 2)2 + (y + 4)2 = 25, biết tiếp tuyến vuông góc với đường thẳng d: 3x – 4y + 5 = 0. Phương trình tiếp tuyến của (C) là:
A. 4x – 3y + 5 = 0; 4x – 3y – 45 = 0;
B. 4x + 3y + 5 = 0; 4x + 3y + 3 = 0;
C. 4x + 3y + 29 = 0;
D. 4x + 3y + 29 = 0; 4x + 3y – 21 = 0.
Đáp án đúng là: D
Gọi ∆ là tiếp tuyến cần tìm.
Đường tròn (C) có tâm I(2; –4), bán kính R = 5.
Đường thẳng d có vectơ pháp tuyến .
Theo đề, ta có ∆ ⊥ d nên ∆ nhận vectơ pháp tuyến của d làm vectơ chỉ phương.
Do đó ∆ có vectơ chỉ phương .
Khi đó ∆ có vectơ pháp tuyến .
Vì vậy phương trình tiếp tuyến cần tìm có dạng ∆: 4x + 3y + c = 0.
Vì ∆ là tiếp tuyến của đường tròn (C) nên d(I, ∆) = R.
⇔ |c – 4| = 25
⇔ c – 4 = 25 hoặc c – 4 = –25
⇔ c = 29 hoặc c = –21.
Vậy ∆: 4x + 3y + 29 = 0 hoặc ∆: 4x + 3y – 21 = 0.
Do đó ta chọn phương án D.
Câu 25. Cho đường tròn (C): x2 + y2 – 2x – 4y + 1 = 0. Gọi d1, d2 lần lượt là tiếp tuyến của đường tròn (C) tại điểm M(3; 2), N(1; 0). Tọa độ giao điểm của d1 và d2 là:
A. (3; 0);
B. (–3; 0);
C. (0; 3);
D. (0; –3).
Đáp án đúng là: A
Ta viết phương trình d1:
Ta có 32 + 22 – 2.3 – 4.2 + 1 = 0 (đúng).
Do đó điểm M ∈ (C).
Phương trình đường tròn (C) có dạng: x2 + y2 – 2ax – 2by + c = 0, với a = 1, b = 2, c = 1.
Suy ra tâm I(1; 2), bán kính R = .
Phương trình d1 là: (1 – 3)(x – 3) + (2 – 2)(y – 2) = 0
⇔ –2(x – 3) = 0 ⇔ x – 3 = 0.
Tương tự, ta viết phương trình d2:
Ta có 12 + 02 – 2.1 – 4.0 + 1 = 0 (đúng).
Do đó N ∈ (C).
Phương trình d2 là: (1 – 1)(x – 1) + (2 – 0)(y –0) = 0
⇔ y = 0.
Gọi A là giao điểm của d1 và d2.
Suy ra tọa độ A là nghiệm của hệ phương trình:
Khi đó ta có tọa độ A(3; 0).
Vậy ta chọn phương án A.
Câu 26.Một trạm viễn thông A được xây tại điểm có tọa độ (2; 3) (trong mặt phẳng Oxy). Một người đang ngồi trên xe hơi chạy trên đường quốc lộ có dạng một đường thẳng ∆ có phương trình x – 5y + 6 = 0.
Biết rằng mỗi đơn vị độ dài tương ứng với 1 km. Khoảng cách ngắn nhất giữa người đó và trạm viễn thông A bằng:
A. 2,5 km;
B. 0,2 km;
C. 1,37 km;
D. 0,5 km.
Đáp án đúng là: C
Khoảng cách ngắn nhất giữa người đó và trạm viễn thông A chính là khoảng cách từ A đến đường thẳng ∆. Khi đó ta có:
(km).
Vậy ta chọn phương án C.
Câu 27. Cho M(x; y) nằm trên elip (E): . Tỉ số giữa tiêu cự và độ dài trục lớn bằng:
A. ;
B. ;
C. ;
D. .
Đáp án đúng là: C
(E): nên ta có a = 11, b = 9.
Suy ra .
Ta có tỉ số giữa tiêu cự và độ dài trục lớn là: .
Vậy ta chọn phương án C.
Câu 28. Một gương có mặt cắt là một hypebol có phương trình được dùng để chụp ảnh toàn cảnh. Máy ảnh hướng về phía đỉnh của gương và được đặt ở vị trí sao cho ống kính trùng với một tiêu điểm của gương như hình vẽ.
Biết rằng x, y được đo theo inch. Khoảng cách từ ống kính tới đỉnh gương bằng khoảng:
A. 24,6 inch;
B. 0,7 inch;
C. 12 inch;
D. 23,3 inch.
Đáp án đúng là: A
Hypebol nên ta có a = 12, b = 4.
Suy ra .
Quan sát hình vẽ, ta thấy đỉnh gương là vị trí A2.
Suy ra A2(12; 0).
Vì nên ta có tọa độ các tiêu điểm và .
Hay ống kính máy ảnh được đặt tại điểm .
Khoảng cách từ ống kính tới đỉnh gương là:
F1A2 = F1O + OA2 = (inch).
Do đó ta chọn phương án A.
Câu 29.Một tòa tháp có mặt cắt hình hypebol có phương trình . Biết khoảng cách từ nóc tháp đến tâm đối xứng O của hypebol bằng khoảng cách từ tâm đối xứng O đến đáy tháp. Tòa tháp có chiều cao 50 m. Bán kính đáy của tháp bằng:
A. 43,28 m;
B. 22,25 m;
C. 28,31 m;
D. 57,91 m.
Đáp án đúng là: B
Gọi r là bán kính đáy của tháp (r > 0).
Do tính đối xứng của hypebol nên ta có hai bán kính của nóc và đáy tháp đều bằng nhau.
Chọn điểm M(r; –25) nằm trên hypebol.
Ta suy ra .
.
.
Suy ra (m).
Vậy bán kính đáy của tháp bằng khoảng 22,25 m.
Do đó ta chọn phương án B.
Câu 30. Một anten gương đơn hình parabol có phương trình y2 = 20x. Ống thu của anten được đặt tại tiêu điểm của nó. Ta sẽ đặt ống thu tại điểm có tọa độ là:
A. (0; 10);
B. (0; 5);
C. (10; 0);
D. (5; 0).
Đáp án đúng là: D
Phương trình parabol có dạng y2 = 2px, với p = 10.
Suy ra .
Khi đó tọa độ tiêu điểm F(5; 0).
Vậy ta sẽ đặt ống thu tại điểm có tọa độ (5; 0).
Do đó ta chọn phương án D.
Dạng 2. Trắc nghiệm đúng sai
Câu hỏi. Trong mặt phẳng , cho đường thẳng
a) Một vectơ pháp tuyến của đường thẳng dlà
b) Khoảng cách từ Ođến đường thẳng dbằng
c) Đường thẳng dtạo với hệ trục một tam giác có diện tích bằng 4.
d) Góc giữa ddvà trục Oxbằng 45o
a) Một vectơ pháp tuyến của đường thẳng dlà
b) Ta có
c) Đường thẳng d cắt trục Ox, Oylần lượt tại
Khi đó
d) Đường thẳng dcó một vectơ pháp tuyến và trục Oxcó một vectơ pháp tuyến là
Khi đó
Đáp án: a) Đúng;b) Sai;c) Sai;d) Đúng.
Dạng 3. Trắc nghiệm trả lời ngắn
Câu 1. Trong mặt phẳng tọa độ Oxy, cho đường tròn và đường thẳng . Tiếp tuyến của đường tròn (C) song song với đường thẳng ∆ có dạng . Tính b + c.
Đường tròn (C) có tâm và R = 5.
Vì tiếp tuyến d của đường tròn (C) song song với đường thẳng ∆ có dạng
Lại có
Vì nên c = 15. Do đó
Suy ra Vậy
Trả lời: 11.
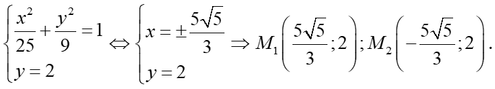
Câu 2. Cho hình elip như hình vẽ bên. Đường thẳng d song song với trục hoành và cách trục hoành một khoảng bằng 2, d tạo với elip một dây cung có độ dài bằng bao nhiêu?
Dựa vào hình vẽ ta thấy elip đi qua 2 điểm nên ta có hệ
Vậy
Đường thẳng d song song với trục hoành và cách trục hoành một khoảng bằng 2 có phương trình là y = 2 hoặc y = -2.
Xét trường hợp y = 2 (tương tự y = -2).
Tọa độ giao điểm của elip với đường thẳng y = 2 là nghiệm của hệ